Subjects
Online Tutoring
Homework Help
Homework Library
Tutors
Online Classes
More
Bookstore
Blog
Technical Tips
FAQ
Contact Us
Get Help Now
Home
Homework Library
Mathematics
Calculus
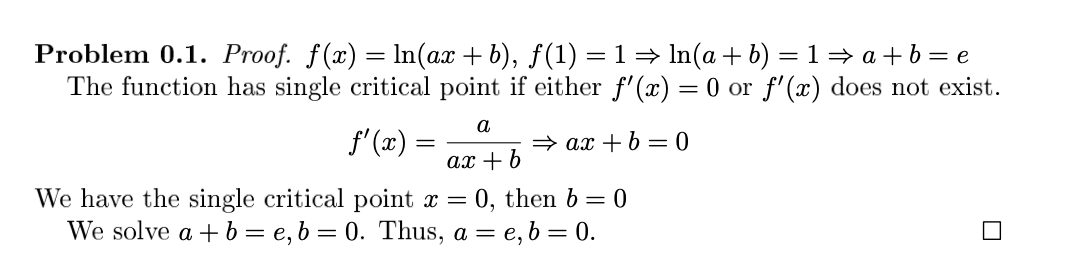
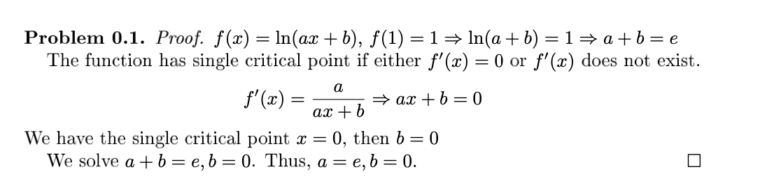
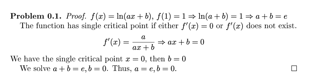
1. Suppose that = where g (x) = ax + b and a & b are non-negat...
1. Suppose that = where g (x) = ax + b and a & b are non-negat...