Subjects
Online Tutoring
Homework Help
Homework Library
Tutors
Online Classes
More
Bookstore
Blog
Technical Tips
FAQ
Contact Us
Get Help Now
Home
Homework Library
Mathematics
Calculus
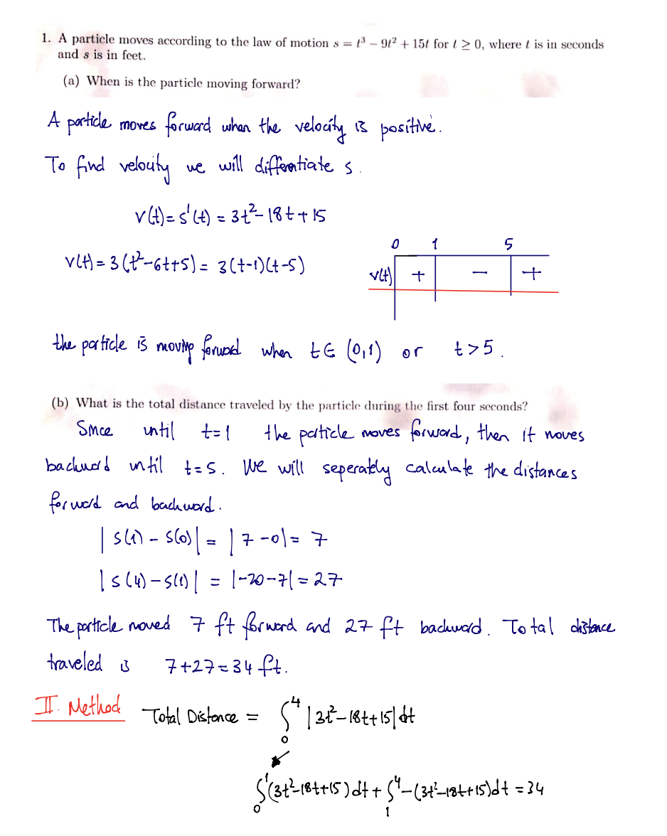
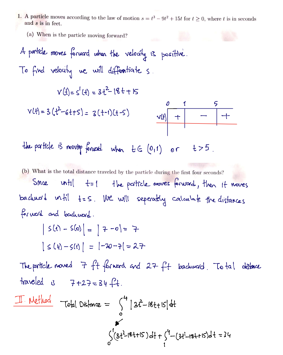
1. A particle moves according to the law of motion + 15t for 1> ...
1. A particle moves according to the law of motion + 15t for 1>...