Subjects
Online Tutoring
Homework Help
Homework Library
Tutors
Online Classes
More
Bookstore
Blog
Technical Tips
FAQ
Contact Us
Get Help Now
Home
Homework Library
Mathematics
Calculus
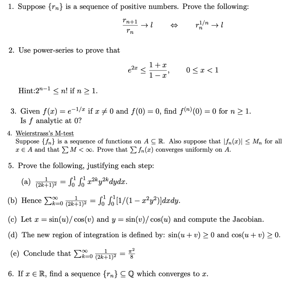
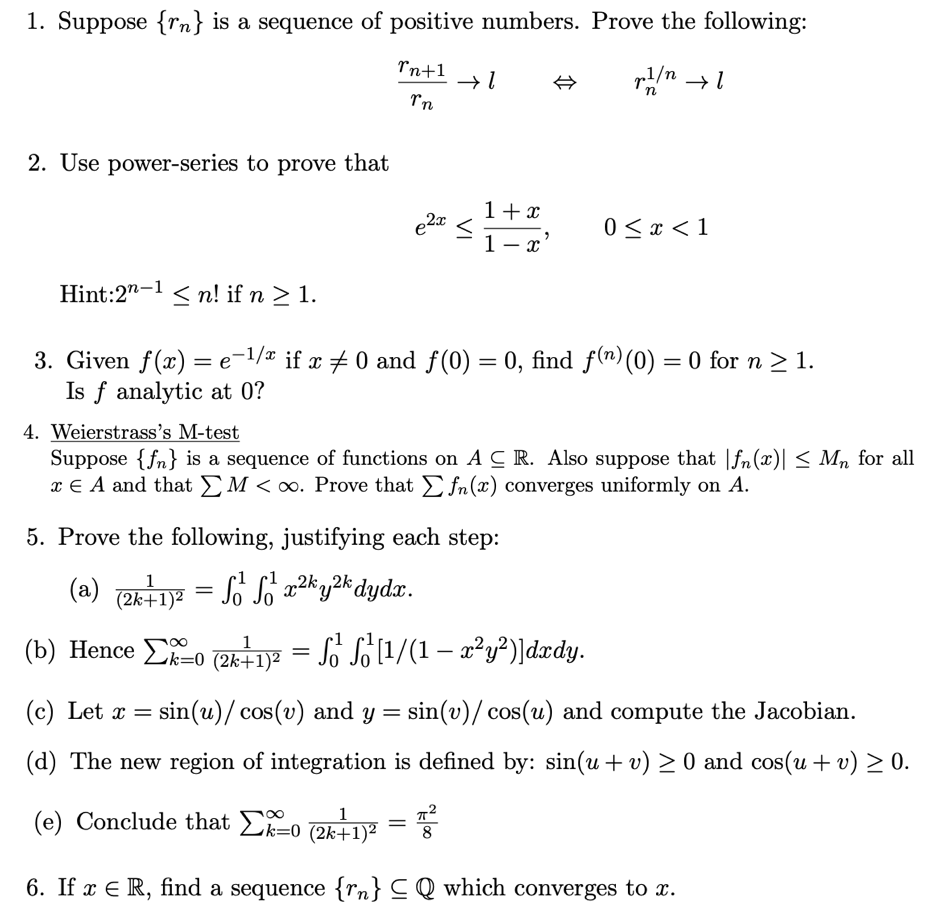
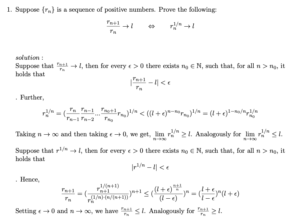
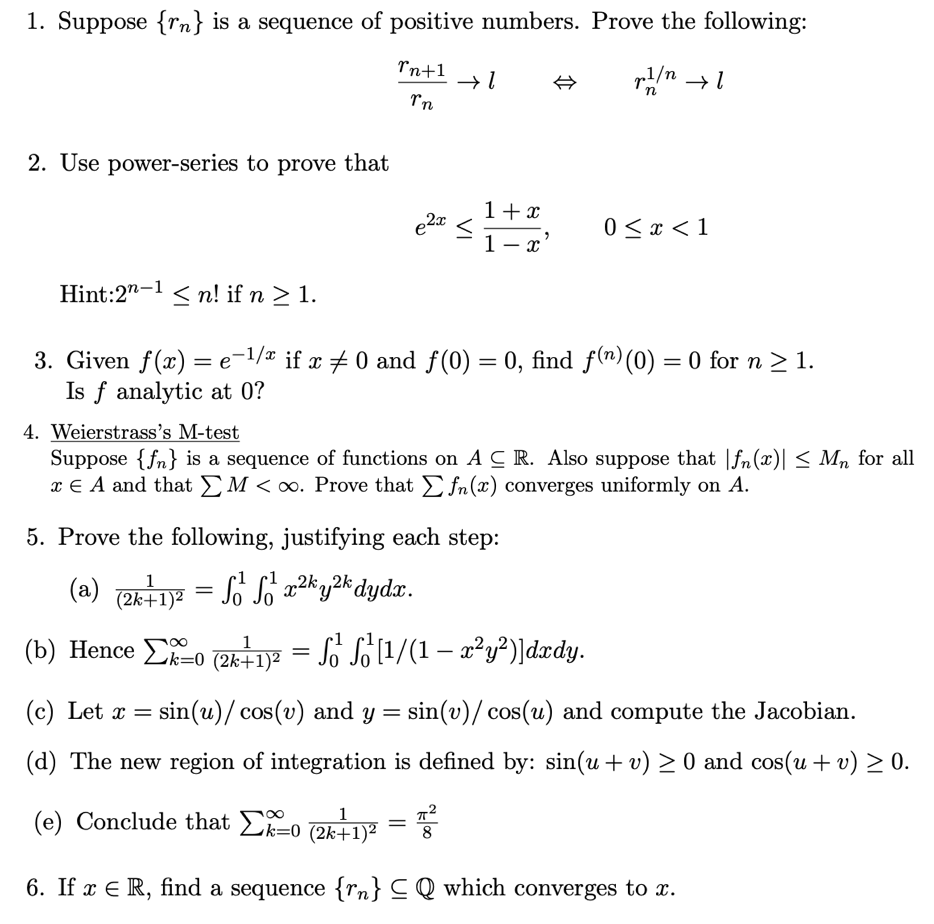
1. Suppose {rn} is a sequence of positive numbers. Prove the follow...
1. Suppose {rn} is a sequence of positive numbers. Prove the follow...