Subjects
Online Tutoring
Homework Help
Homework Library
Tutors
More
Bookstore
Blog
Technical Tips
FAQ
Contact Us
Get Help Now
Home
Homework Library
Mathematics
Calculus
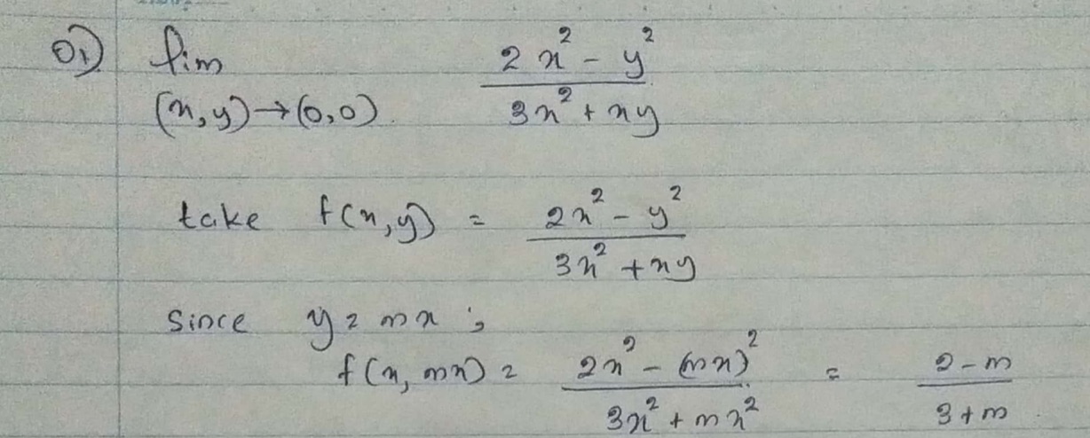
1. Use the substitution y = my to show that the limit lim does not ...
1. Use the substitution y = my to show that the limit lim does not...