Subjects
Online Tutoring
Homework Help
Homework Library
Tutors
Online Classes
More
Bookstore
Blog
Technical Tips
FAQ
Contact Us
Get Help Now
Home
Homework Library
Mathematics
Calculus
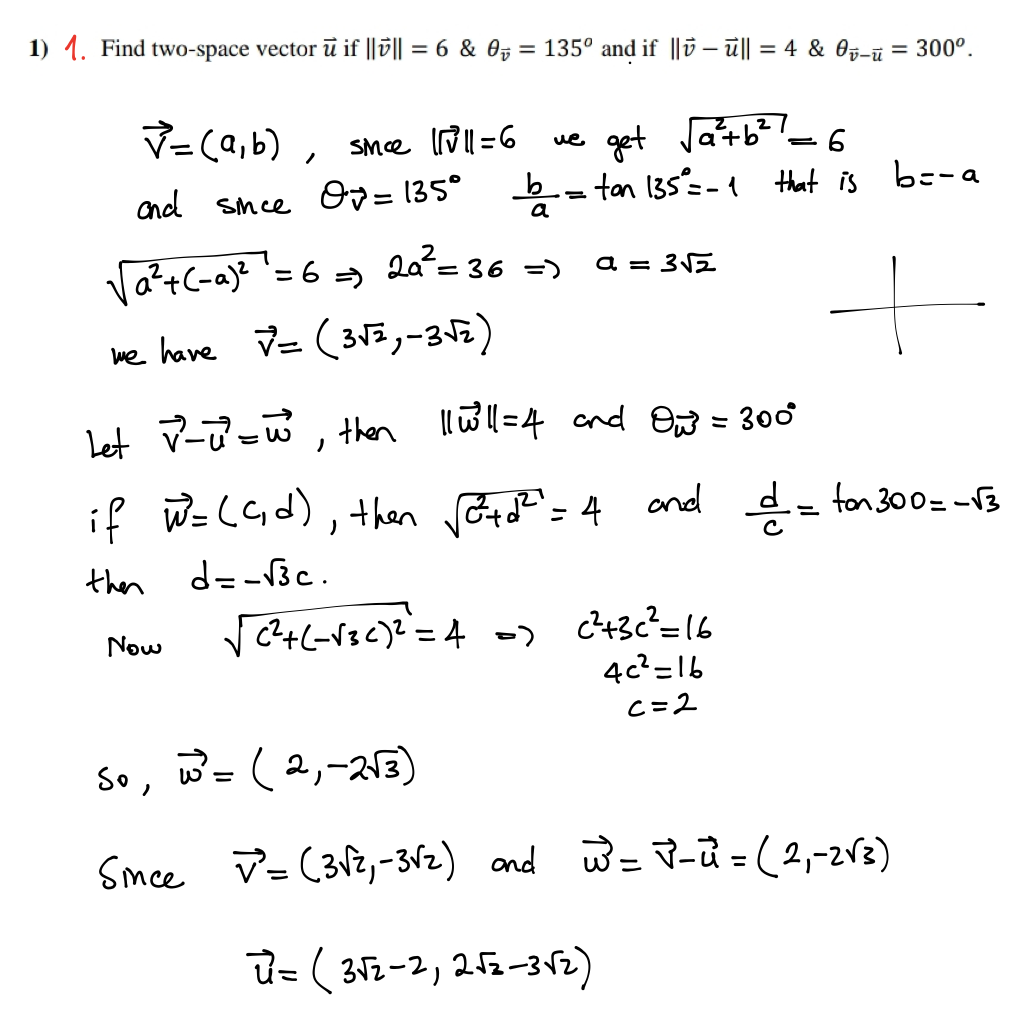
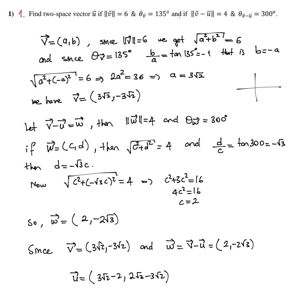
1) Find two-space vector u if |||| = 6 & = 135° and if Ili ...
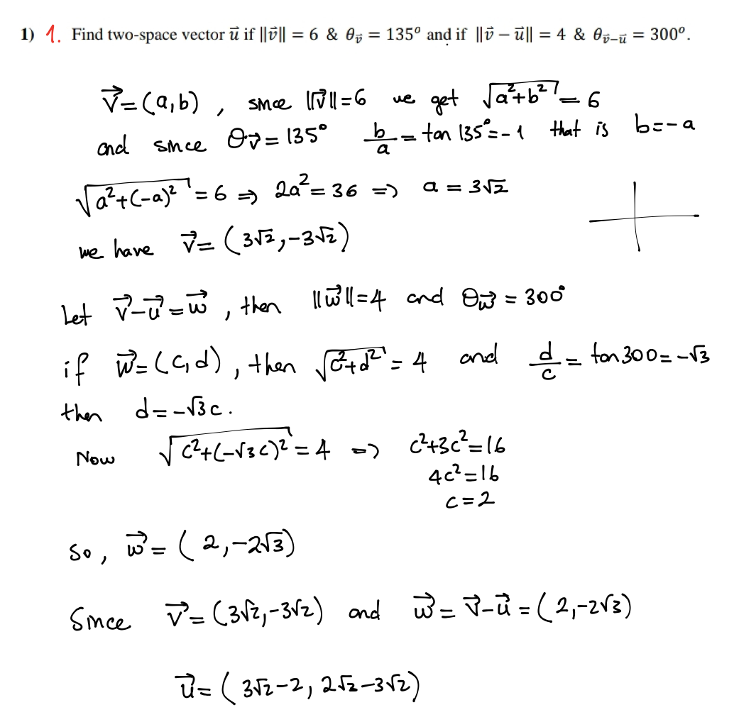
1) Find two-space vector u if |||| = 6 & = 135° and if Ili -...