Subjects
Online Tutoring
Homework Help
Homework Library
Tutors
Online Classes
More
Bookstore
Blog
Technical Tips
FAQ
Contact Us
Get Help Now
Home
Homework Library
Mathematics
Calculus
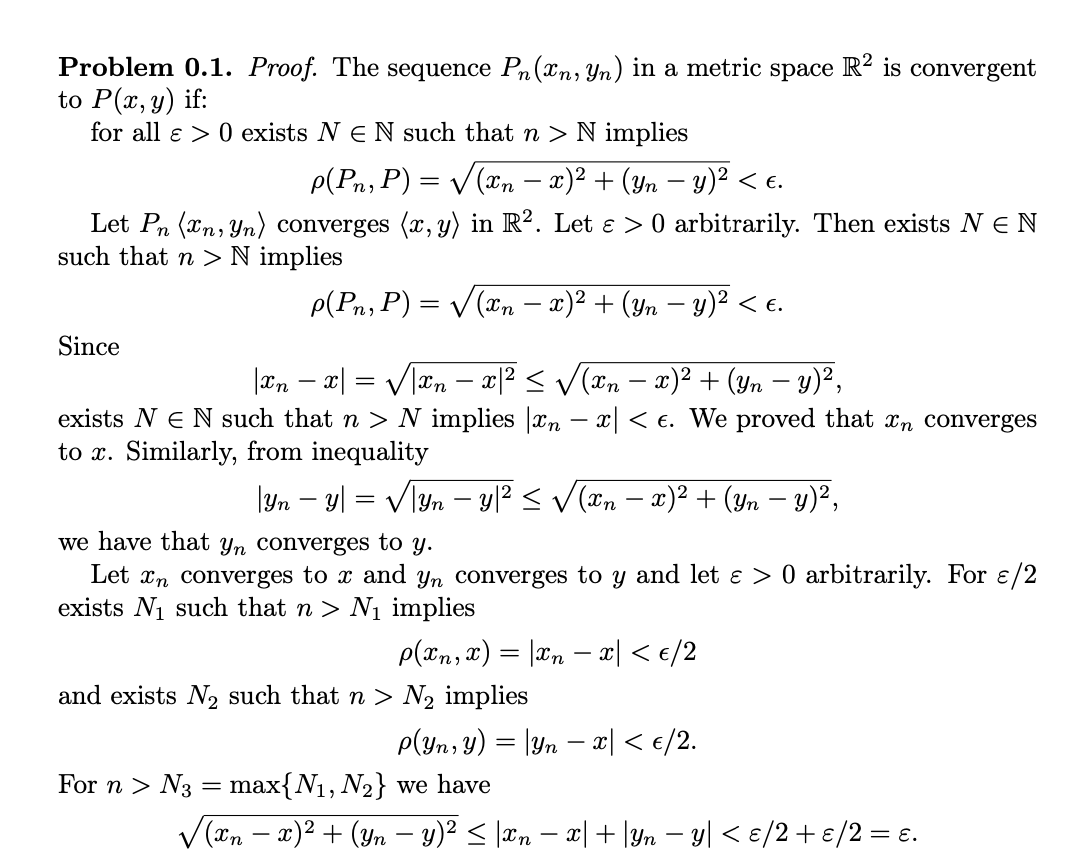
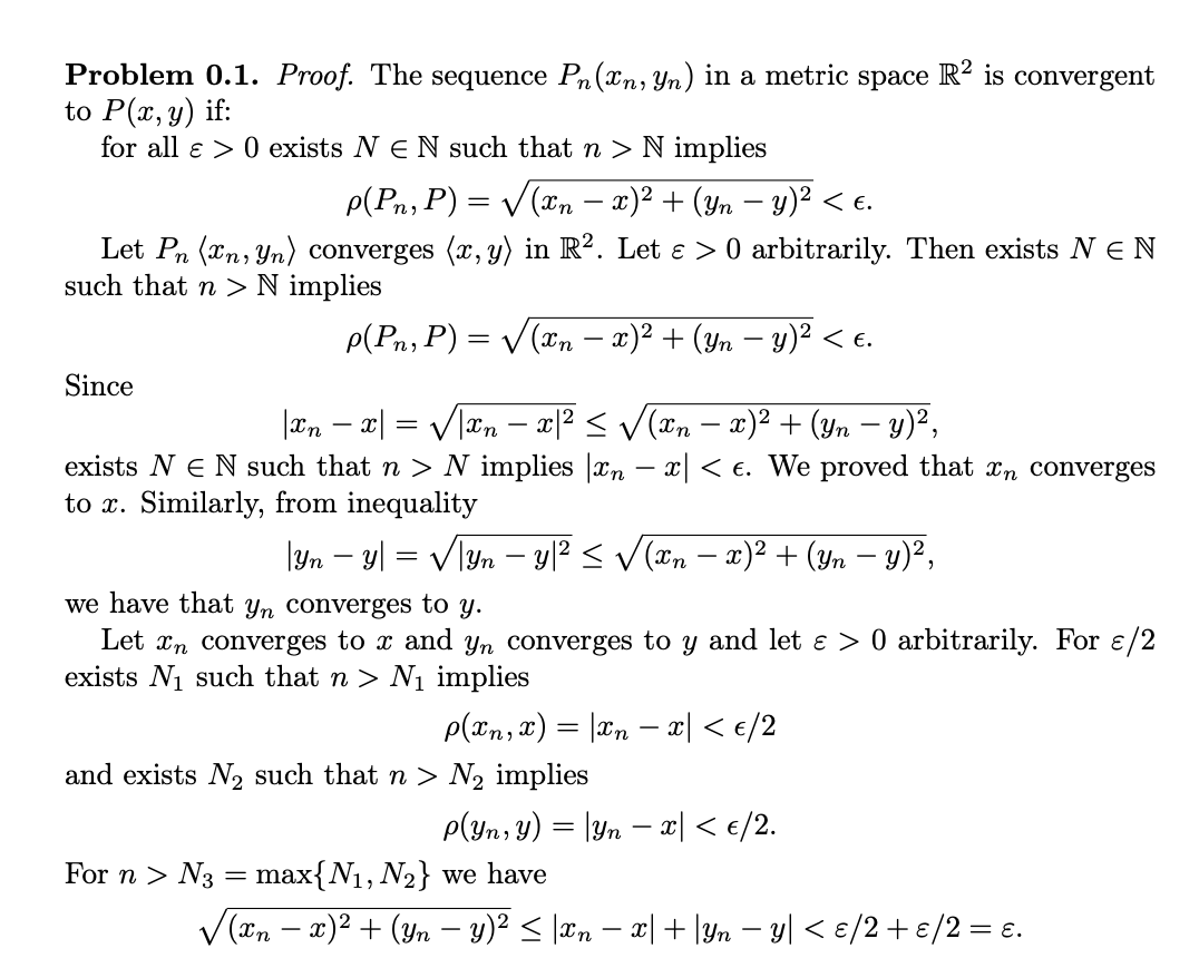
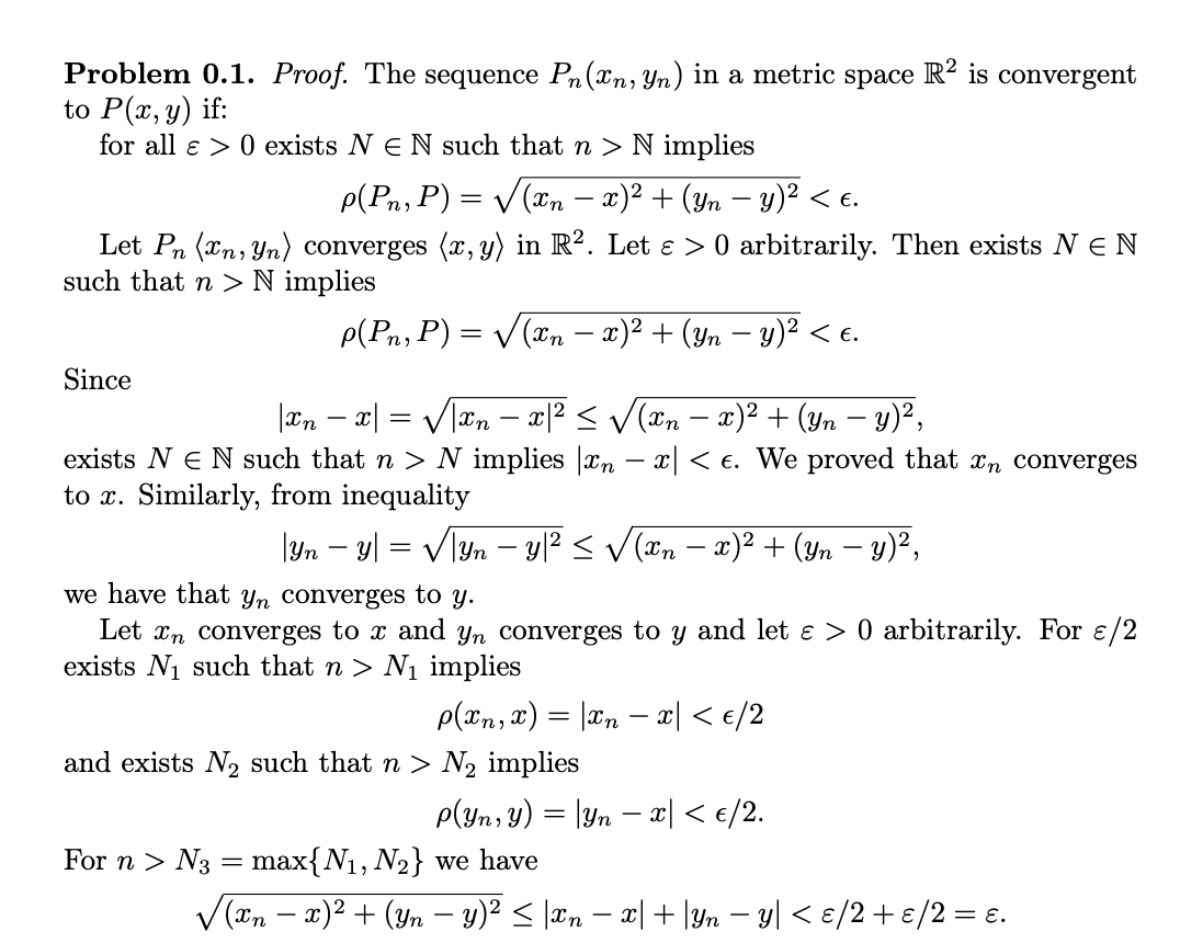
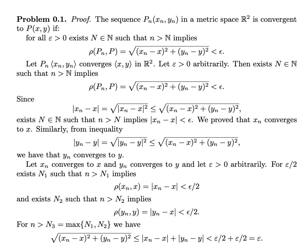
4. Suppose that p and o are metrics for M such that lim Xn n = X i...
4. Suppose that p and o are metrics for M such that lim Xn n = X i...