Subjects
Online Tutoring
Homework Help
Homework Library
Tutors
Online Classes
More
Bookstore
Blog
Technical Tips
FAQ
Contact Us
Get Help Now
Home
Homework Library
Mathematics
Calculus
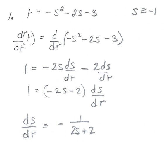
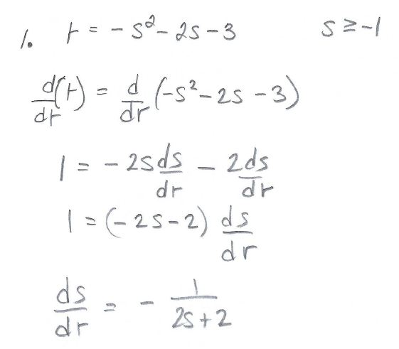
1) Suppose r = -32 - 2s 3 with 8 -1. Find ds/dr when 8 = 0 in two w...
1) Suppose r = -32 - 2s 3 with 8 -1. Find ds/dr when 8 = 0 in two w...