Subjects
Online Tutoring
Homework Help
Homework Library
Tutors
Online Classes
More
Bookstore
Blog
Technical Tips
FAQ
Contact Us
Get Help Now
Home
Homework Library
Mathematics
Calculus
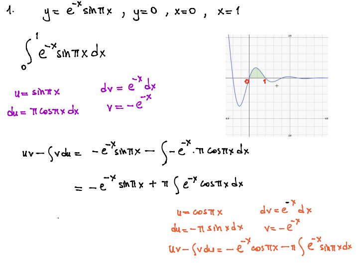
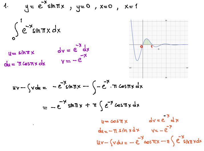
Use a graphing calculator to draw the region bounded by the graphs ...
Use a graphing calculator to draw the region bounded by the graphs...