Subjects
Online Tutoring
Homework Help
Homework Library
Tutors
Online Classes
More
Bookstore
Blog
Technical Tips
FAQ
Contact Us
Get Help Now
Home
Homework Library
Mathematics
Calculus
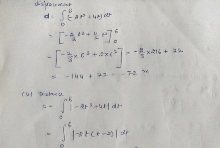
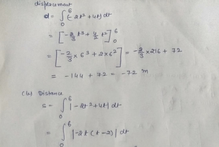
1.) Suppose a particle is moving with velocity: v(t) = -2t²+4t m...
1.) Suppose a particle is moving with velocity: v(t) = -2t²+4t m/s...