Subjects
Online Tutoring
Homework Help
Homework Library
Tutors
Online Classes
More
Bookstore
Blog
Technical Tips
FAQ
Contact Us
Get Help Now
Home
Homework Library
Mathematics
Calculus
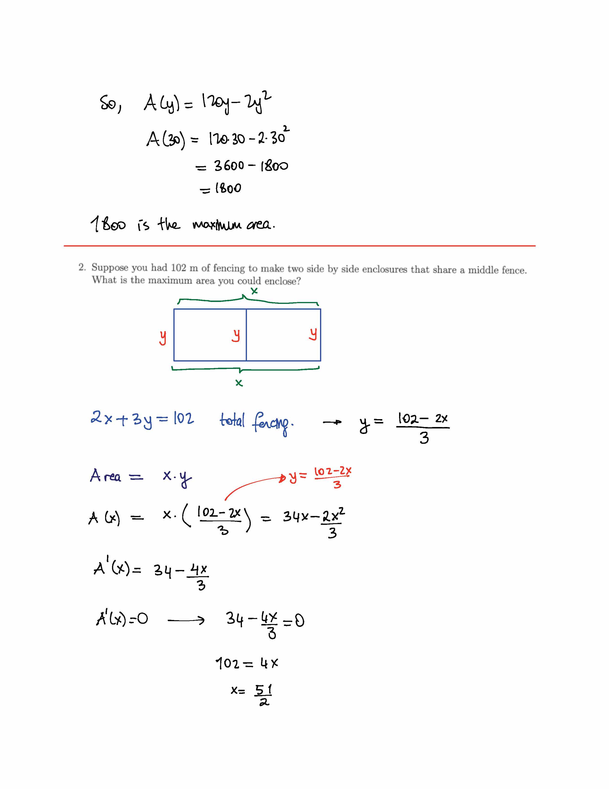
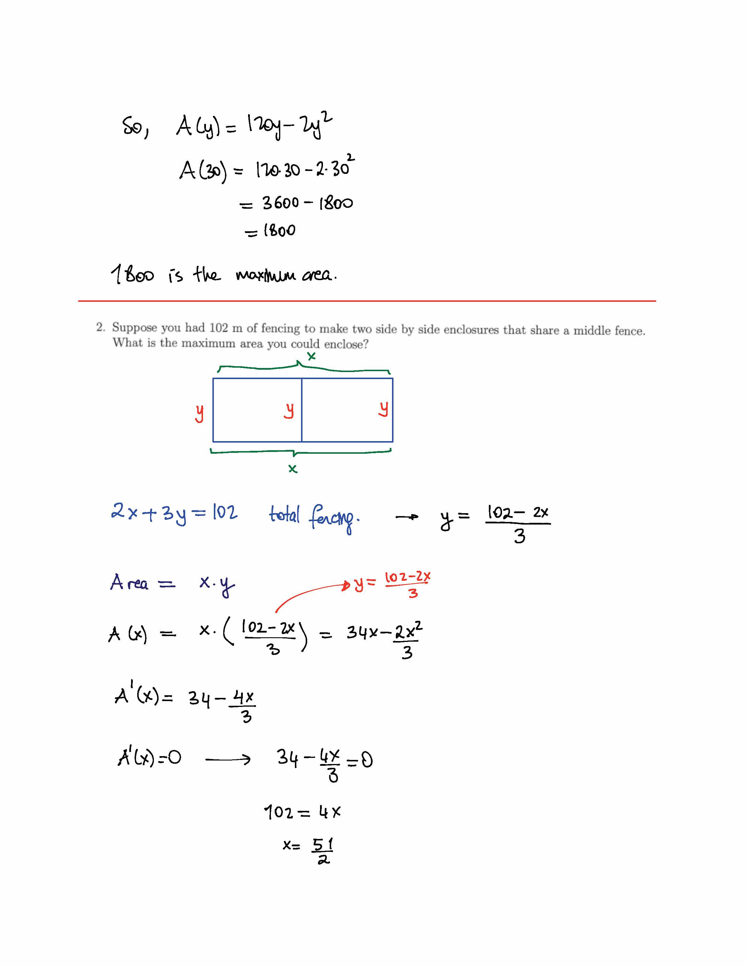
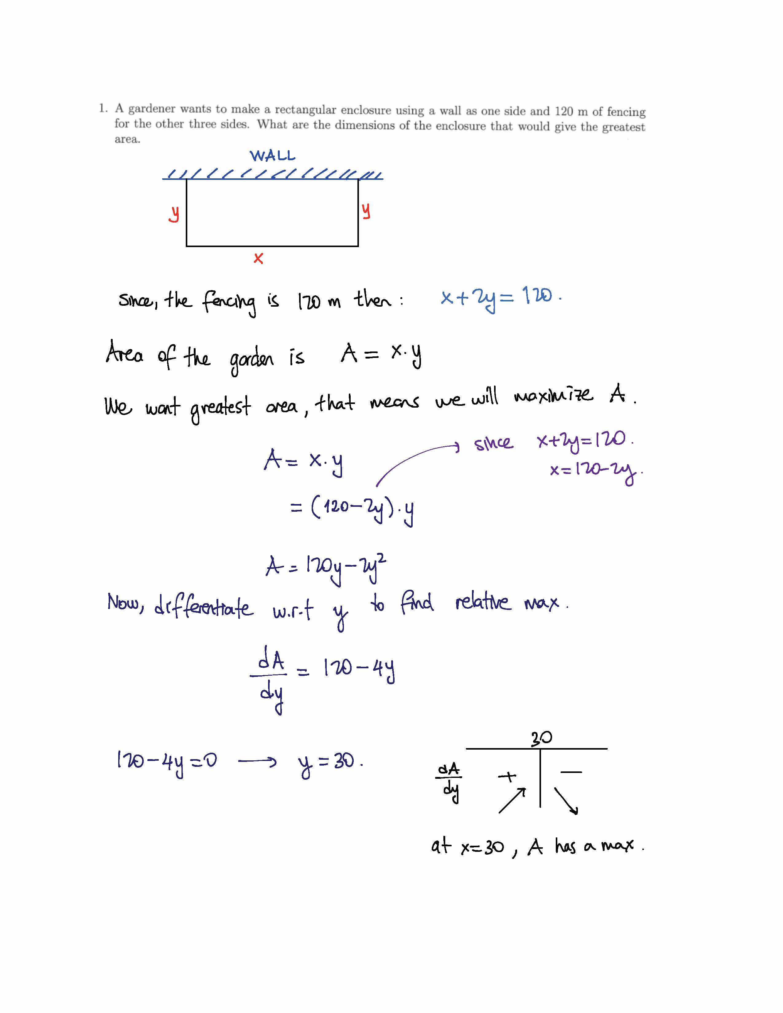
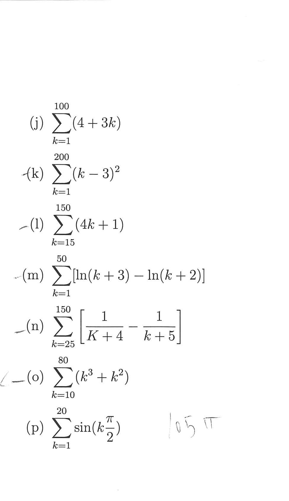
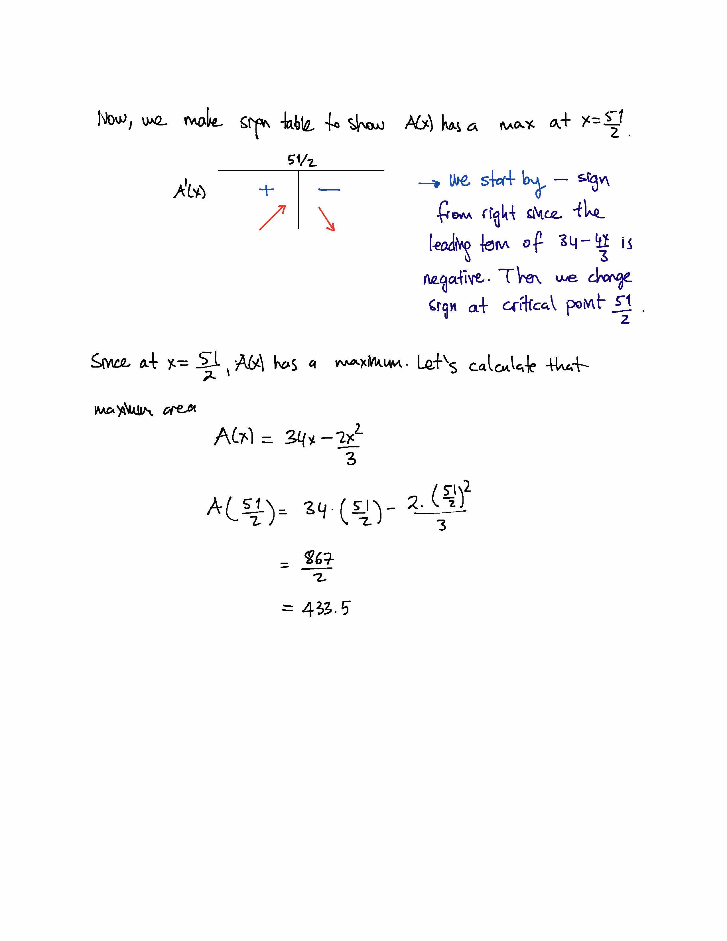
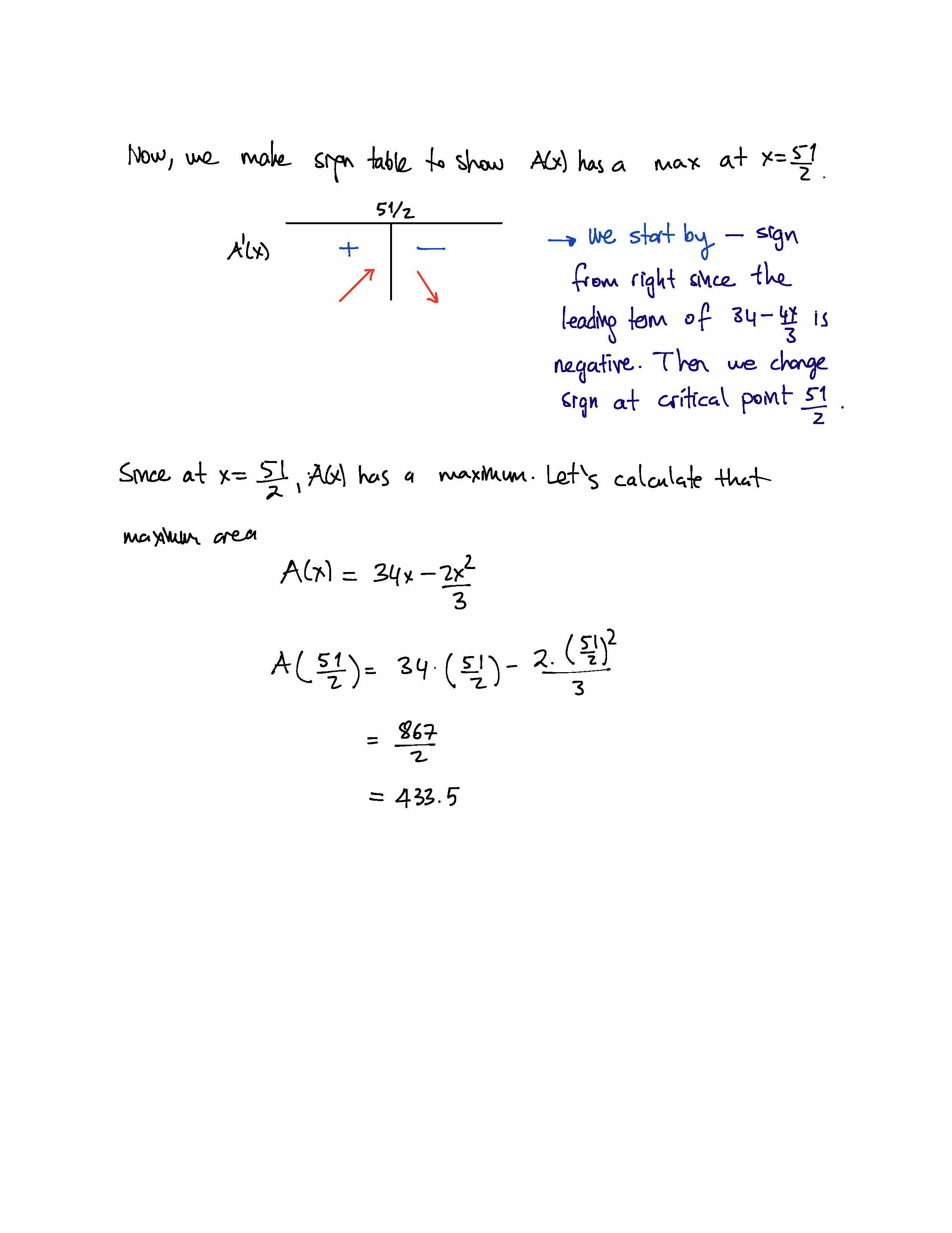
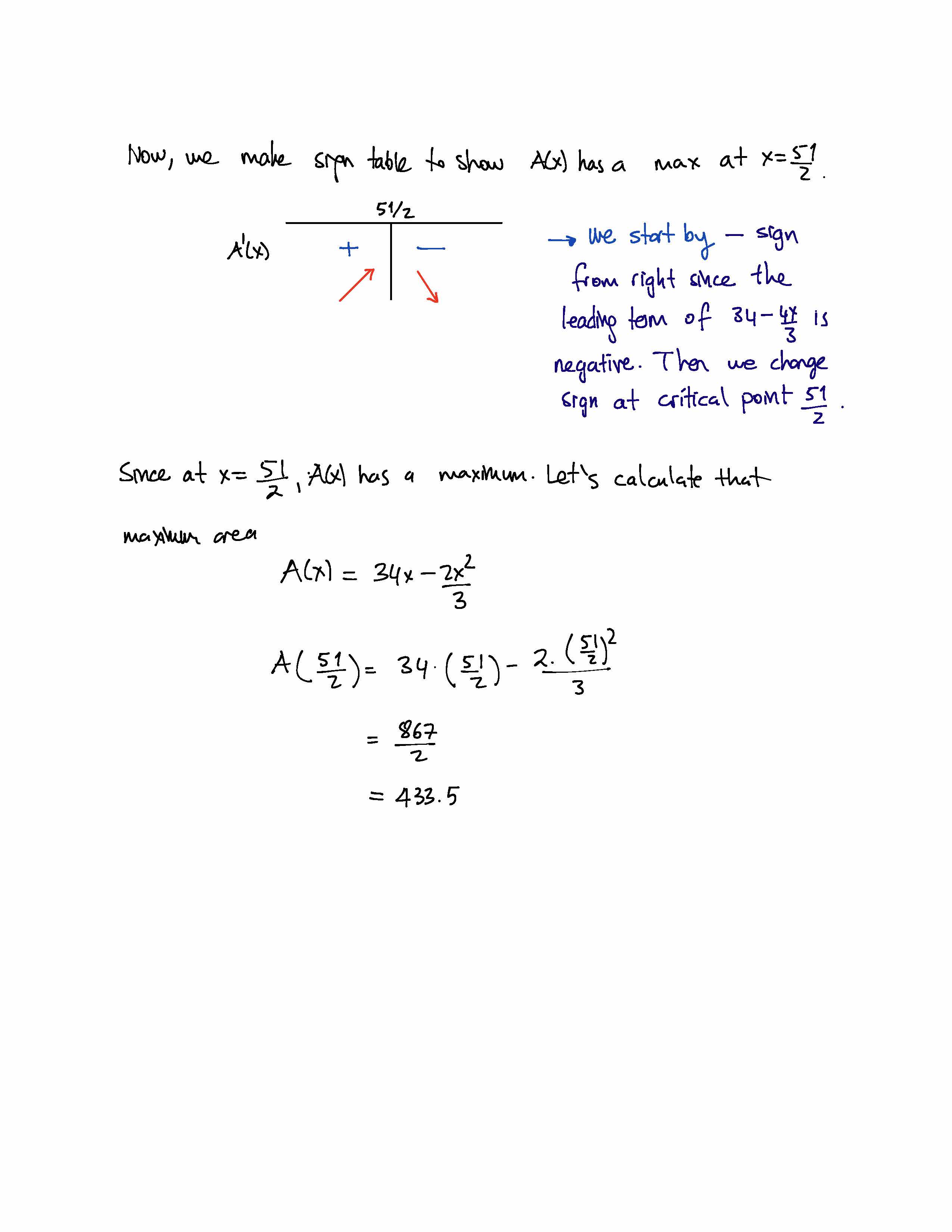
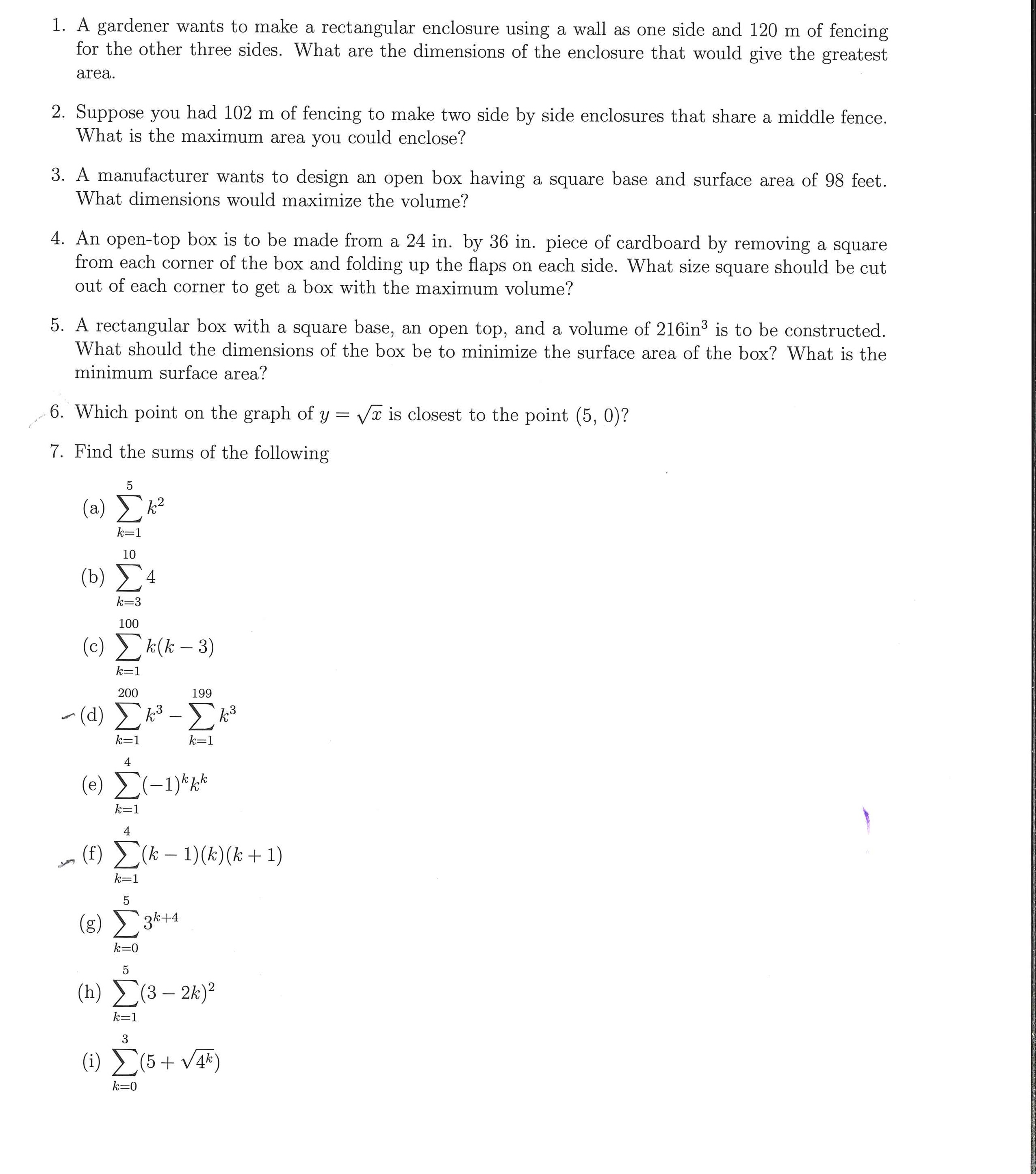
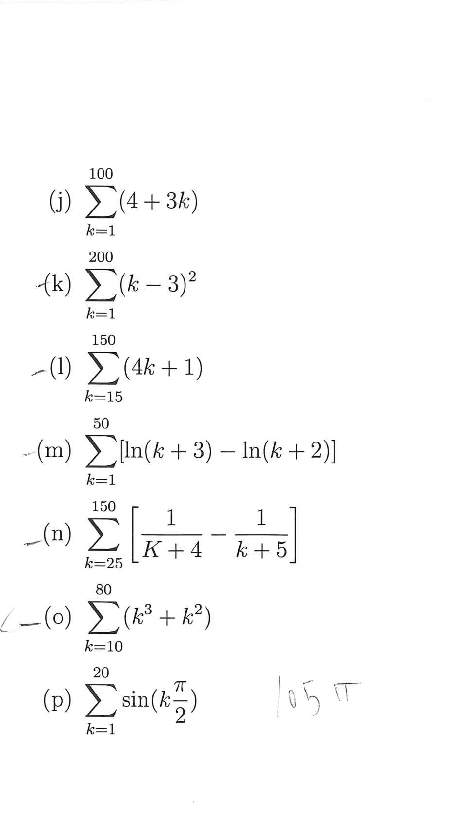
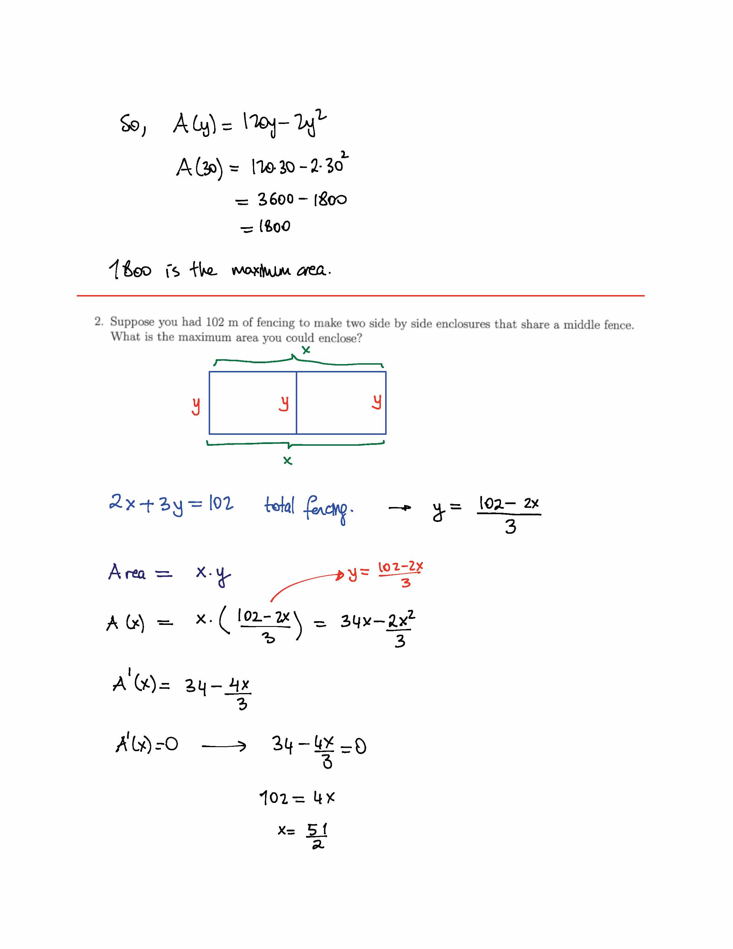
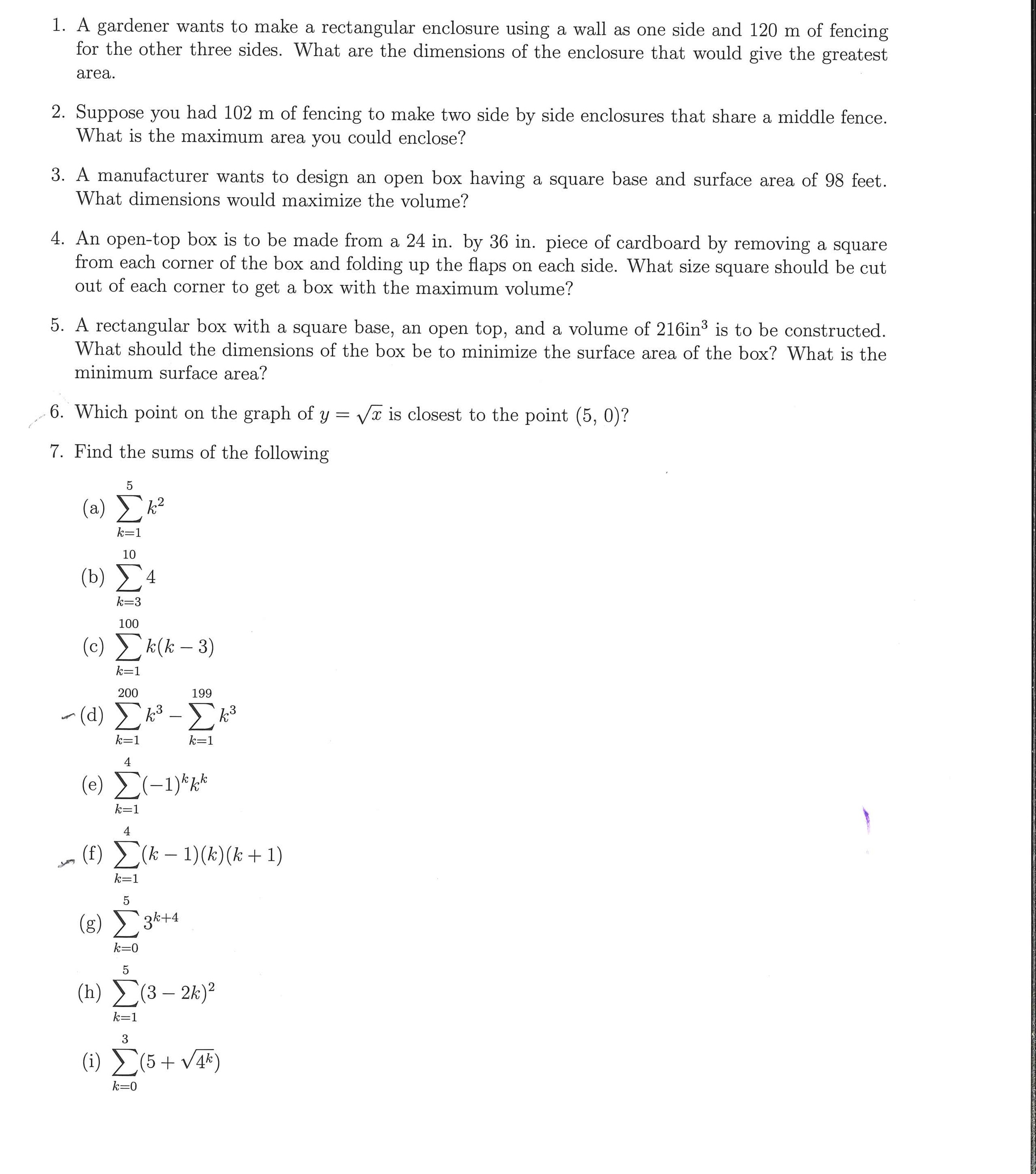
1. A gardener wants to make a rectangular enclosure using a wall as...
1. A gardener wants to make a rectangular enclosure using a wall as...