Subjects
Online Tutoring
Homework Help
Homework Library
Tutors
More
Bookstore
Blog
Technical Tips
FAQ
Contact Us
Get Help Now
Home
Homework Library
Mathematics
Calculus
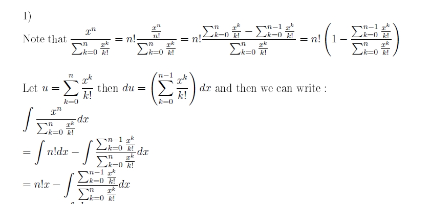
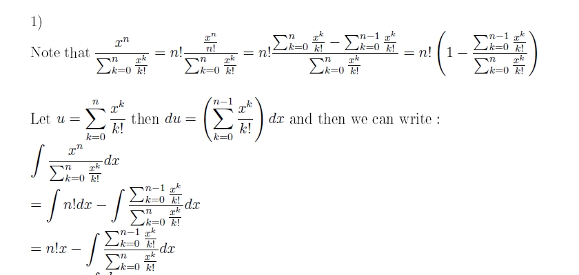
Calculus 1. For a positive integer n. compute 1 . + 2! + + not ...
Calculus 1. For a positive integer n. compute 1 . + 2! + + not...