Subjects
Online Tutoring
Homework Help
Homework Library
Tutors
Online Classes
More
Bookstore
Blog
Technical Tips
FAQ
Contact Us
Get Help Now
Home
Homework Library
Mathematics
Calculus
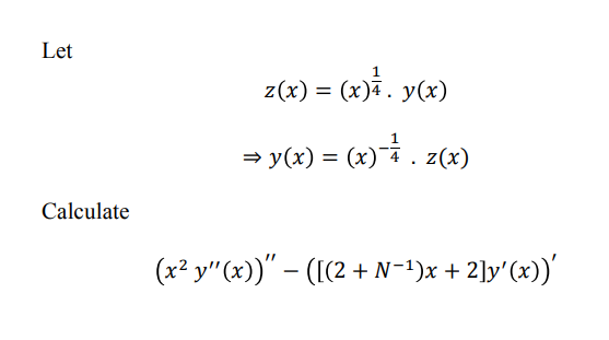
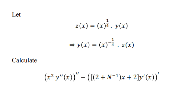
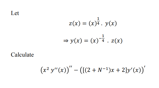
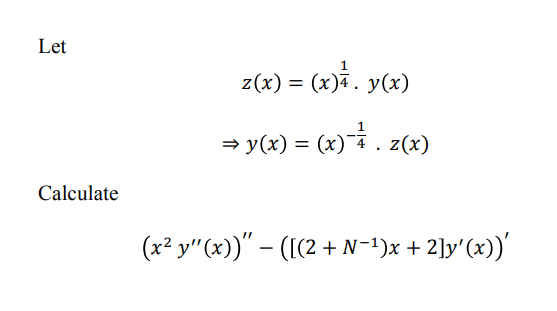
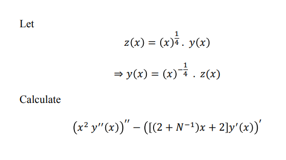
Let 1 Z (x) = (x).y(x) y(x)=(x)7.2(x) Calculate (x² y"...
Let 1 Z (x) = (x).y(x) y(x)=(x)7.2(x) Calculate (x² y"(x...