Subjects
Online Tutoring
Homework Help
Homework Library
Tutors
Online Classes
More
Bookstore
Blog
Technical Tips
FAQ
Contact Us
Get Help Now
Home
Homework Library
Mathematics
Calculus
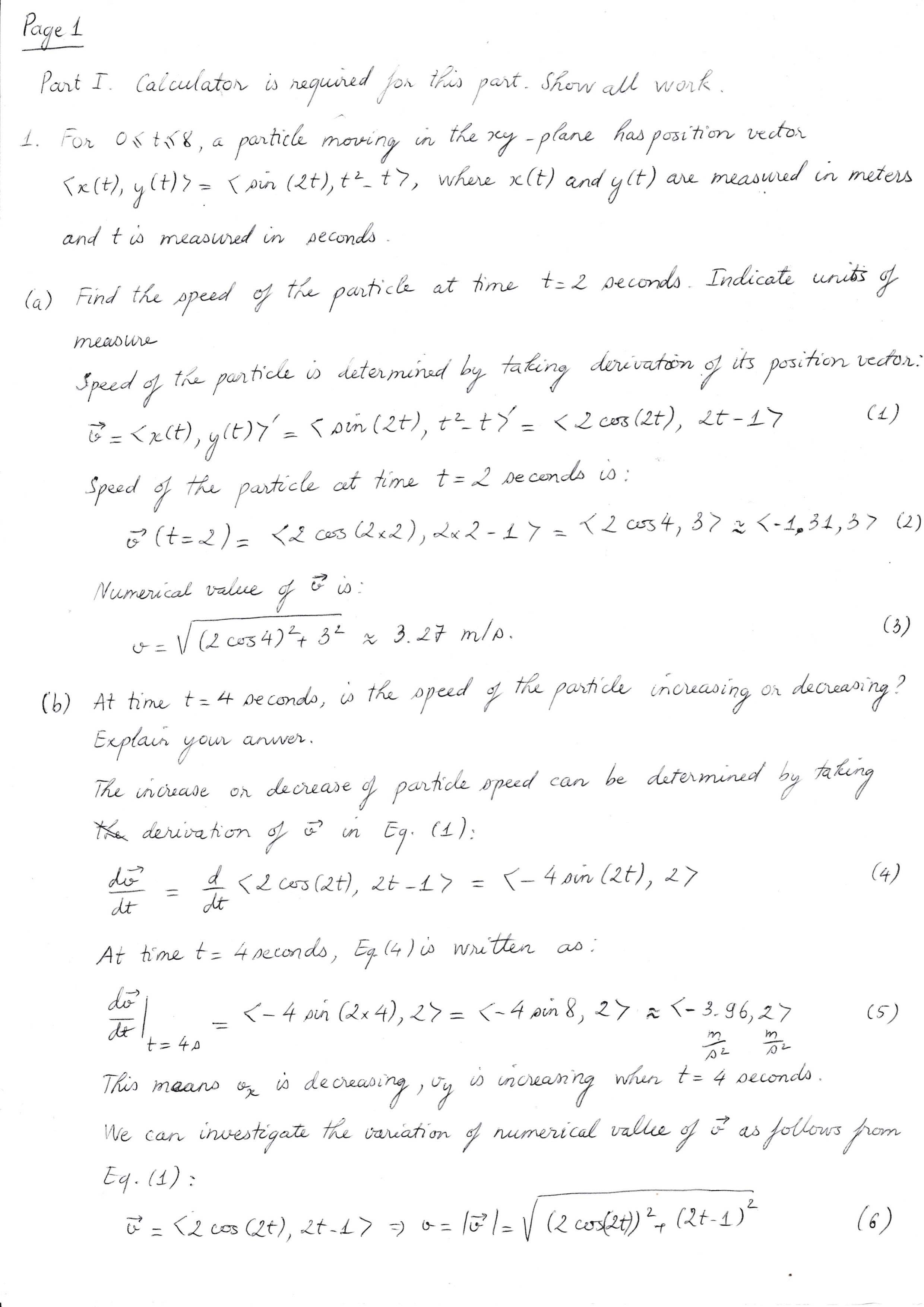
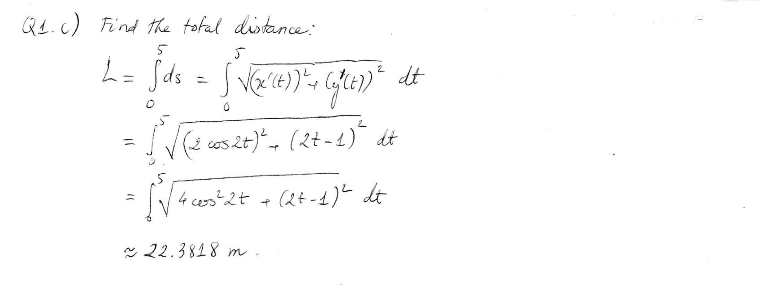
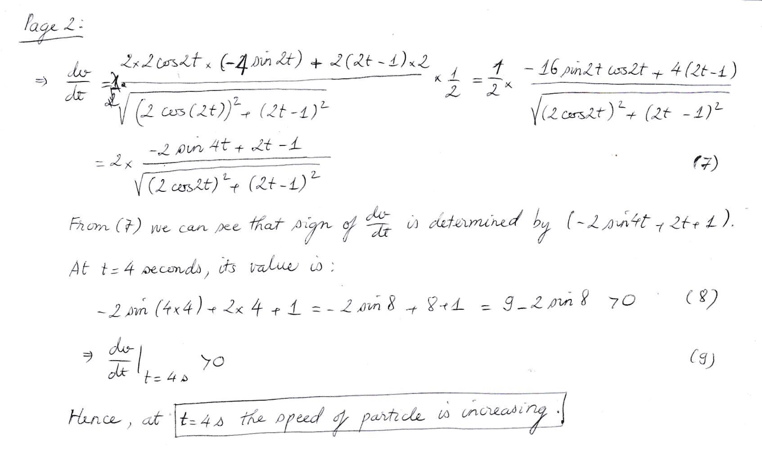
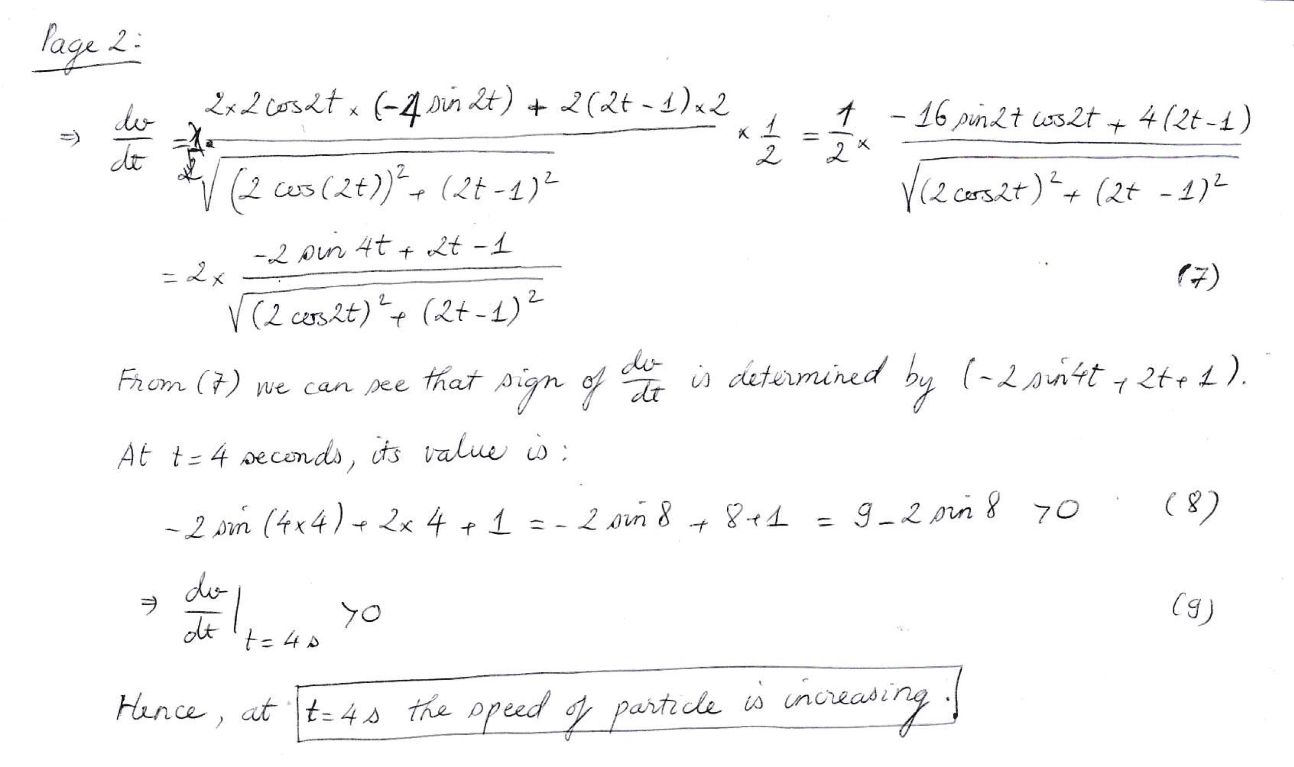
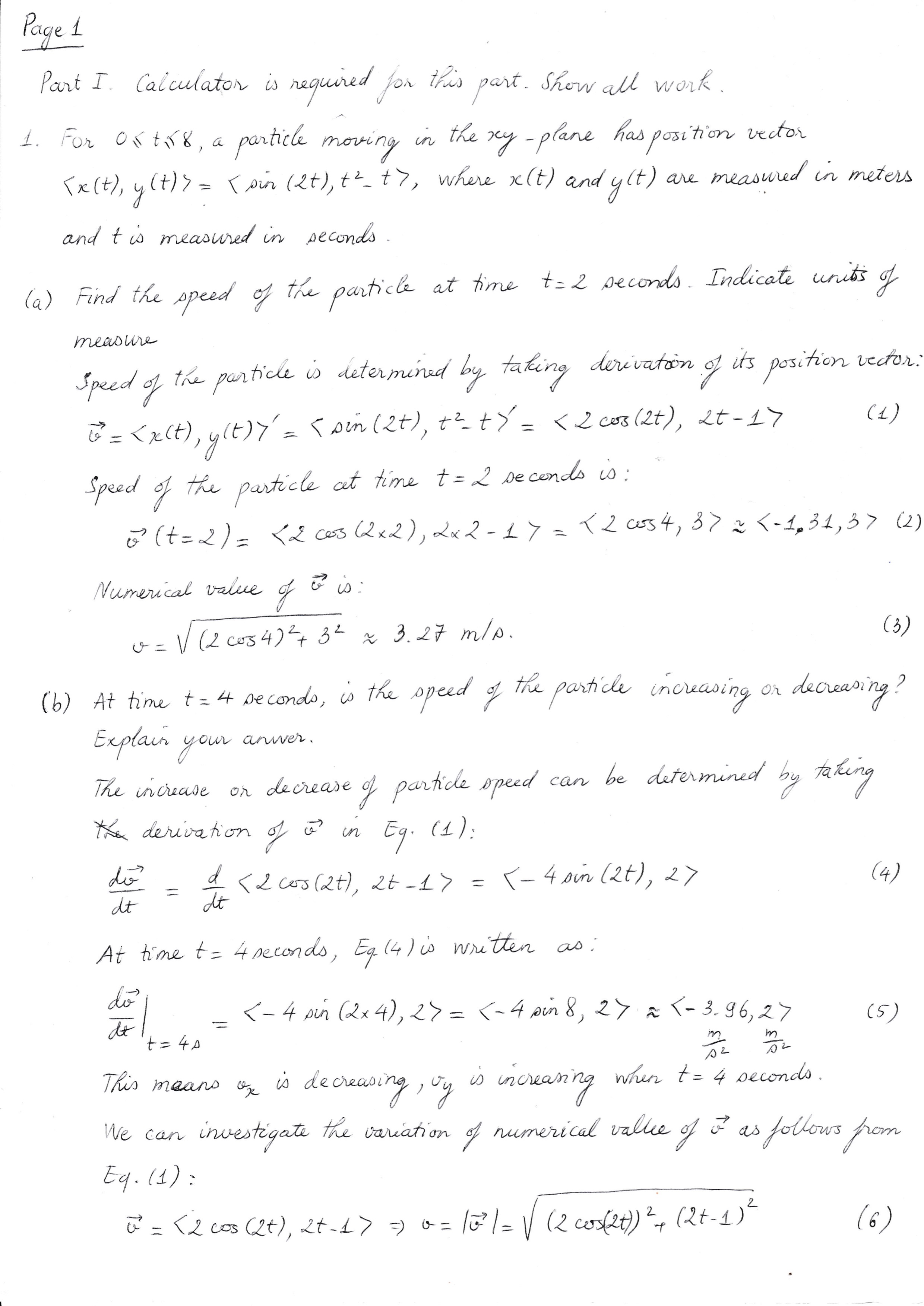
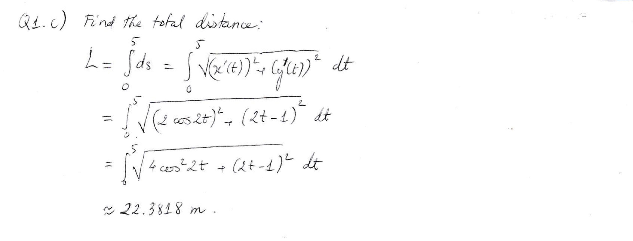
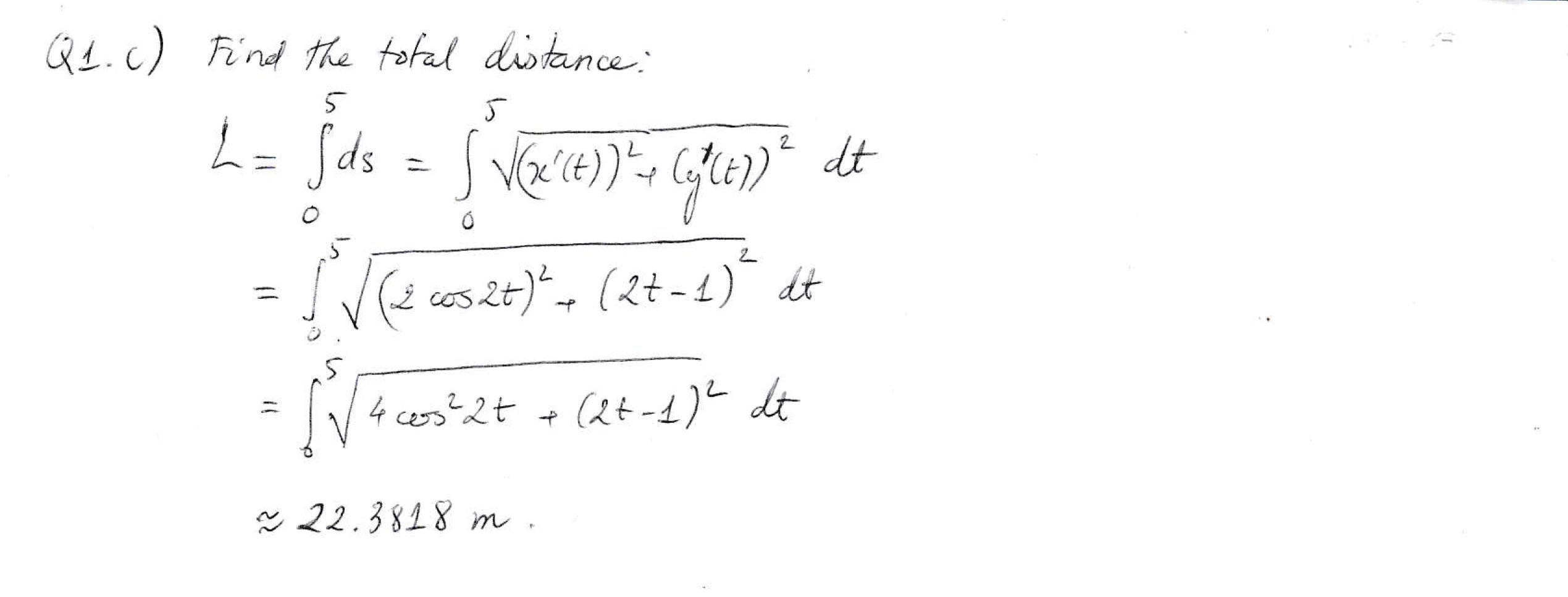
1. For OSI<8, a particle moving in the xy-plane has positio...
1. For OSI<8, a particle moving in the xy-plane has positio...