Subjects
Online Tutoring
Homework Help
Homework Library
Tutors
Online Classes
More
Bookstore
Blog
Technical Tips
FAQ
Contact Us
Get Help Now
Home
Homework Library
Mathematics
Calculus
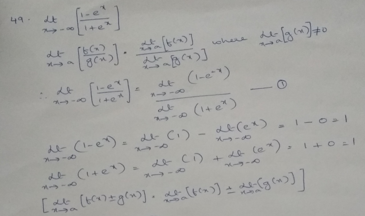
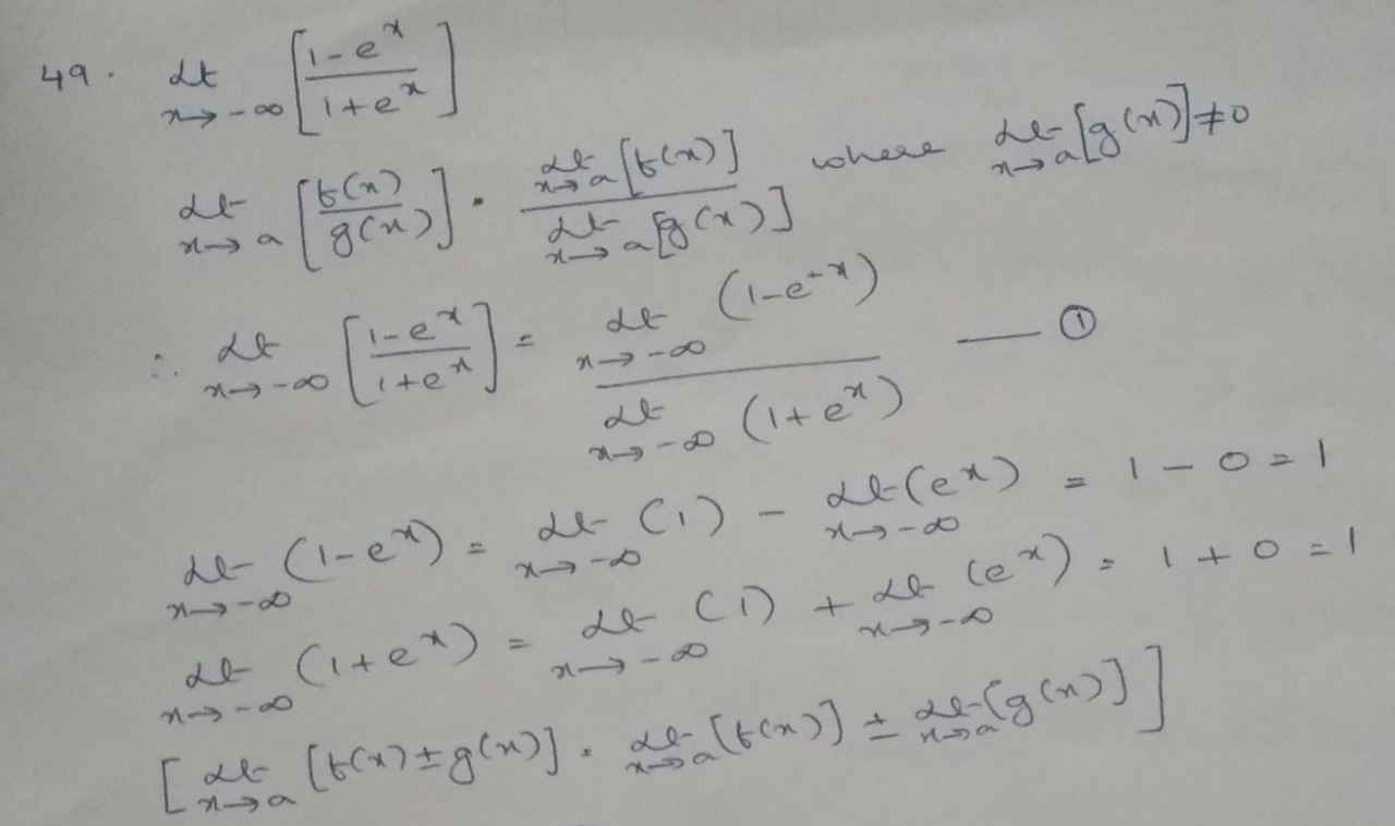
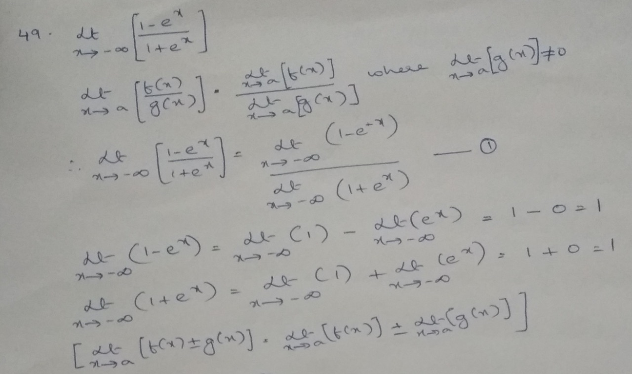
A 1 - ex 49. lim br x -001-1+ - 51. lim ex + e - x - X 2 ...
A 1 - ex 49. lim br x -001-1+ - 51. lim ex + e - x - X 2...