Subjects
Online Tutoring
Homework Help
Homework Library
Tutors
Online Classes
More
Bookstore
Blog
Technical Tips
FAQ
Contact Us
Get Help Now
Home
Homework Library
Mathematics
Calculus
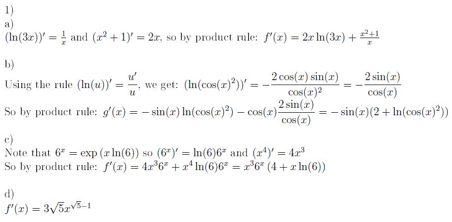
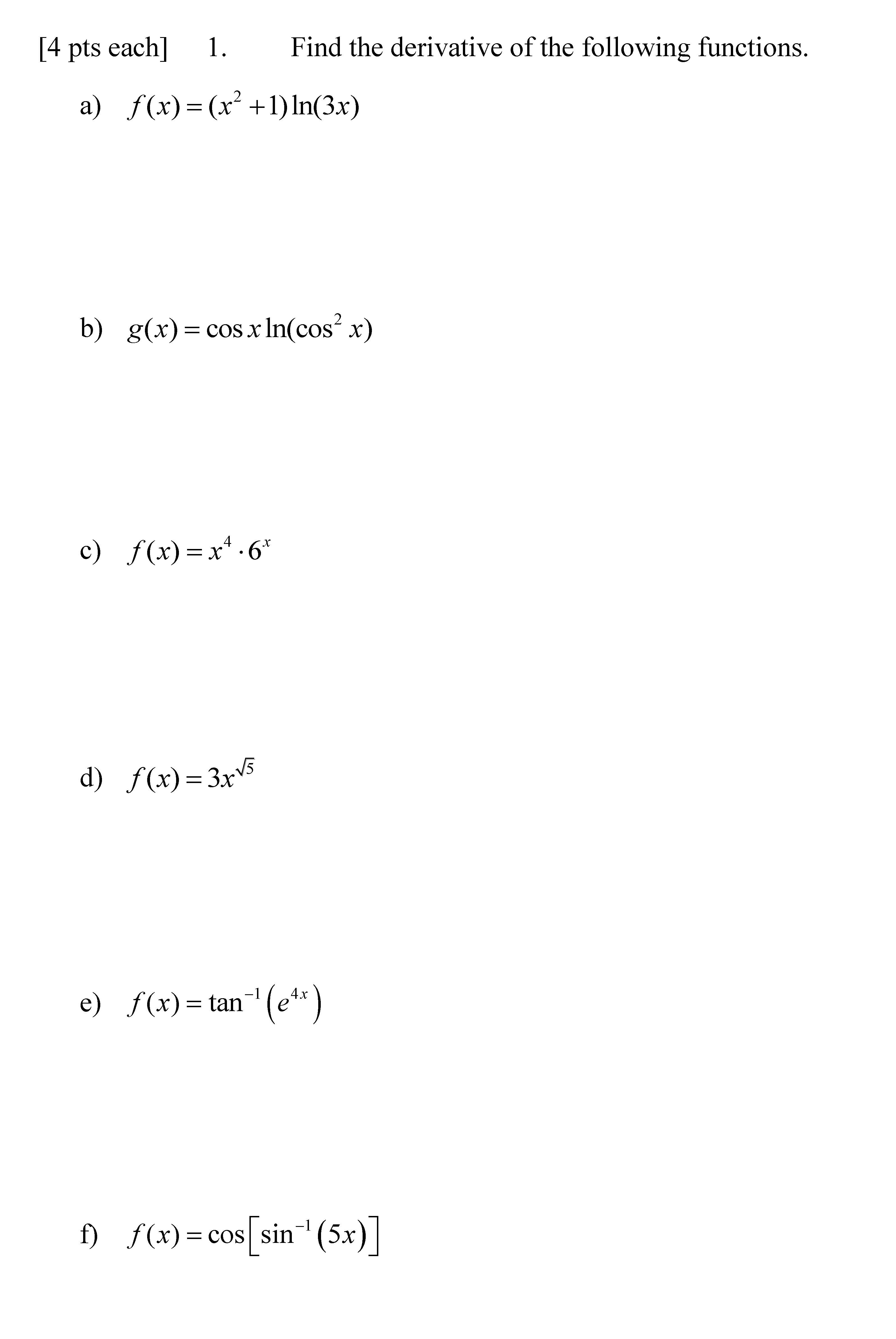
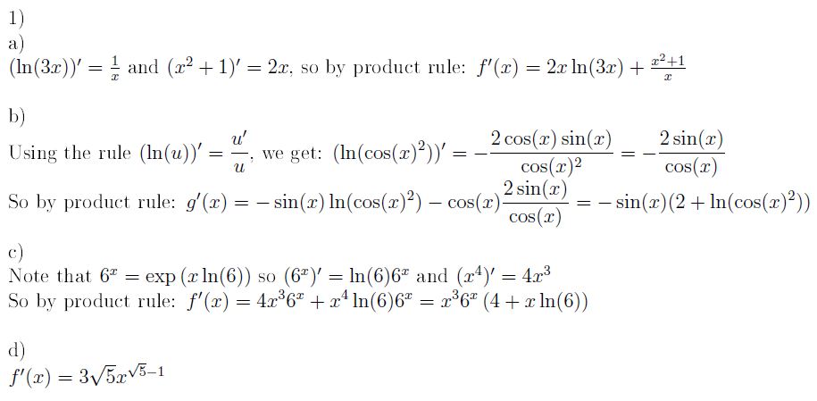
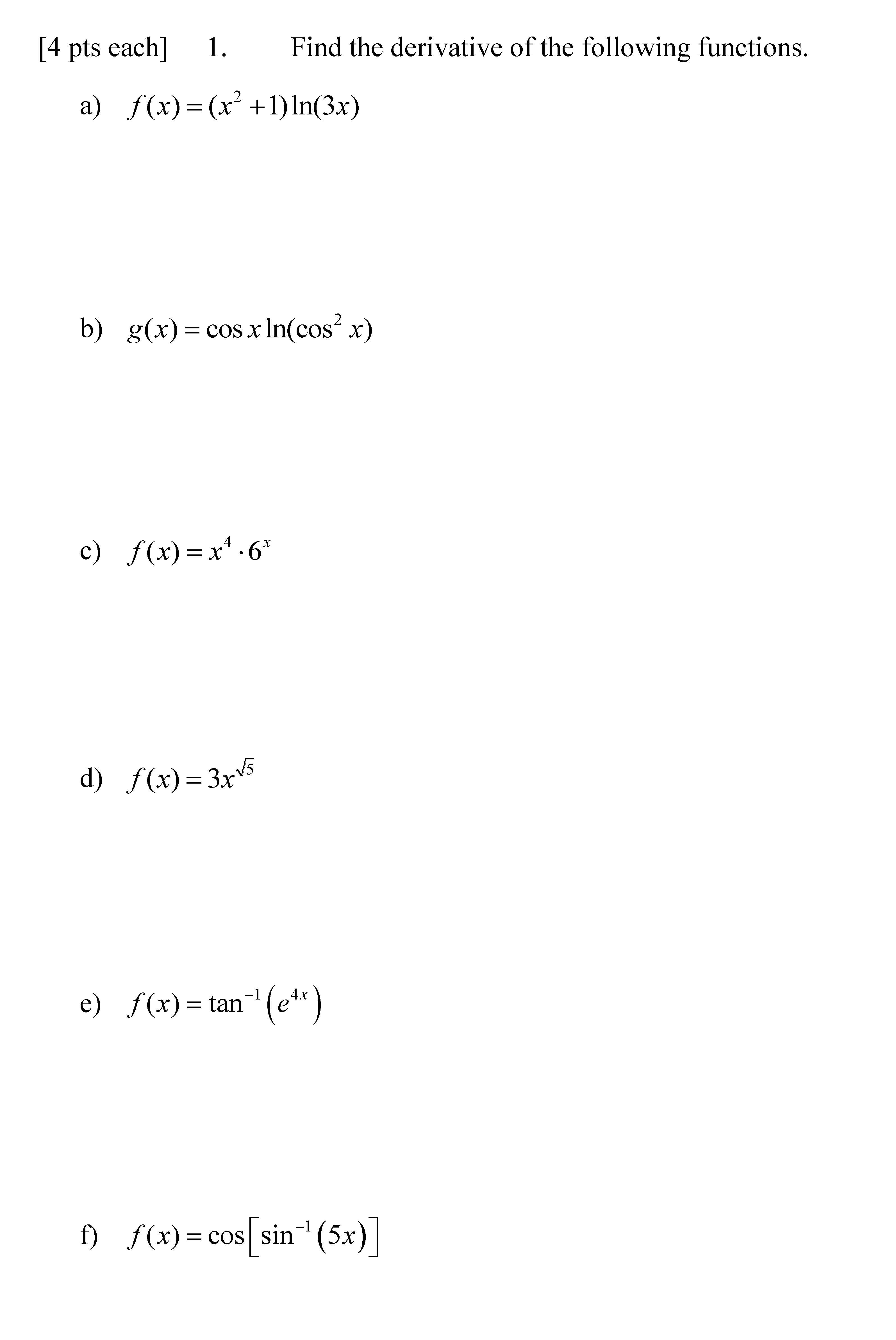
[4 pts each] 1. Find the derivative of the following functions. ...
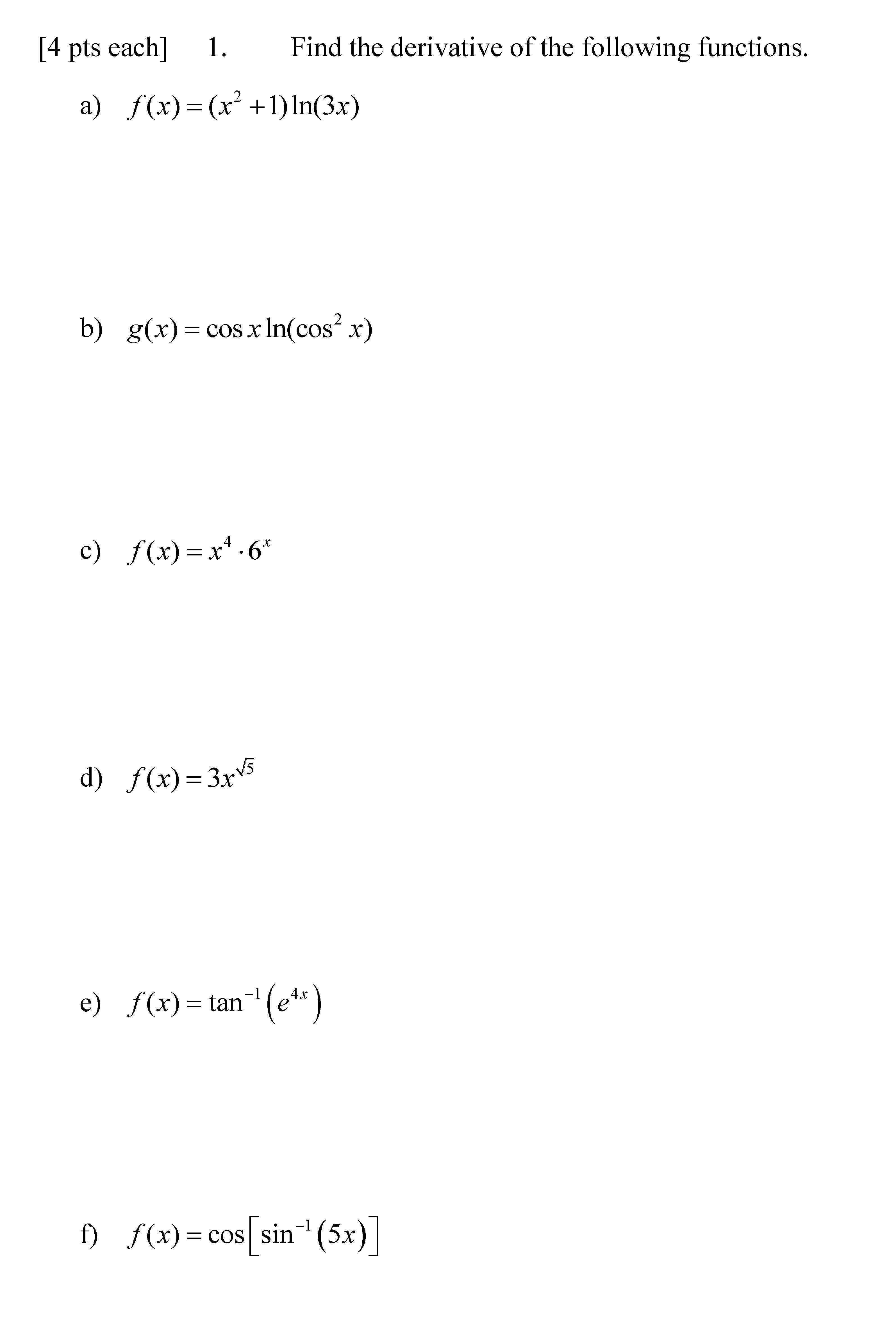
[4 pts each] 1. Find the derivative of the following functions....