Subjects
Online Tutoring
Homework Help
Homework Library
Tutors
Online Classes
More
Bookstore
Blog
Technical Tips
FAQ
Contact Us
Get Help Now
Home
Homework Library
Mathematics
Calculus
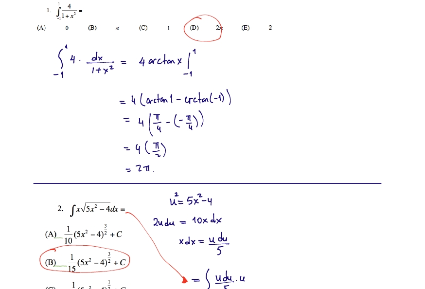
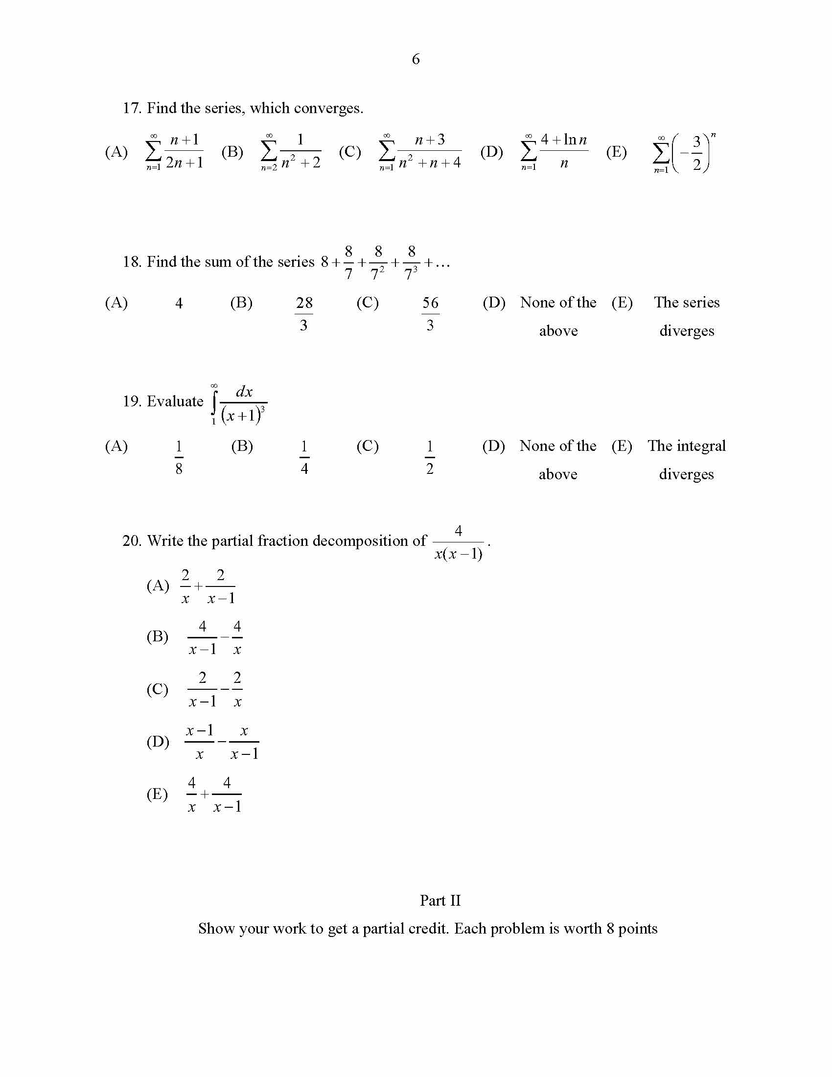
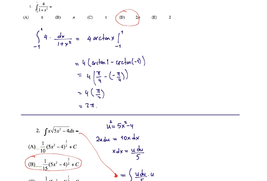
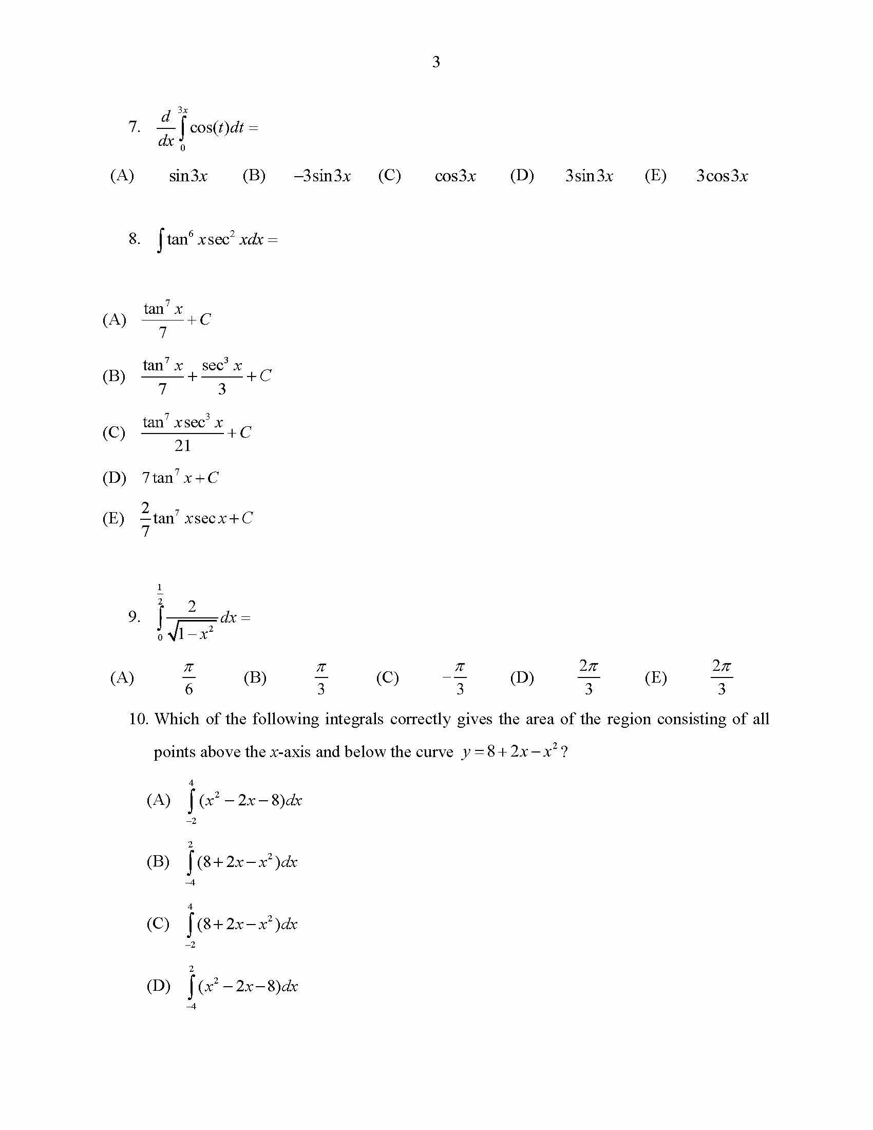
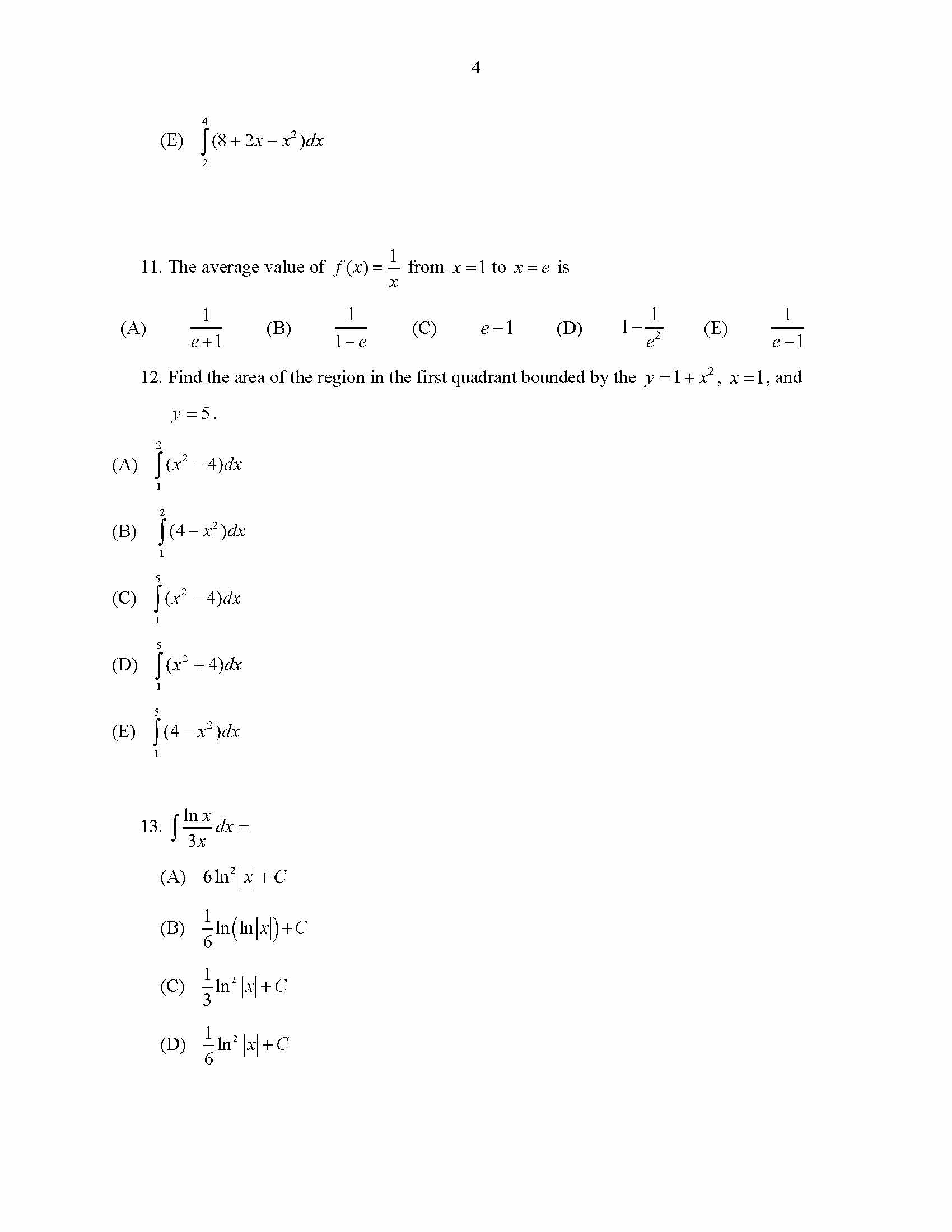
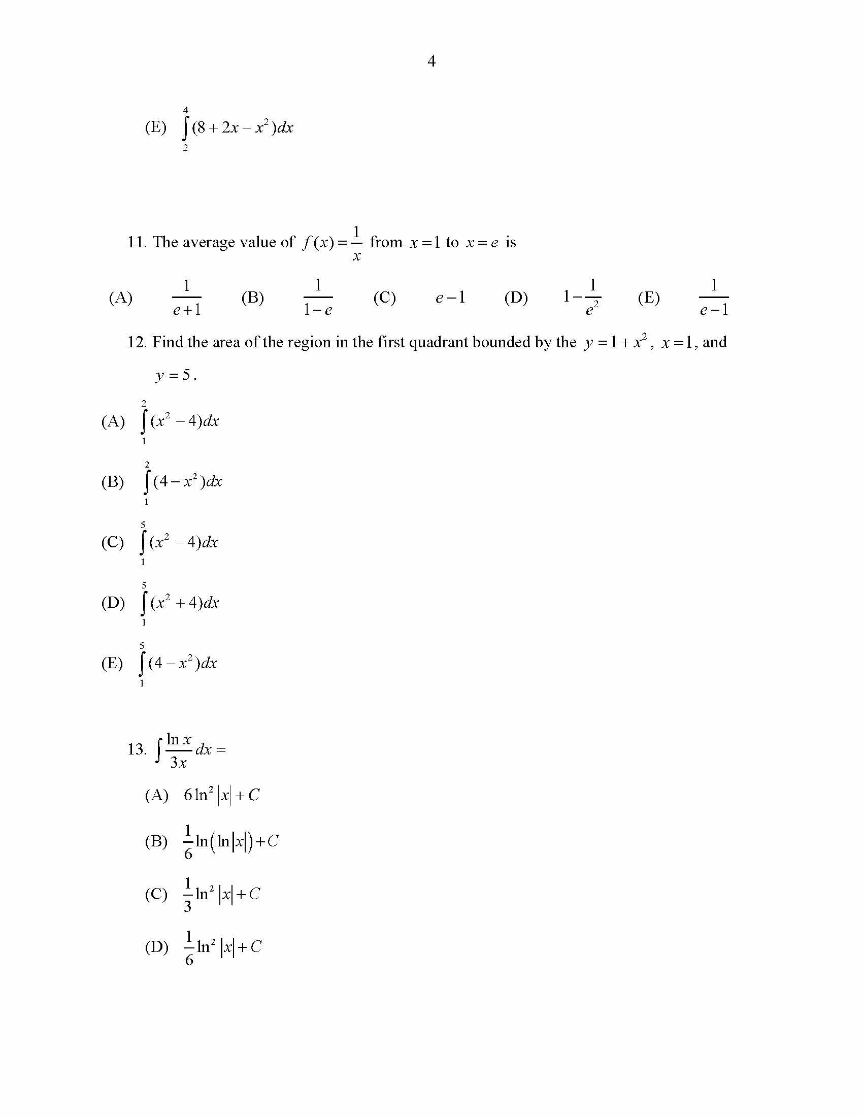
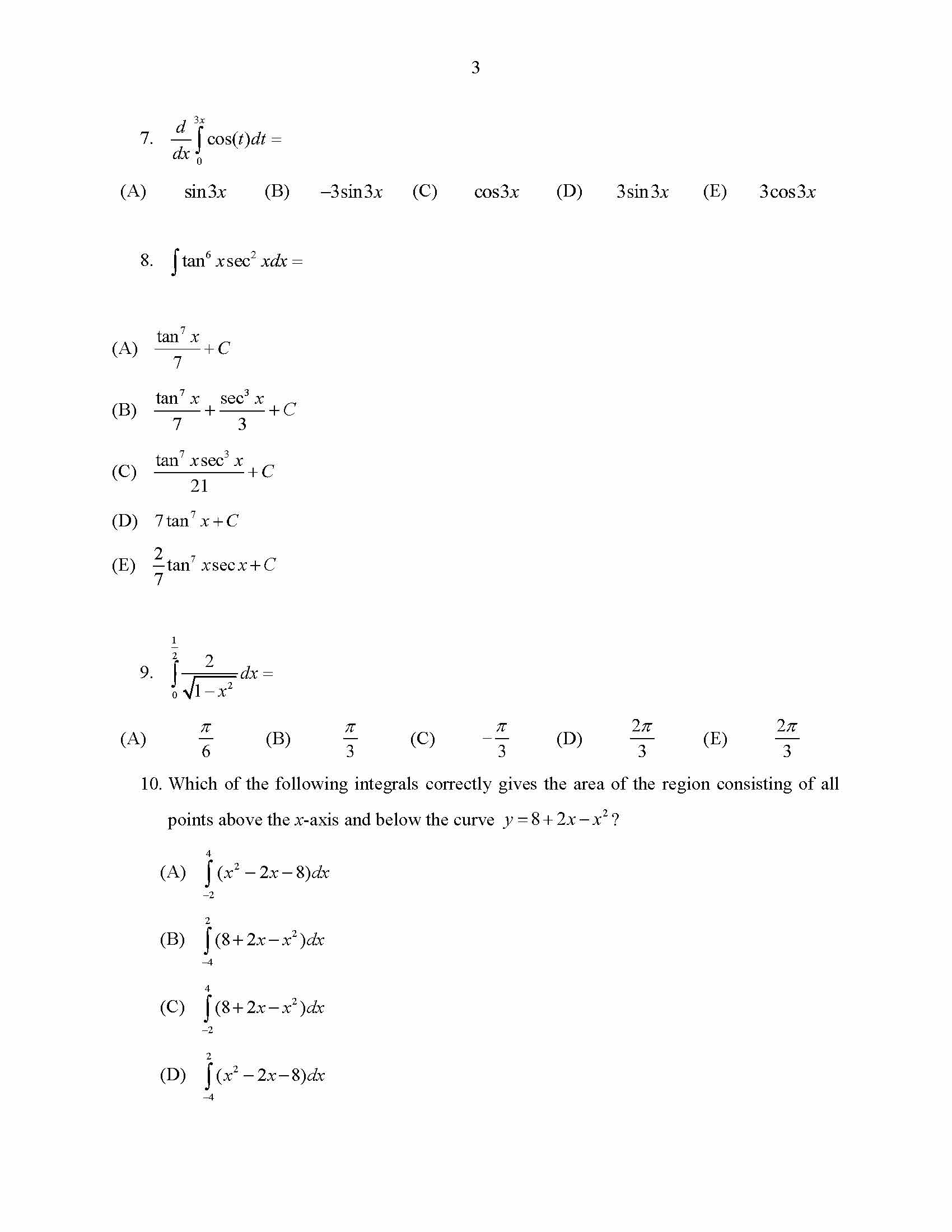
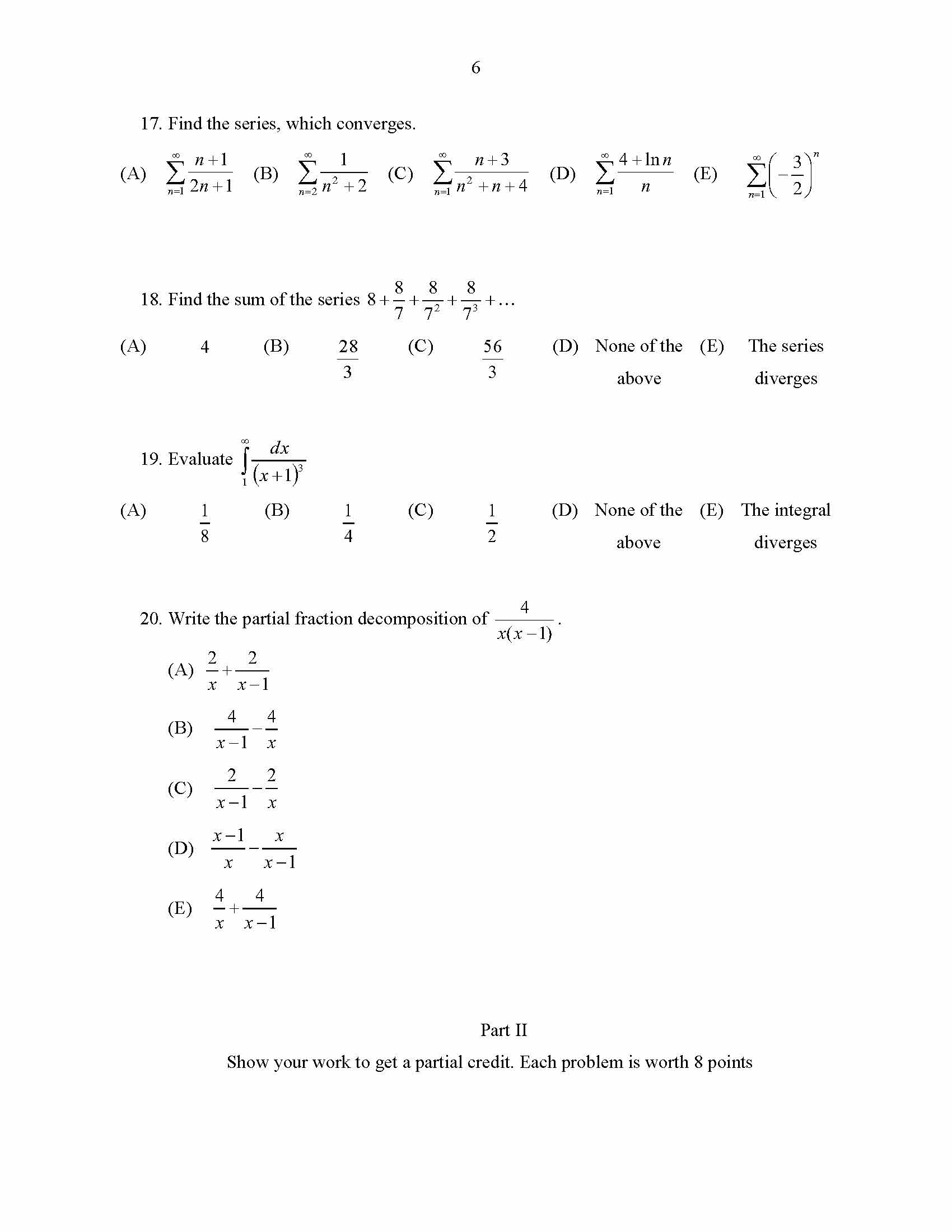
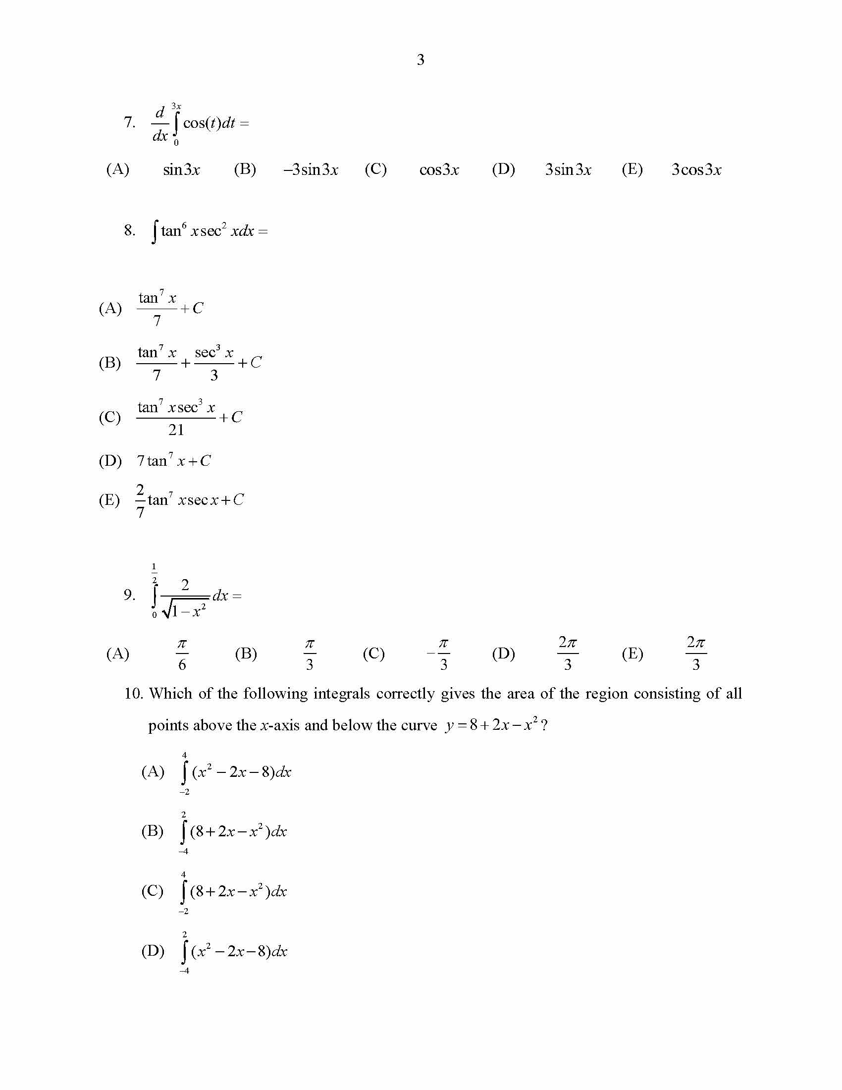
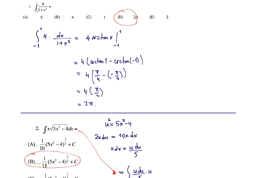
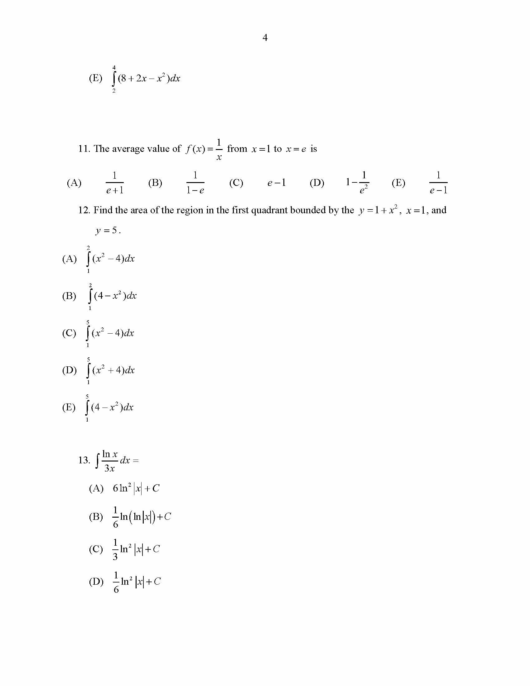
14 1. 1x2  2. x 5x2 ï€4dx 1...
14 1. 1x2  2. x 5x2 ï€4dx 13 10 15 (5x2 ï€4)2...