Subjects
Online Tutoring
Homework Help
Homework Library
Tutors
Online Classes
More
Bookstore
Blog
Technical Tips
FAQ
Contact Us
Get Help Now
Home
Homework Library
Mathematics
Calculus
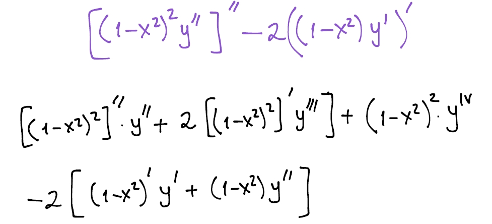
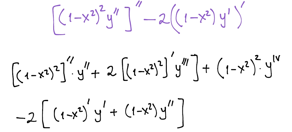
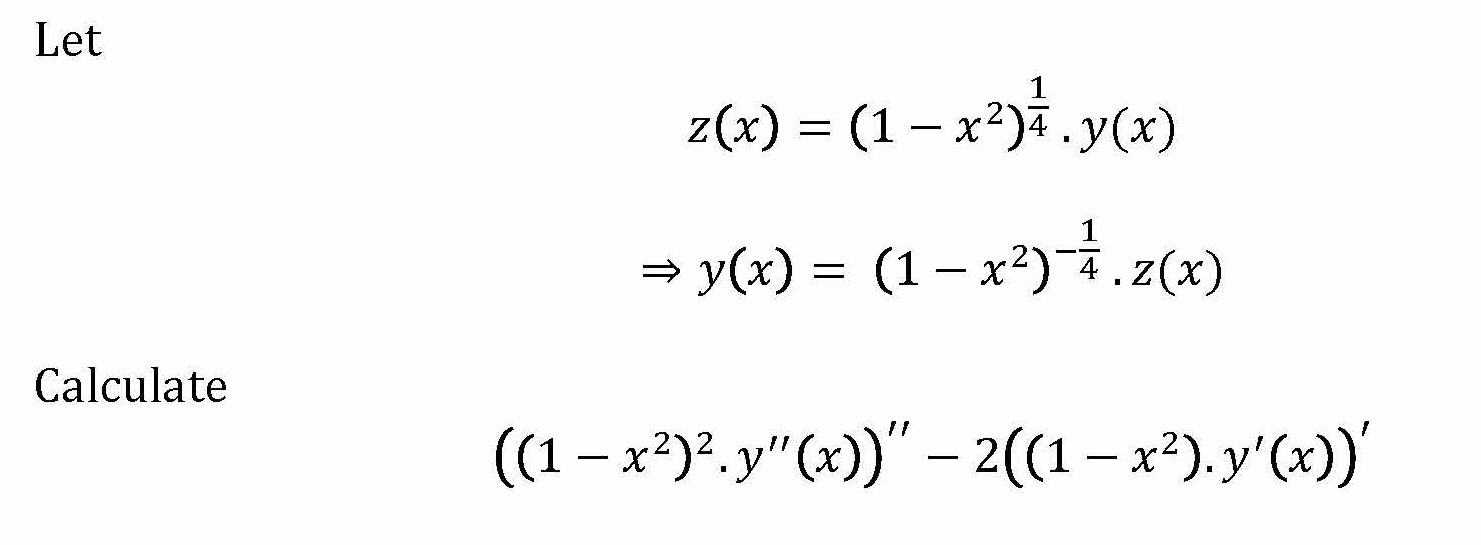
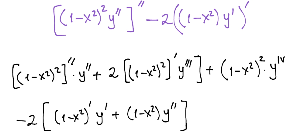
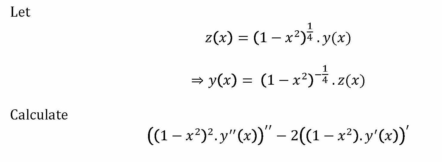
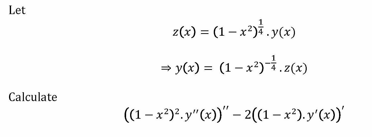
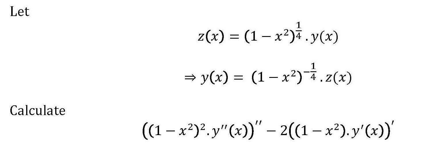
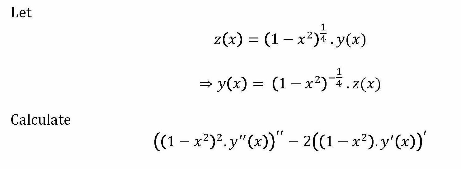
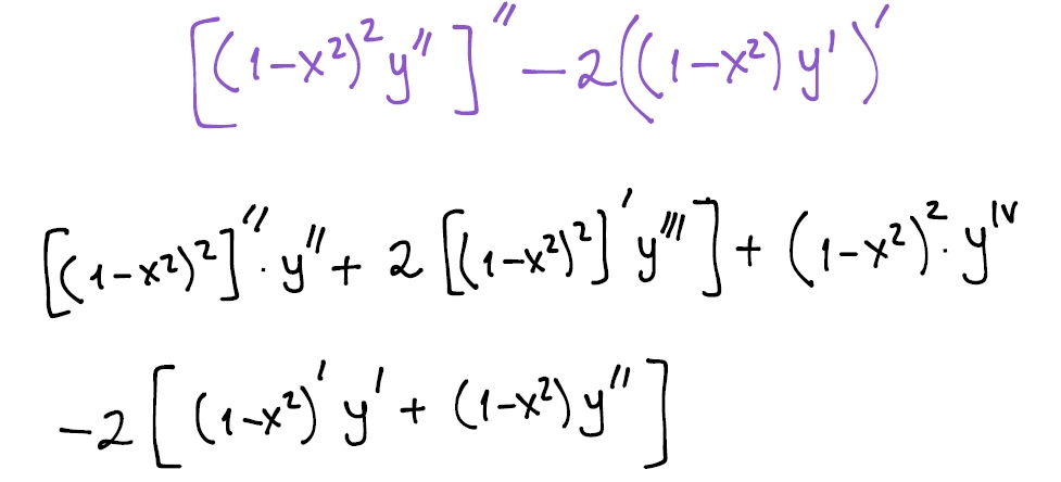
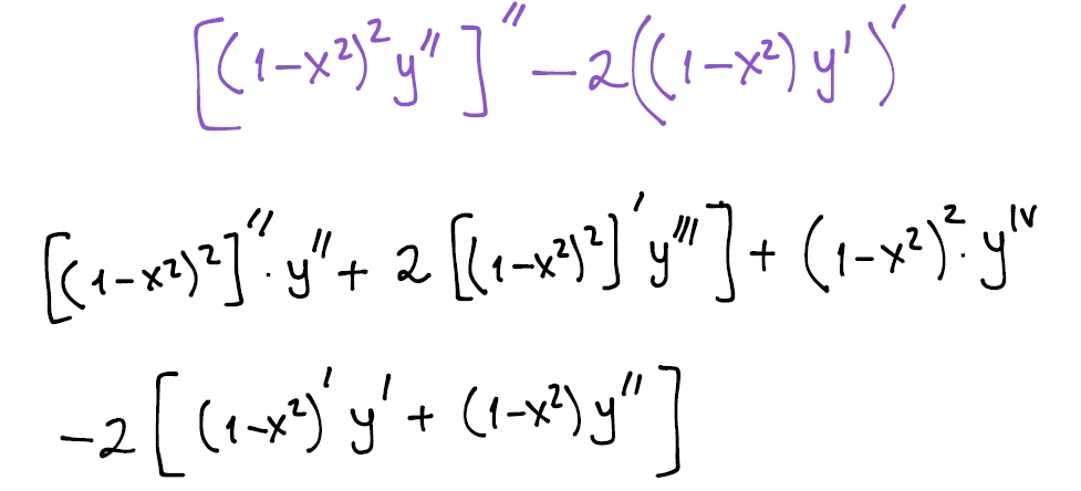
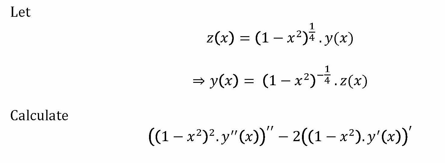
Let Calculate ð‘§ð‘¥ = 1−ð‘¥! !.ð‘¦...
Let Calculate ð‘§ð‘¥ = 1−ð‘¥! !.ð‘¦(ð‘¥) ⇒ð‘¦ð‘¥ = 1âˆ...