Subjects
Online Tutoring
Homework Help
Homework Library
Tutors
Online Classes
More
Bookstore
Blog
Technical Tips
FAQ
Contact Us
Get Help Now
Home
Homework Library
Mathematics
Calculus
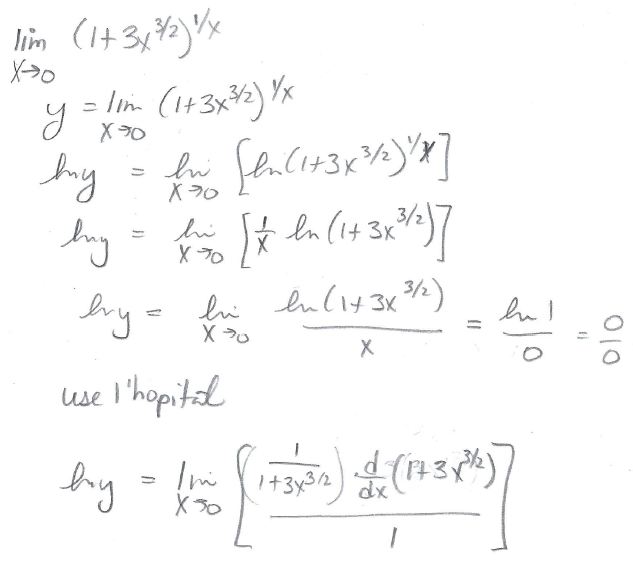
In the limits below, one is 1, one is 00, and one is a non zero rea...
In the limits below, one is 1, one is 00, and one is a non zero rea...