Subjects
Online Tutoring
Homework Help
Homework Library
Tutors
Online Classes
More
Bookstore
Blog
Technical Tips
FAQ
Contact Us
Get Help Now
Home
Homework Library
Mathematics
Calculus
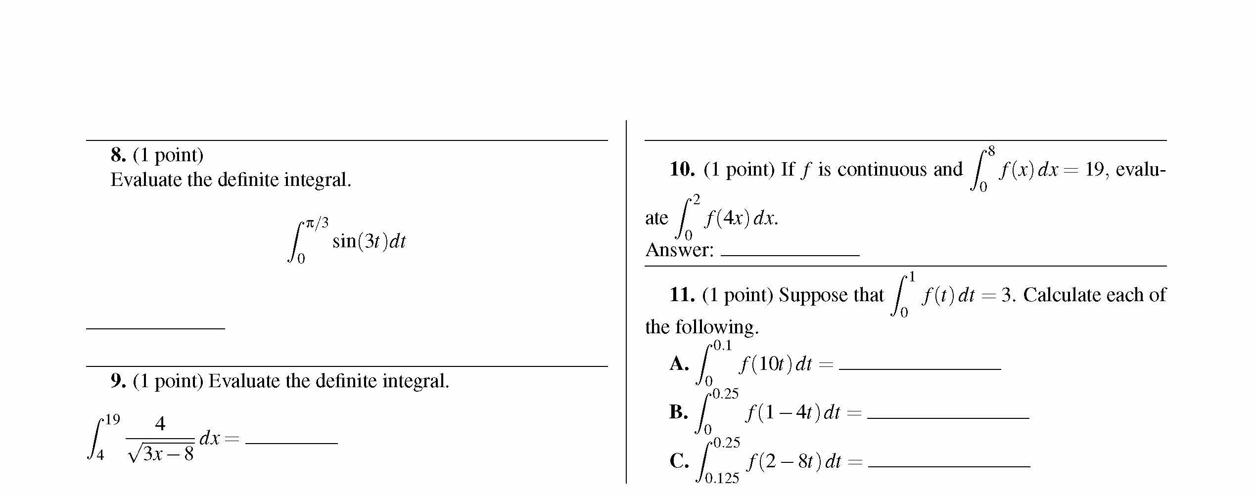
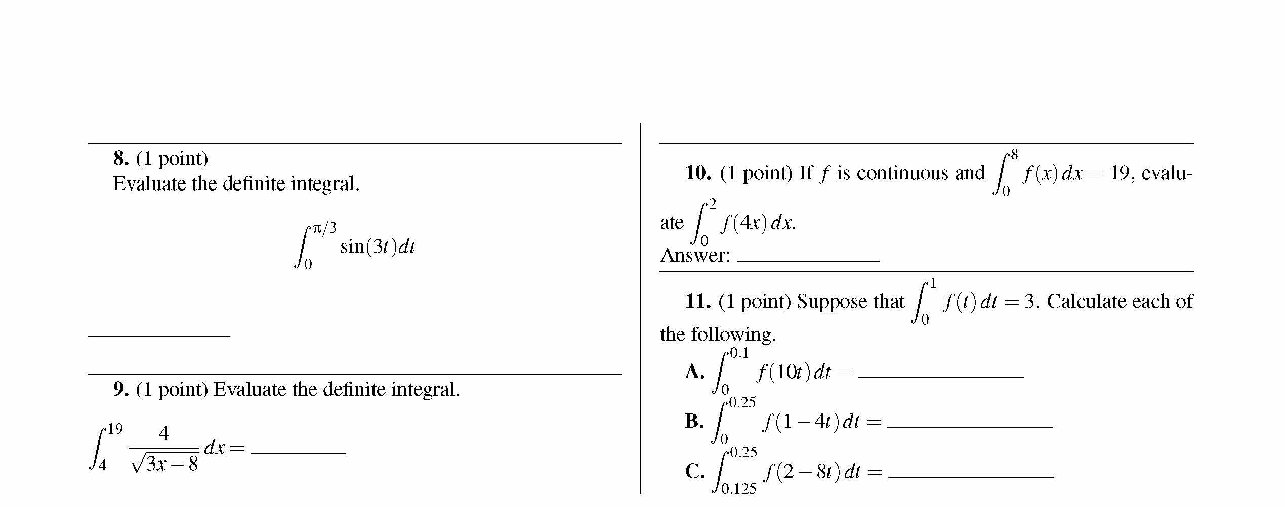
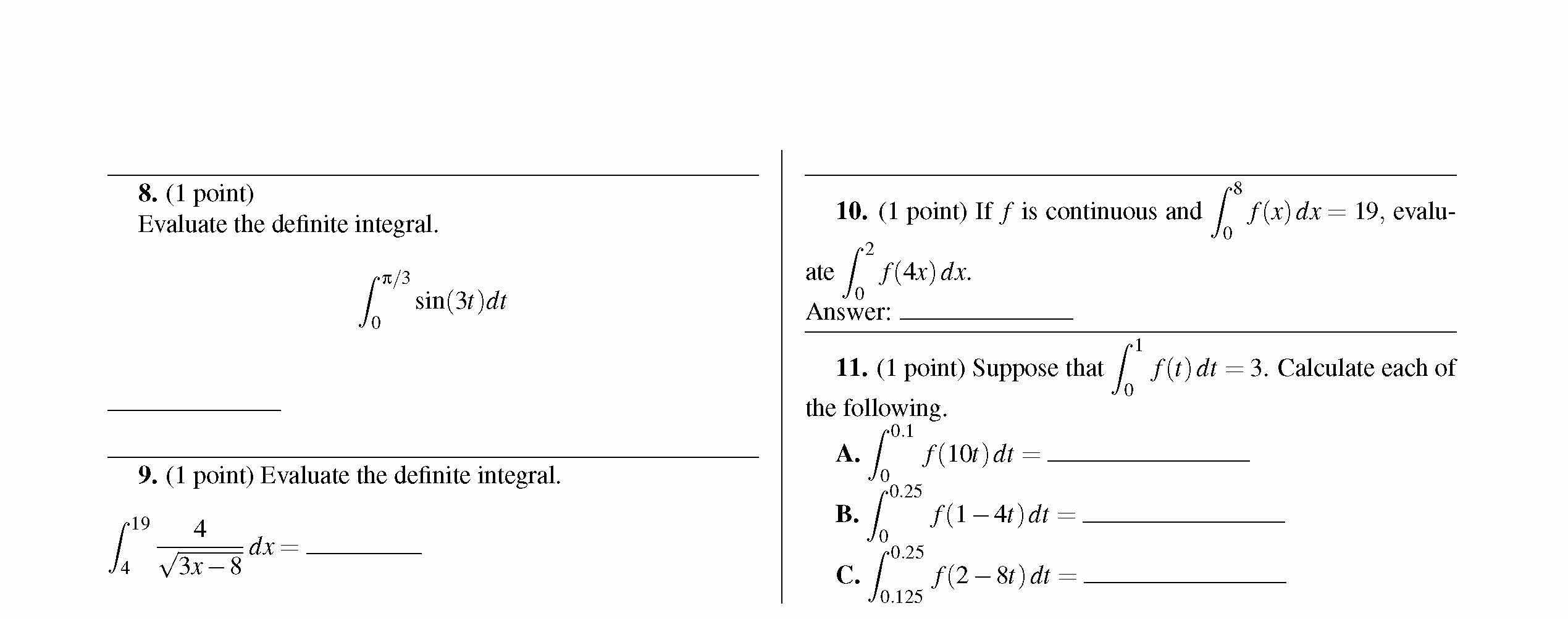
Assignment 2 1. (1 point) Evaluate the integral R cos(5x)dx by ma...
Assignment 2 1. (1 point) Evaluate the integral R cos(5x)dx by ma...