Subjects
Online Tutoring
Homework Help
Homework Library
Tutors
Online Classes
More
Bookstore
Blog
Technical Tips
FAQ
Contact Us
Get Help Now
Home
Homework Library
Mathematics
Calculus
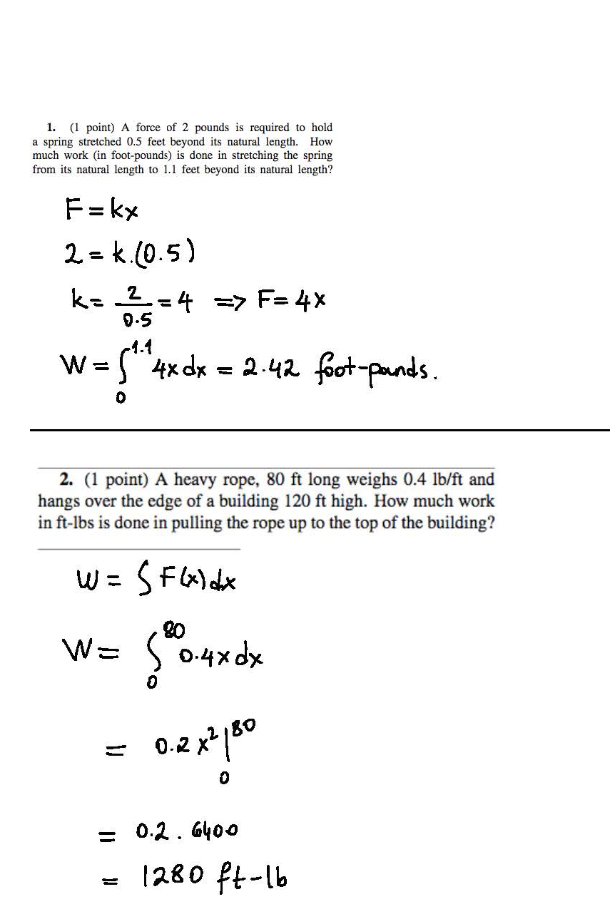
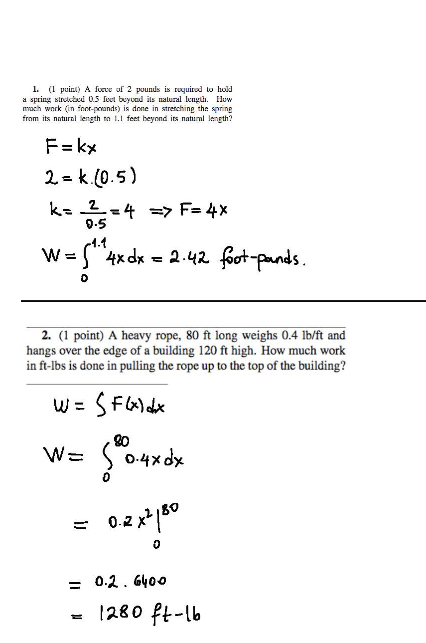
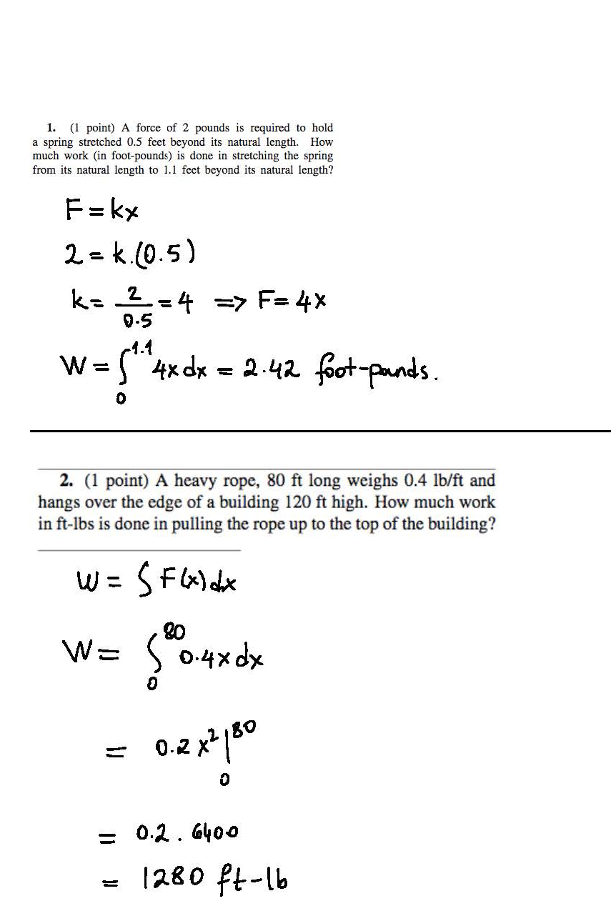
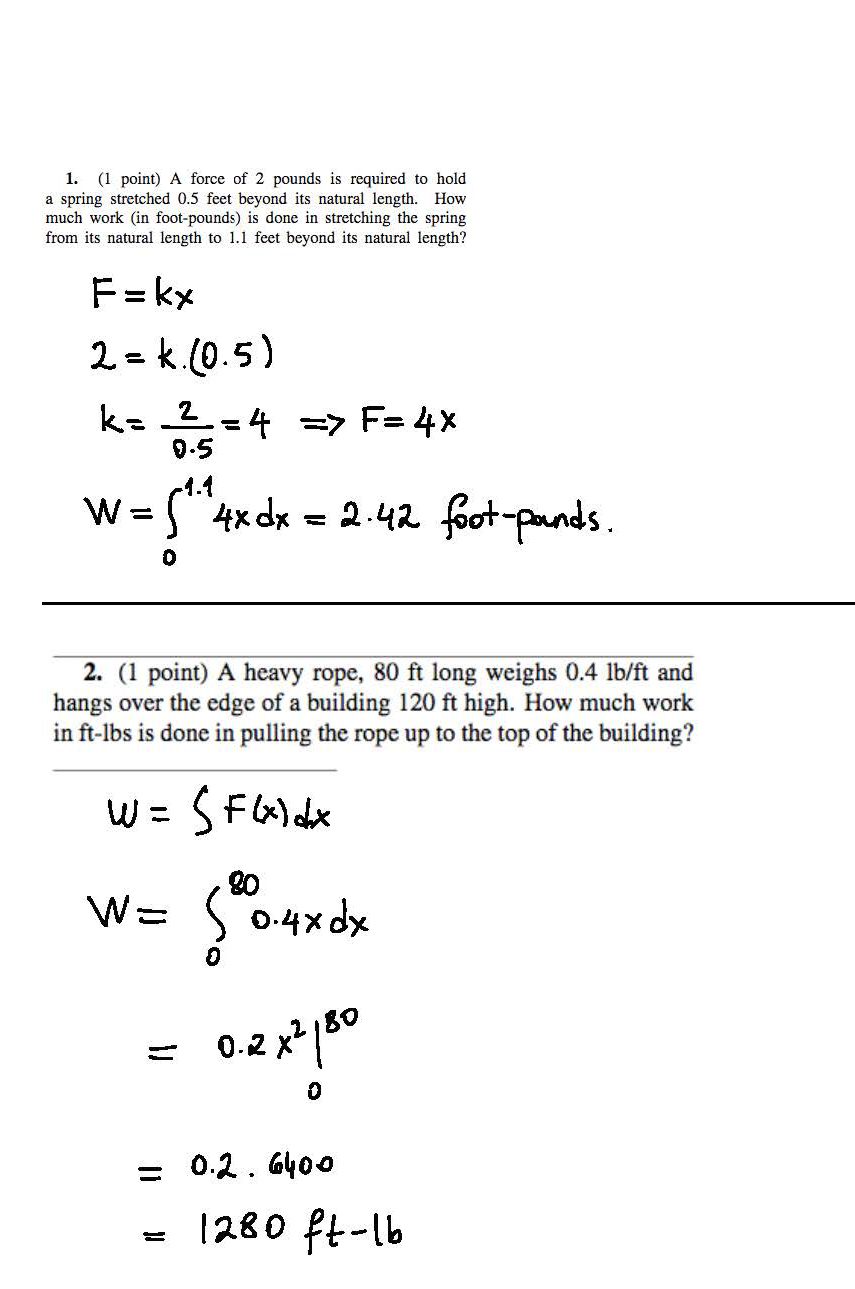
Assignment 7 Volumes of Revolution 1. (1 point) Find the volume of...
Assignment 7 Volumes of Revolution 1. (1 point) Find the volume of...