Subjects
Online Tutoring
Homework Help
Homework Library
Tutors
Online Classes
More
Bookstore
Blog
Technical Tips
FAQ
Contact Us
Get Help Now
Home
Homework Library
Mathematics
Calculus
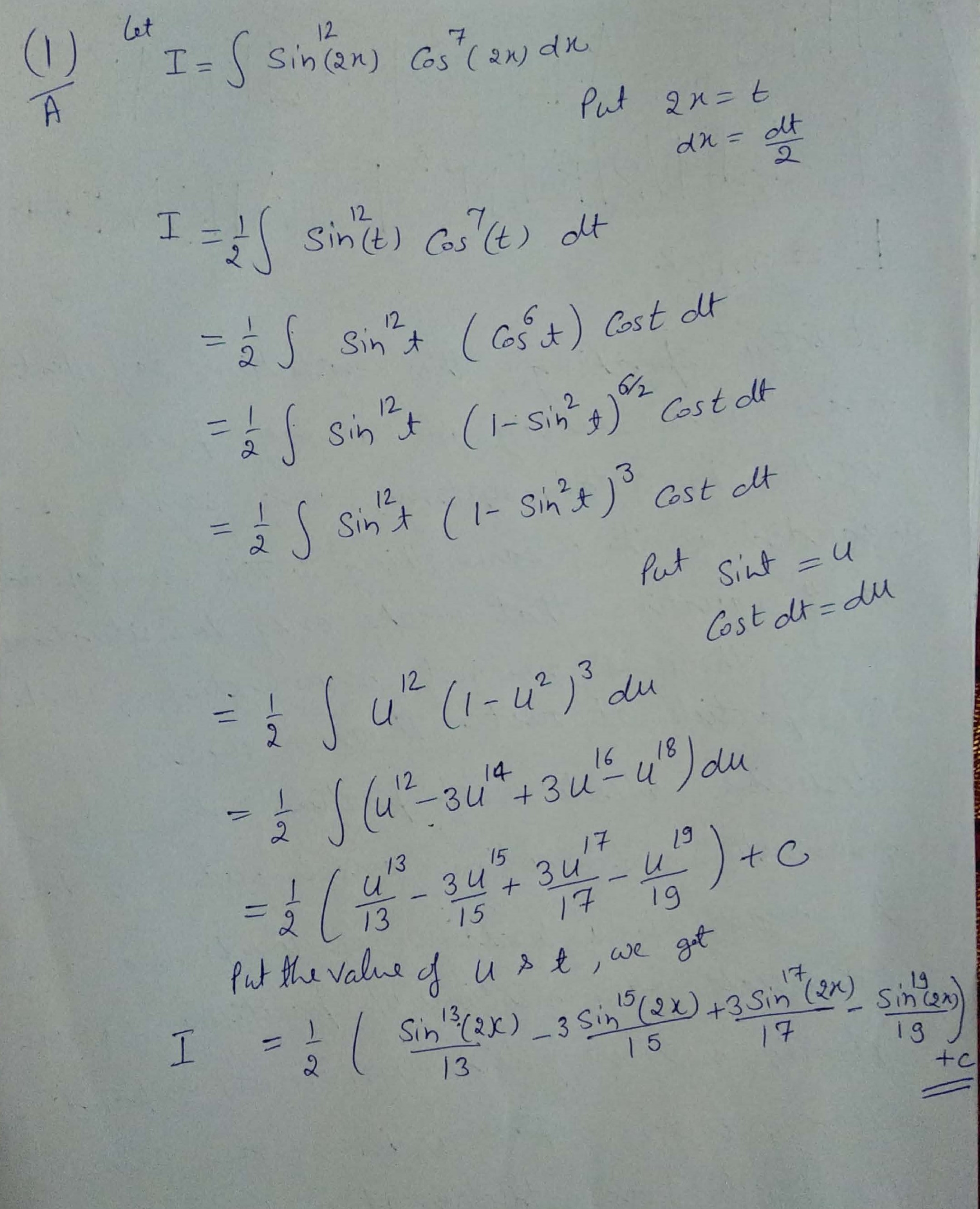
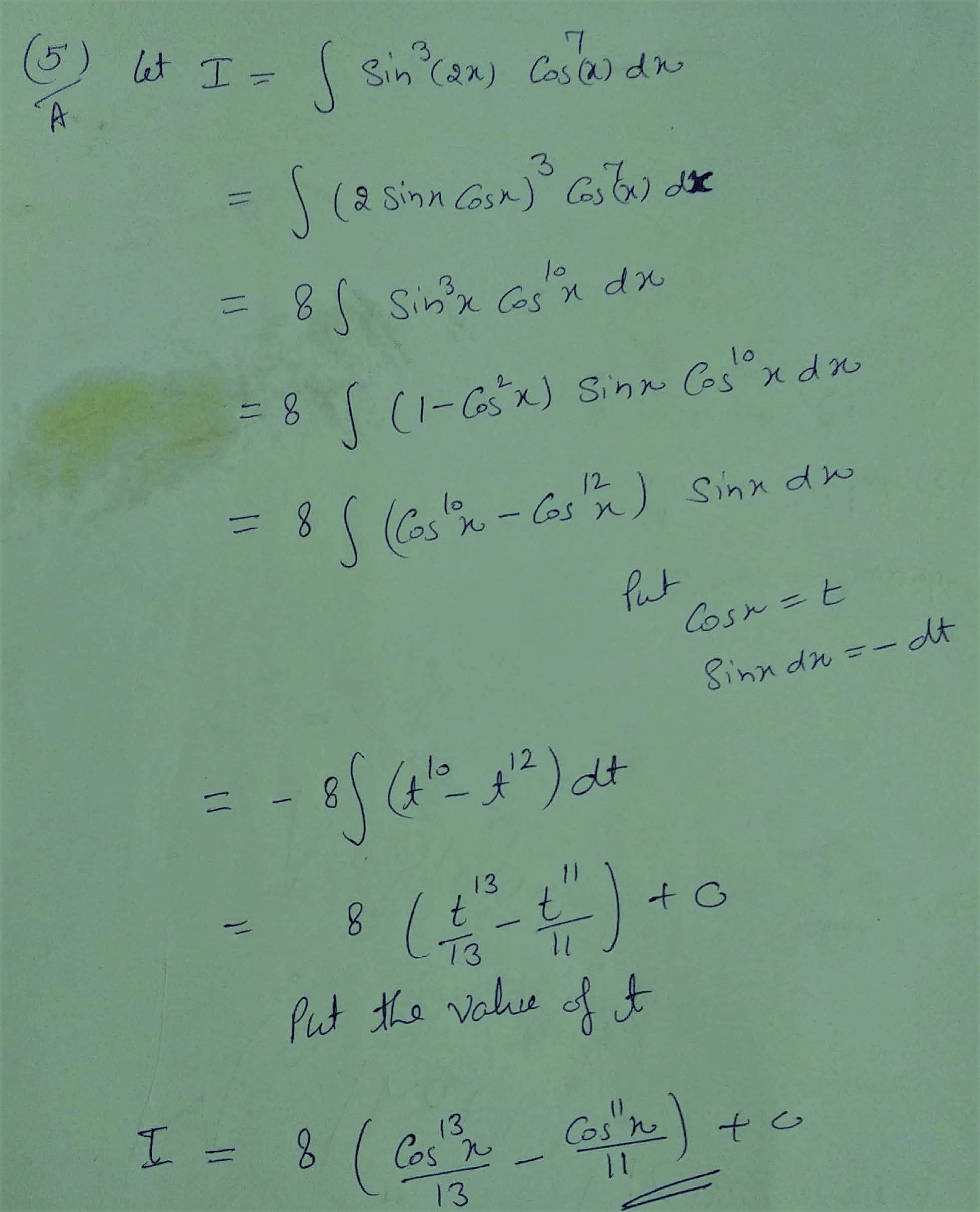
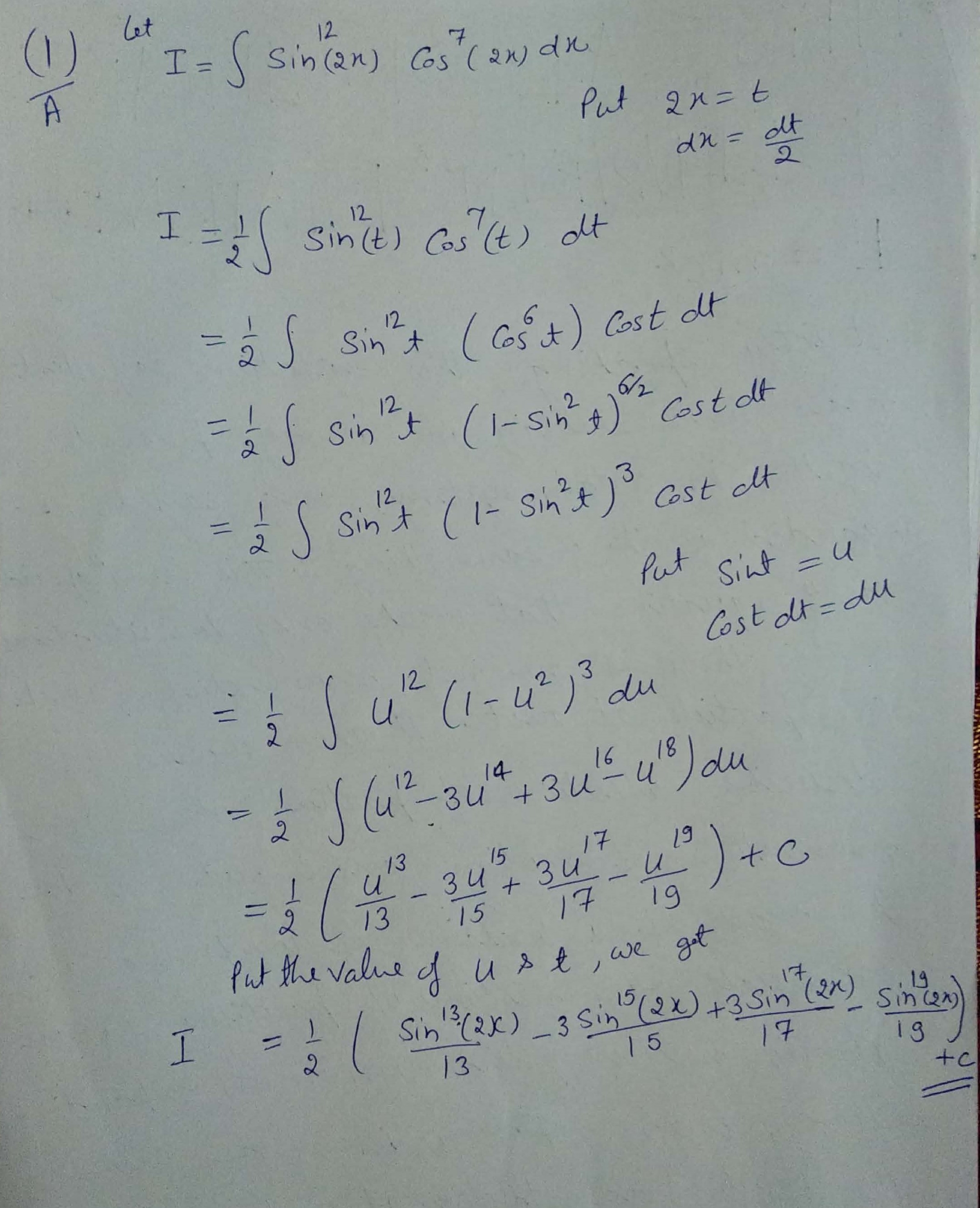
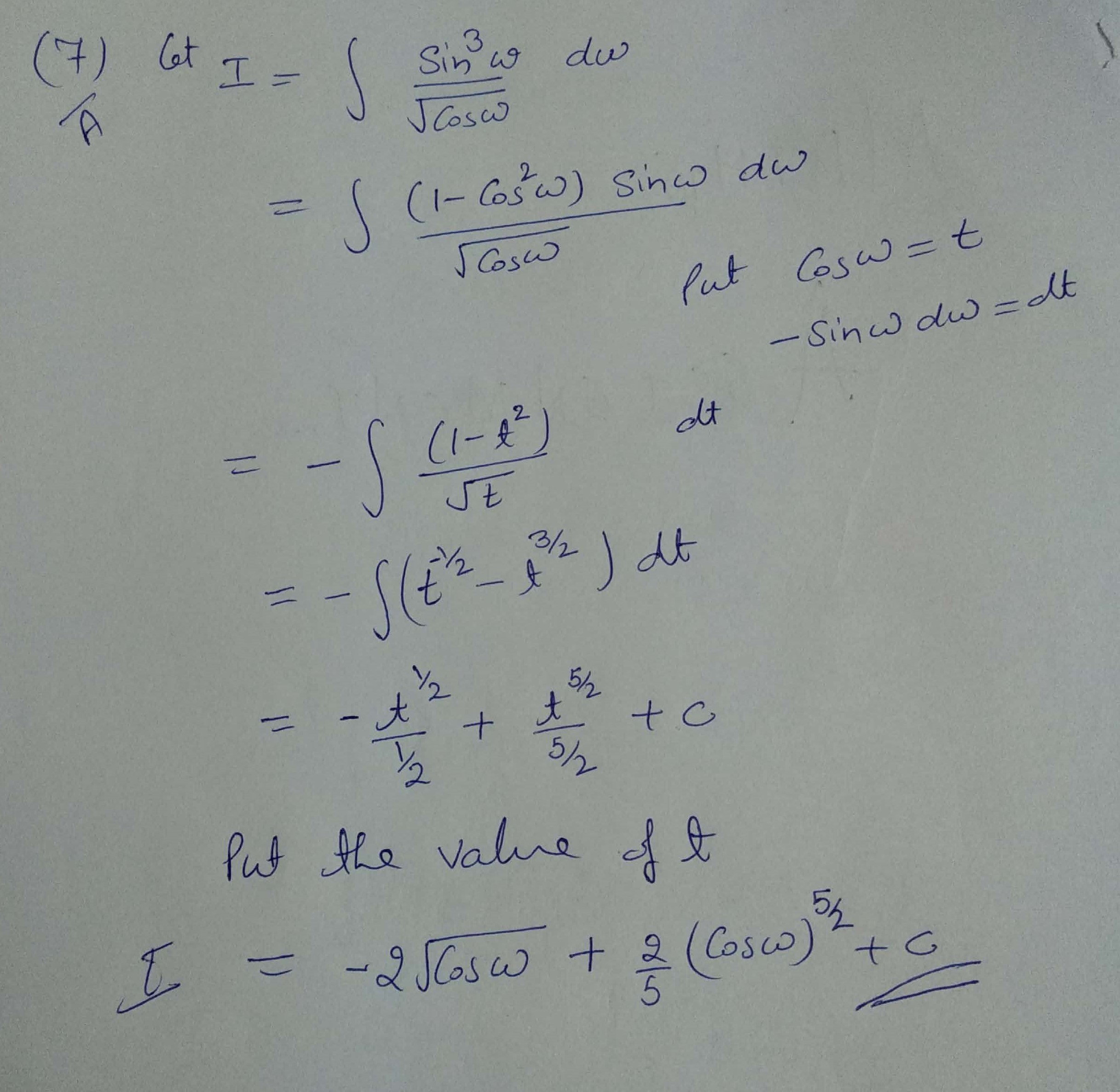
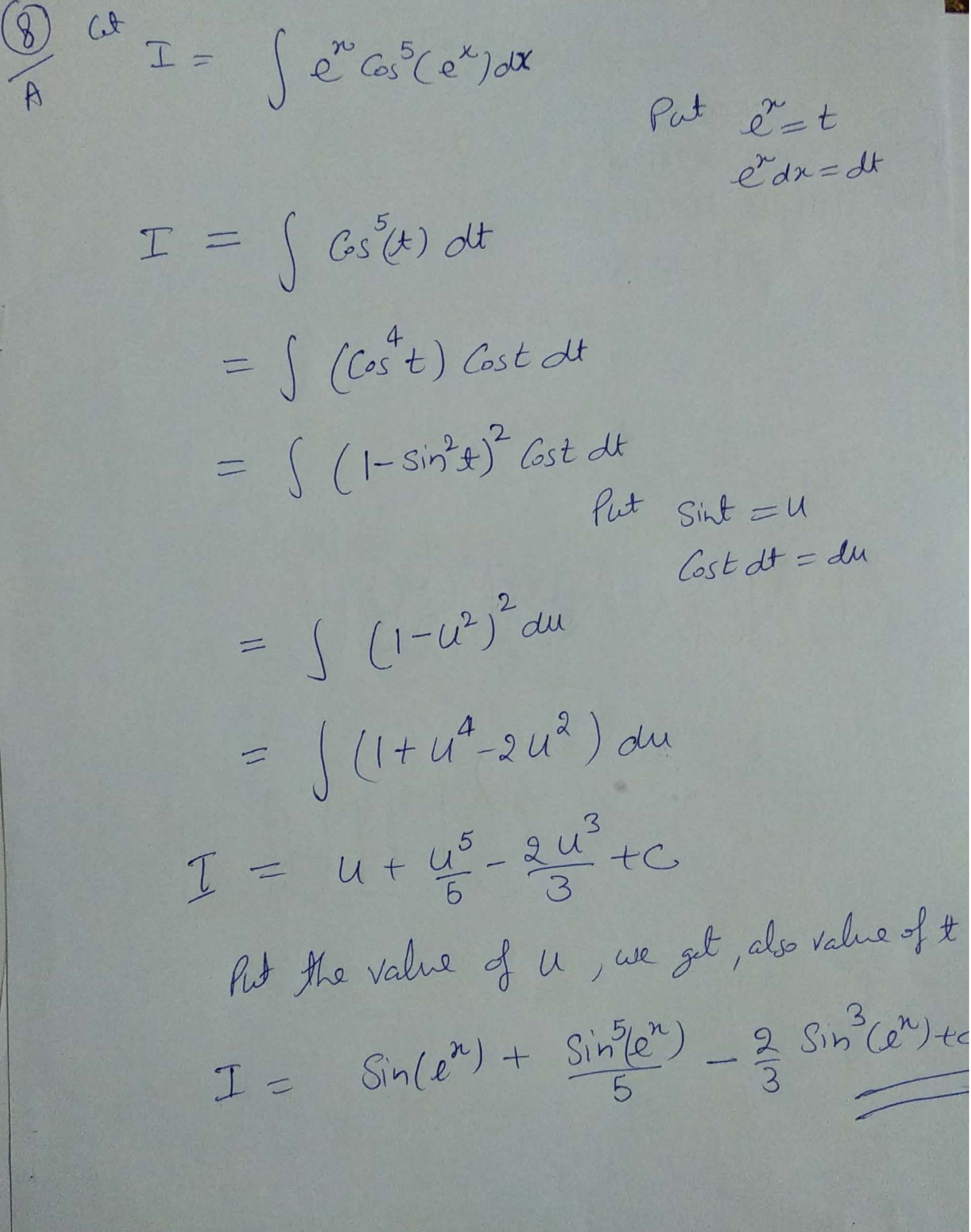
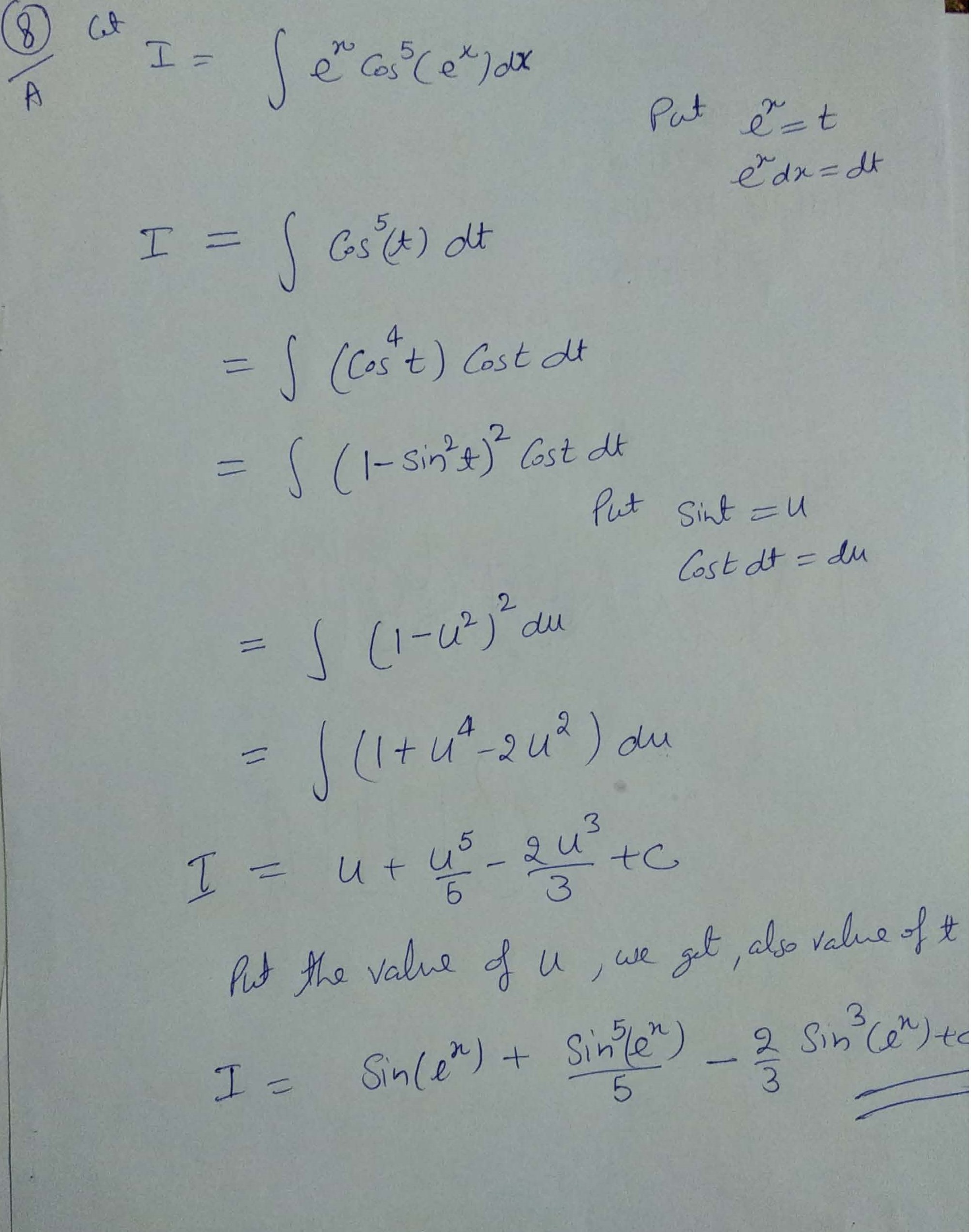
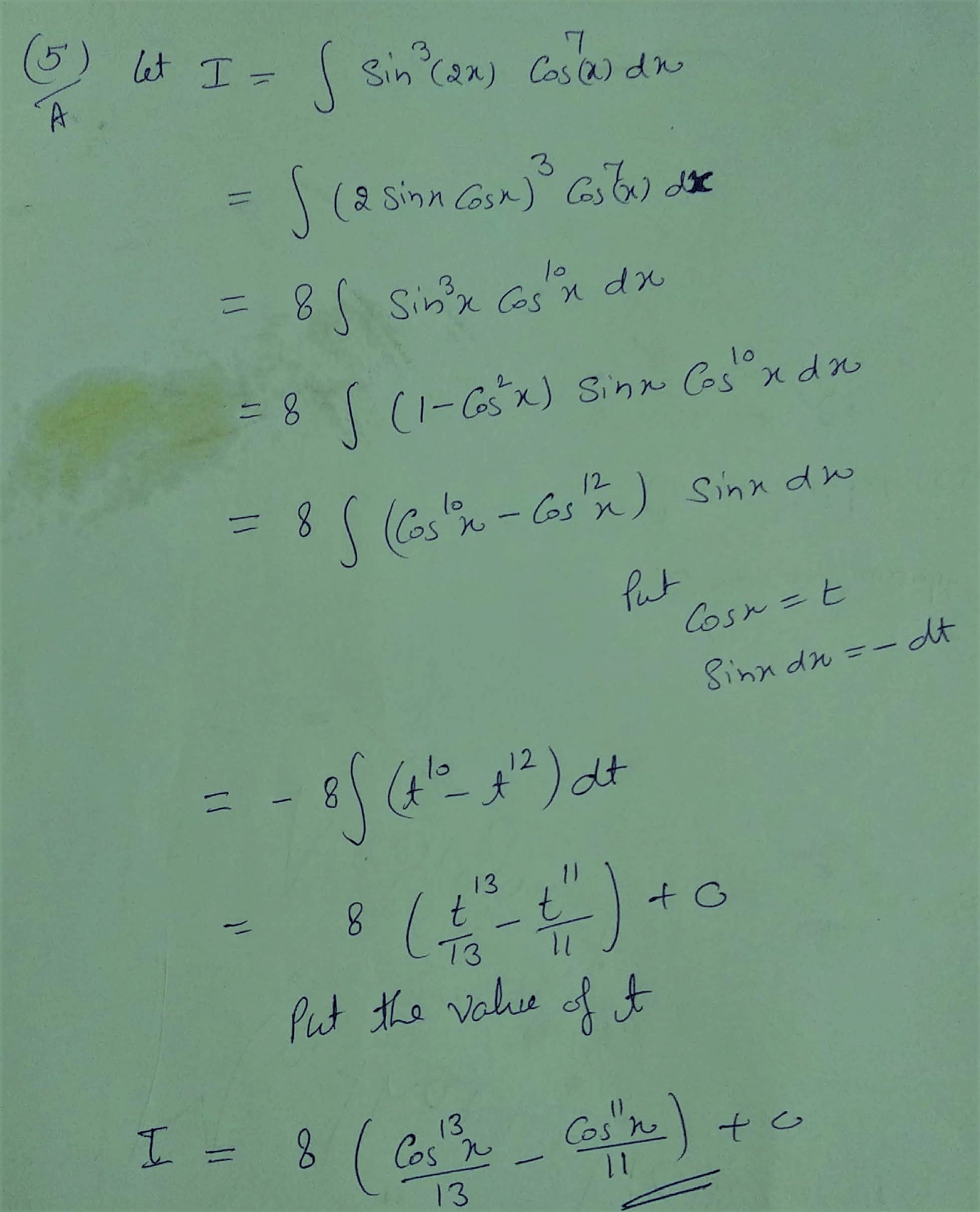
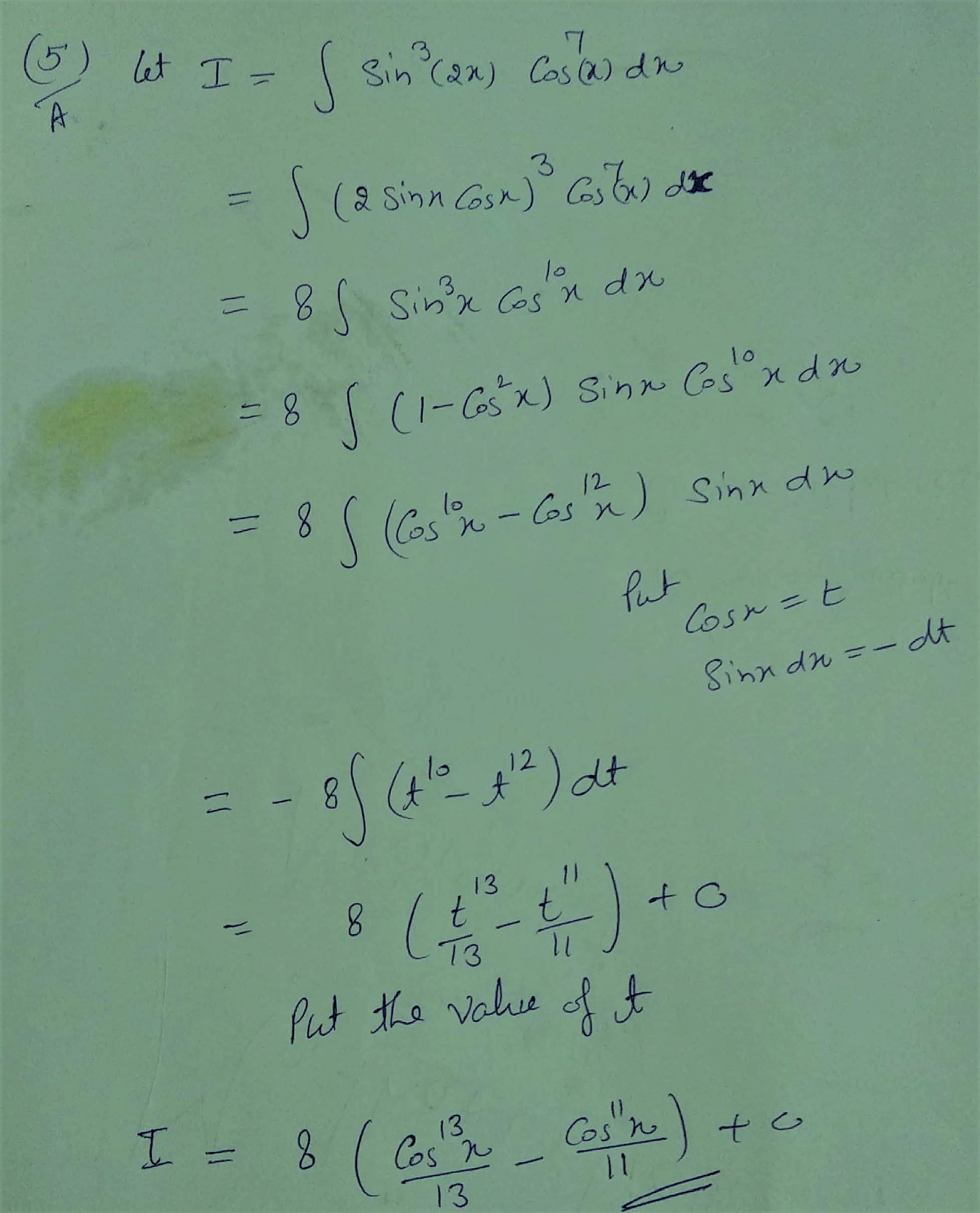
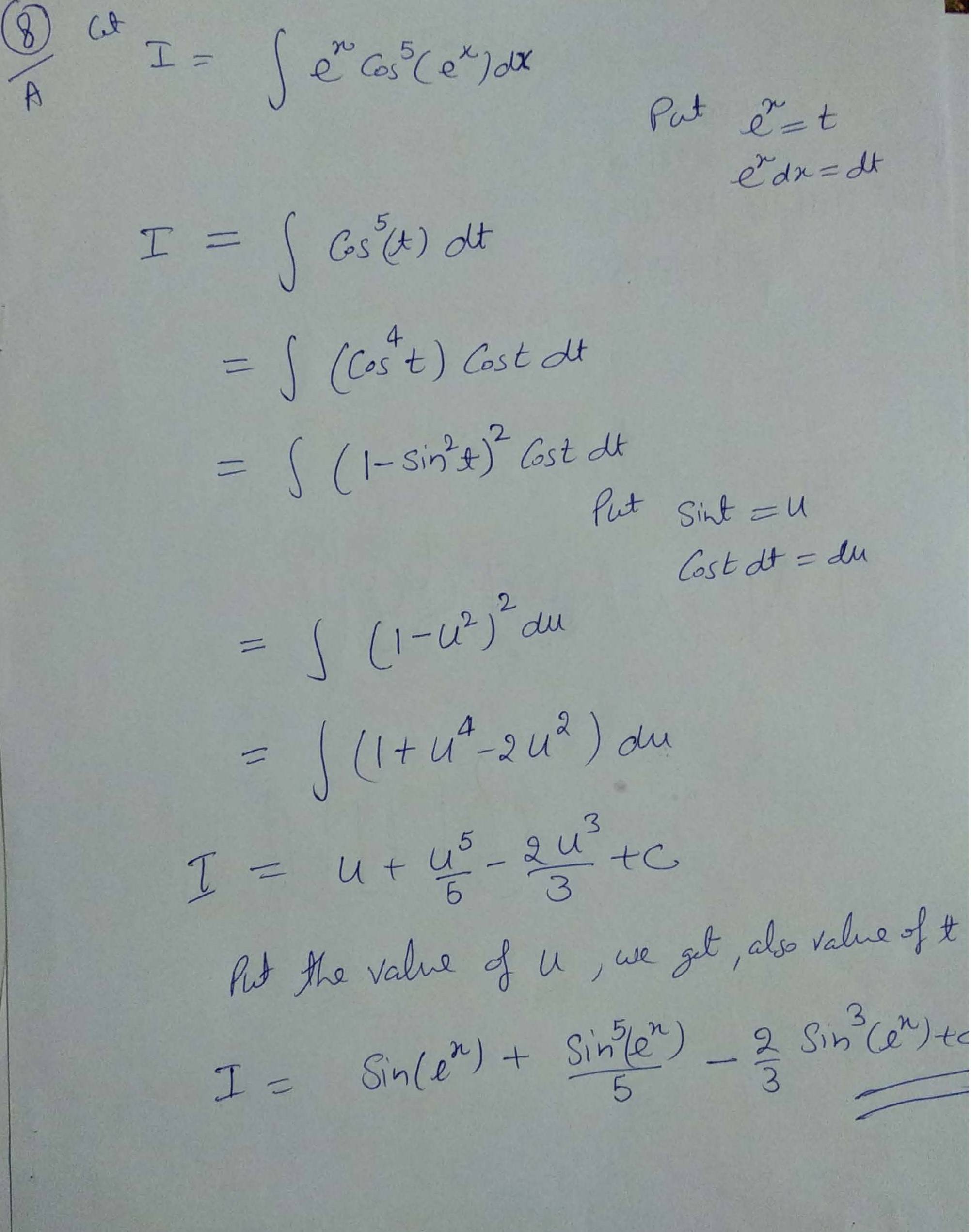
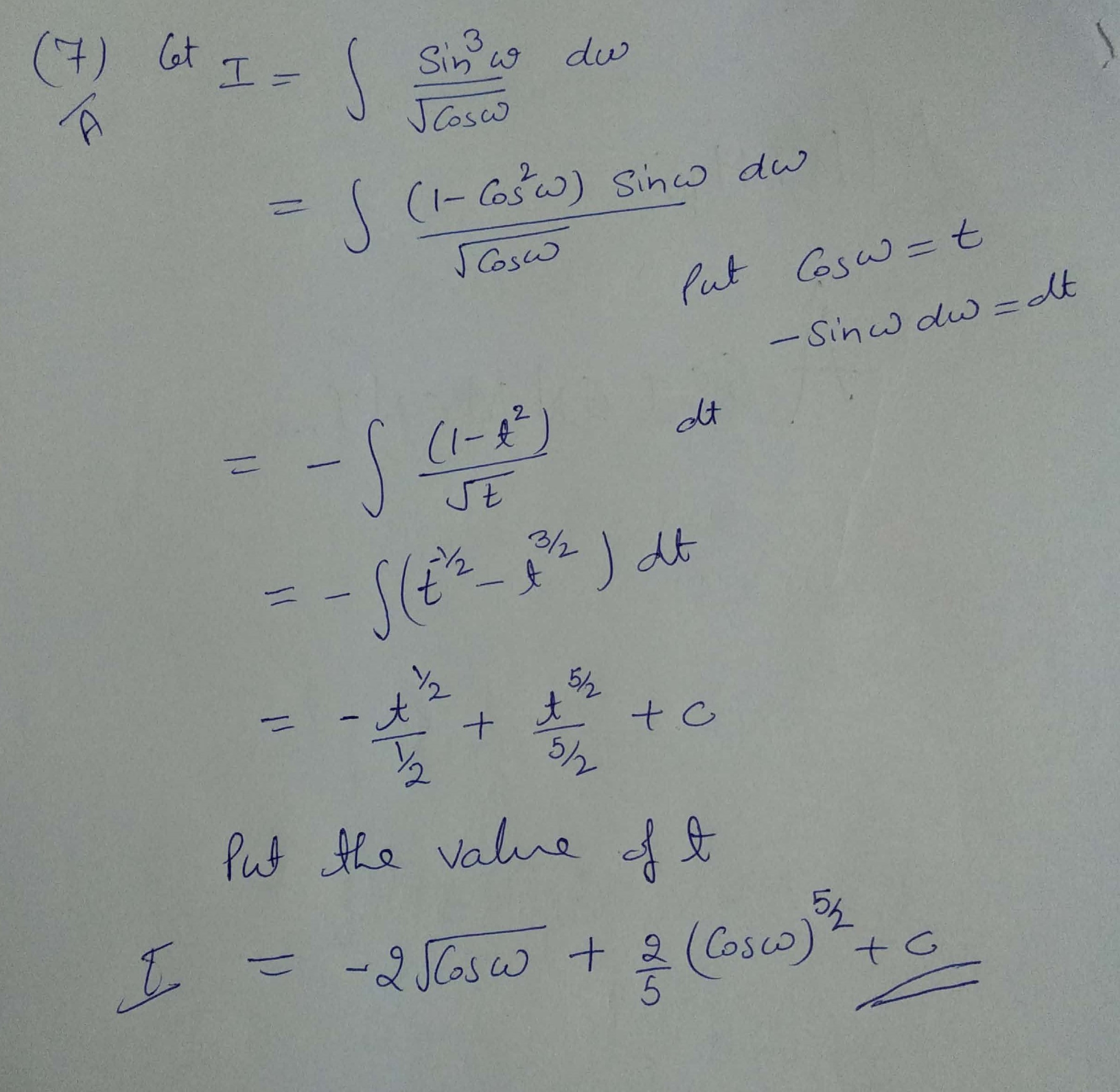
Evaluate the (sin°0n3)d Vysin Yy 7. sin3udw Veosu 8. <B...
Evaluate the (sin°0n3)d Vysin Yy 7. sin3udw Veosu 8. <B....