Subjects
Online Tutoring
Homework Help
Homework Library
Tutors
More
Bookstore
Blog
Technical Tips
FAQ
Contact Us
Get Help Now
Home
Homework Library
Mathematics
Calculus
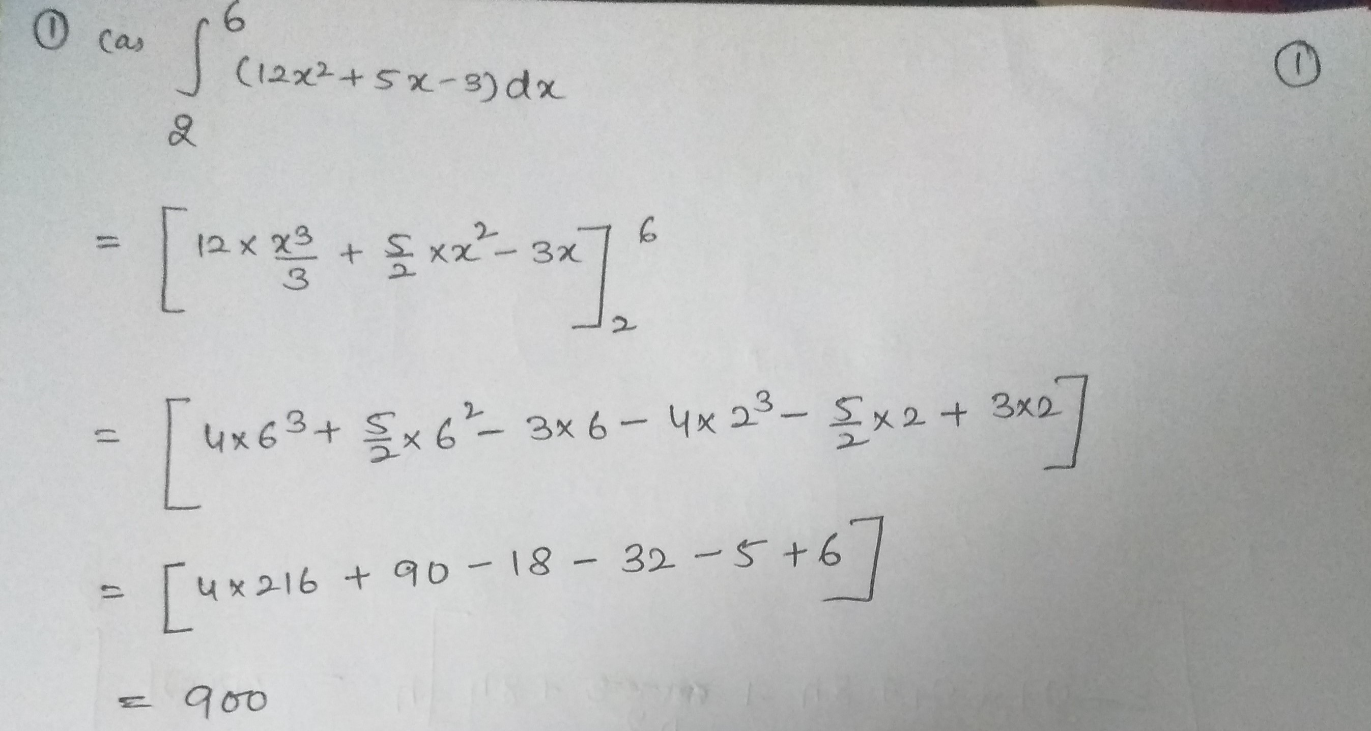
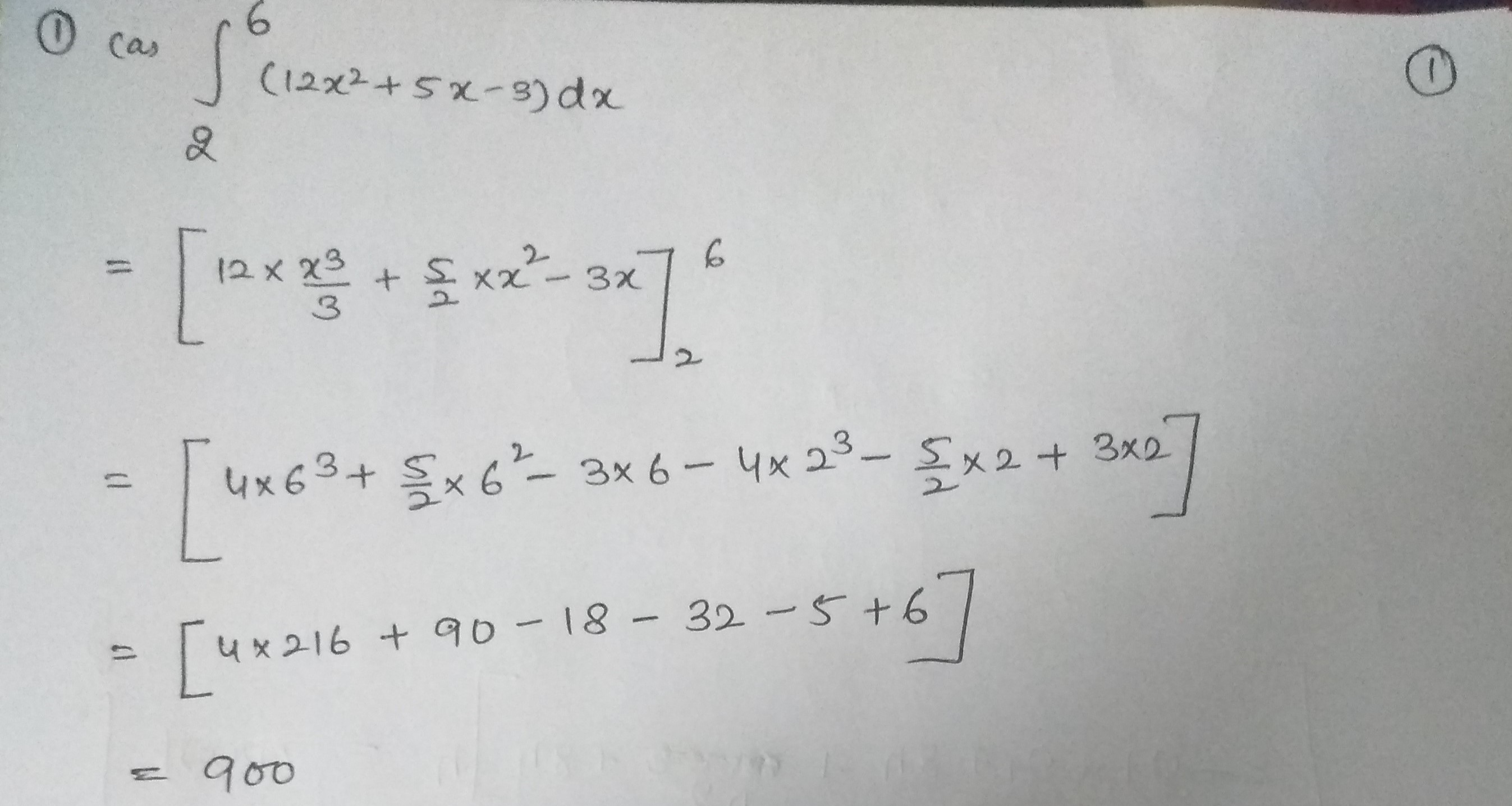
6 1. Evaluate f(12x2 + 5x -3) - dx in two ways. 2 a) Evaluating...
6 1. Evaluate f(12x2 + 5x -3) - dx in two ways. 2 a) Evaluating...