Subjects
Online Tutoring
Homework Help
Homework Library
Tutors
Online Classes
More
Bookstore
Blog
Technical Tips
FAQ
Contact Us
Get Help Now
Home
Homework Library
Mathematics
Calculus
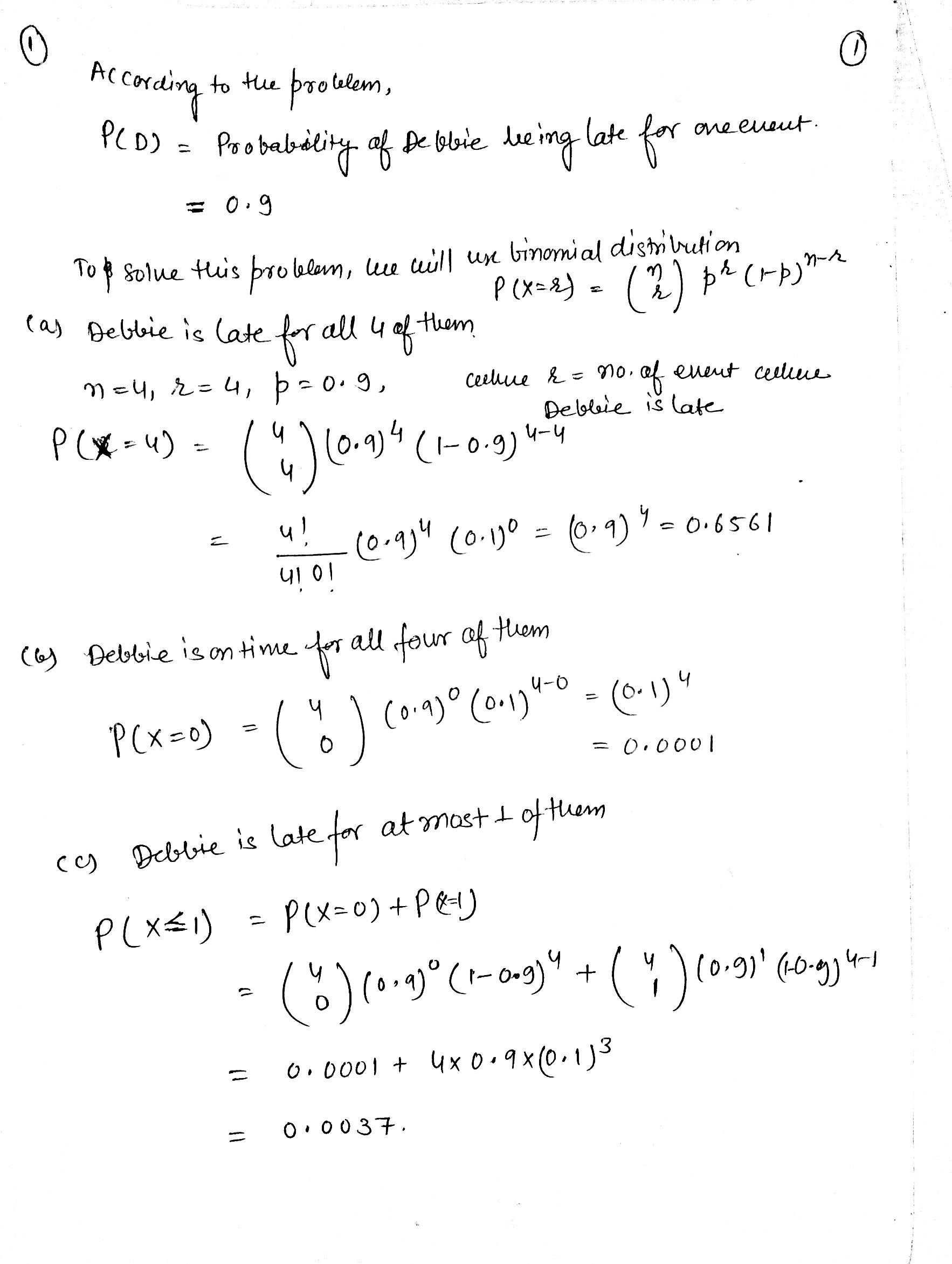
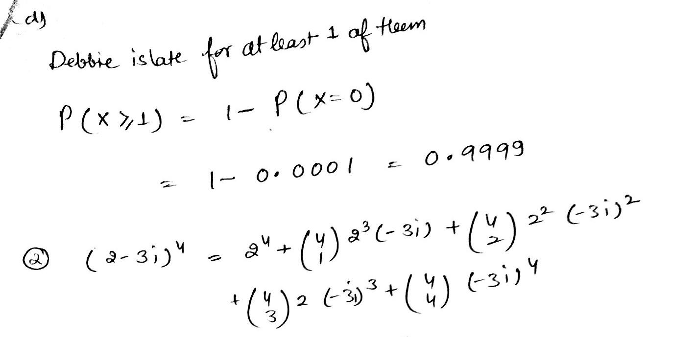
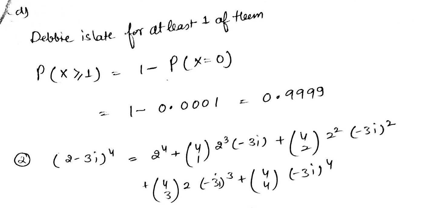
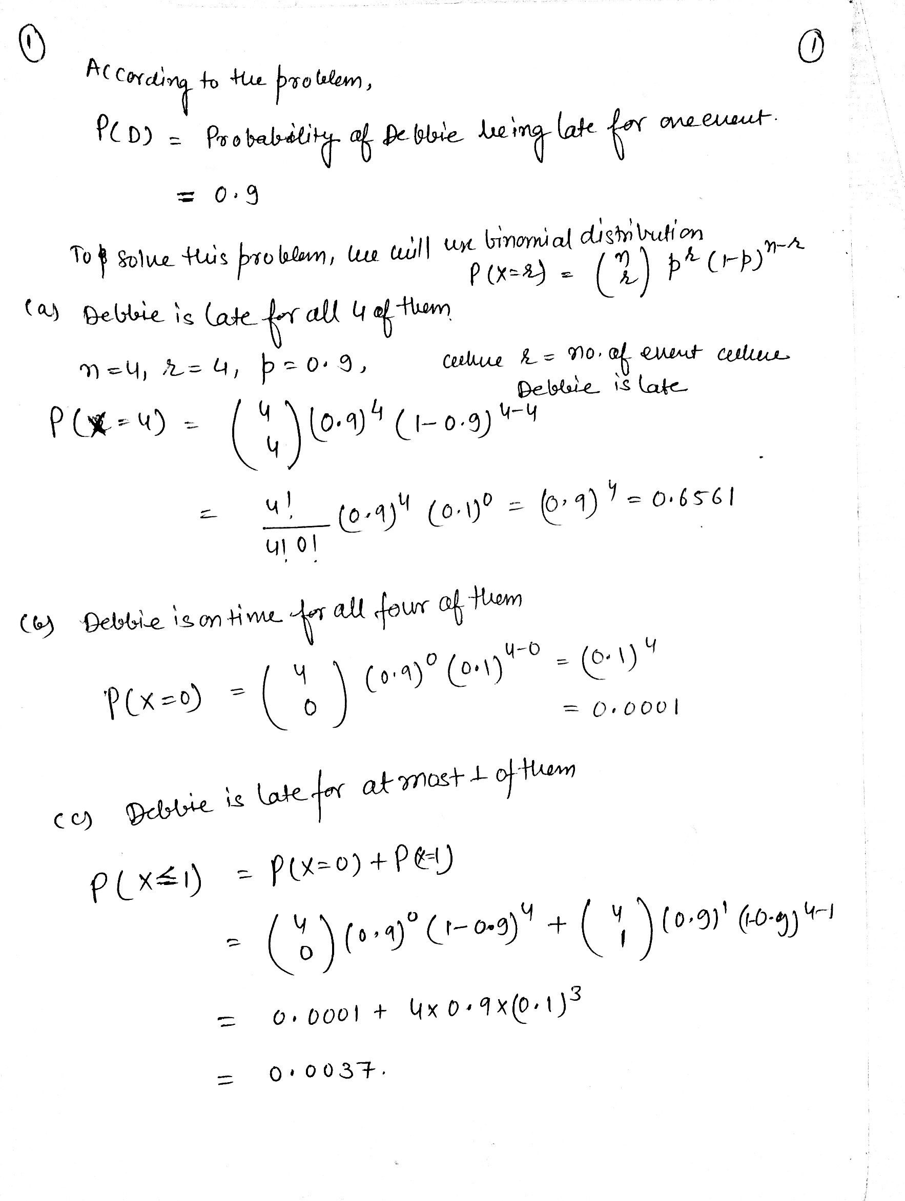
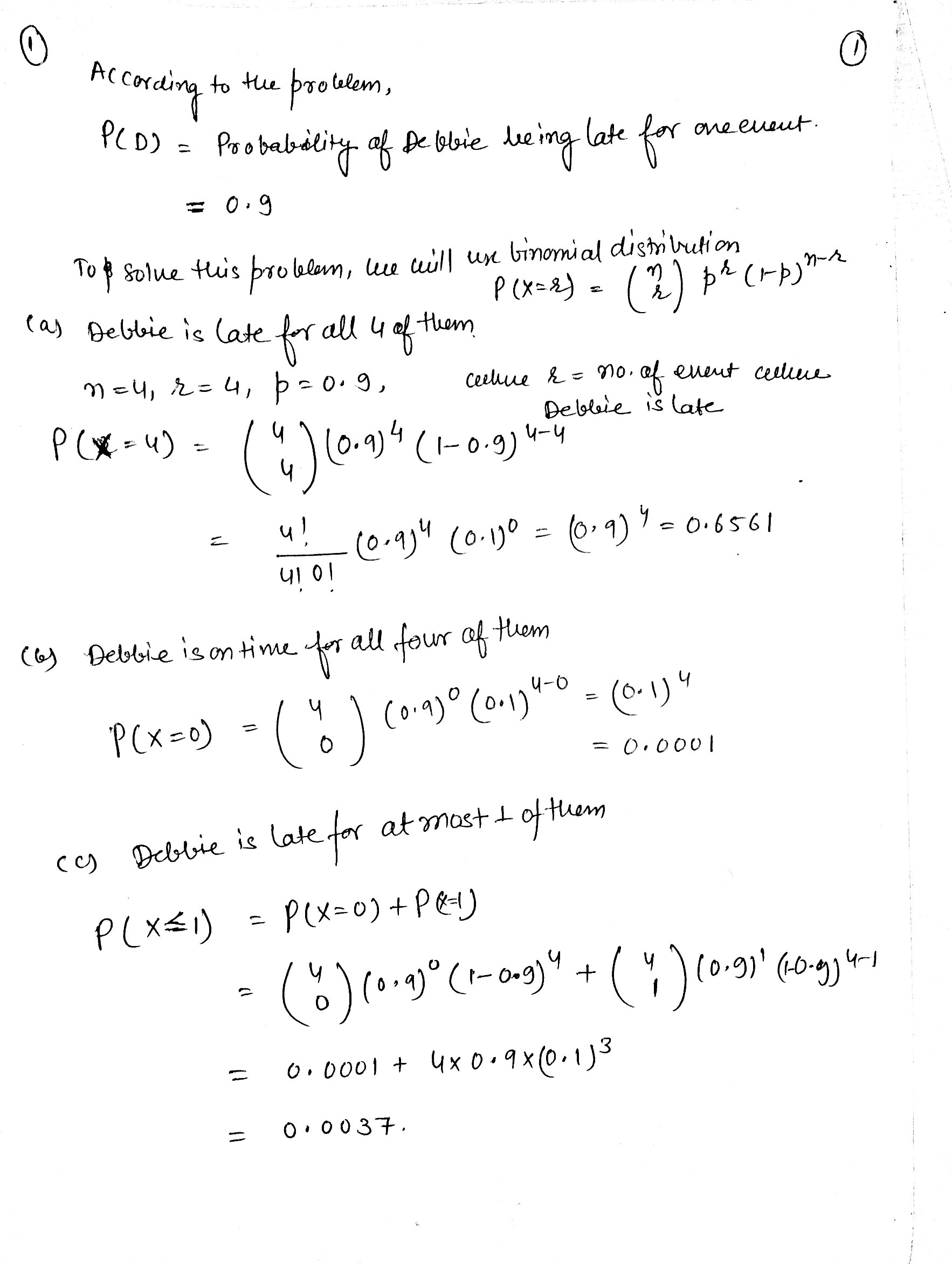
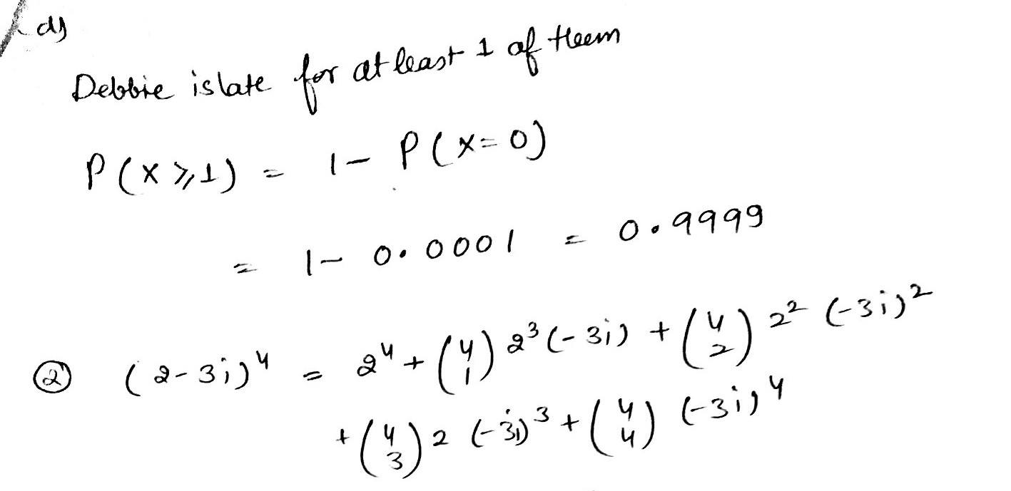
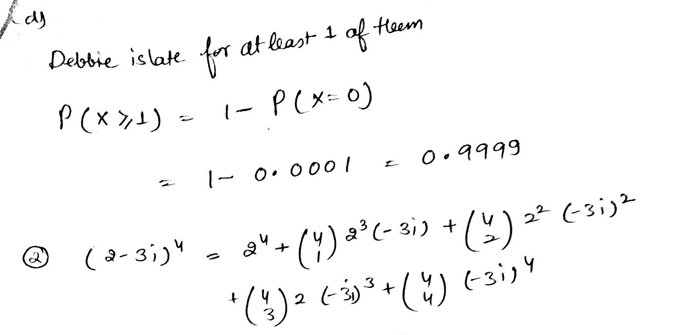
1) Debbie has a reputation for usually being late. Her family has d...
1) Debbie has a reputation for usually being late. Her family has d...