Subjects
Online Tutoring
Homework Help
Homework Library
Tutors
Online Classes
More
Bookstore
Blog
Technical Tips
FAQ
Contact Us
Get Help Now
Home
Homework Library
Mathematics
Calculus
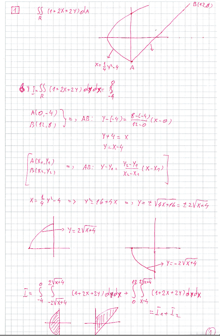
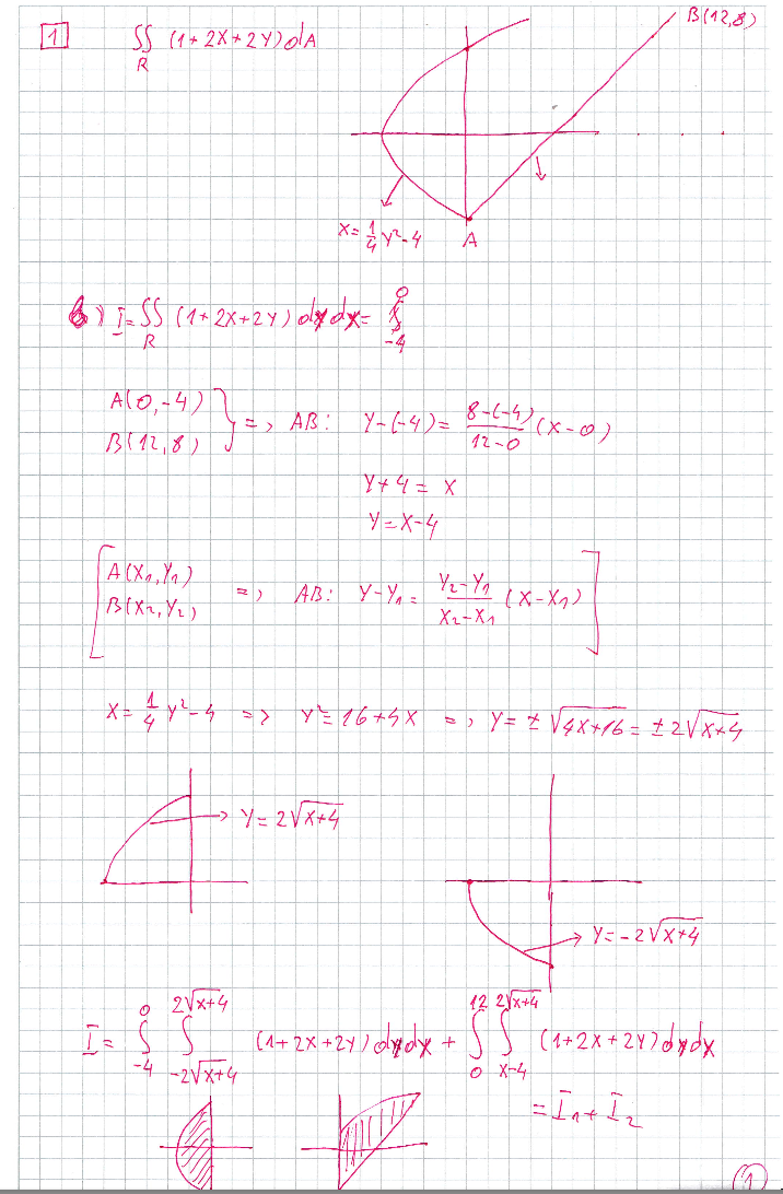
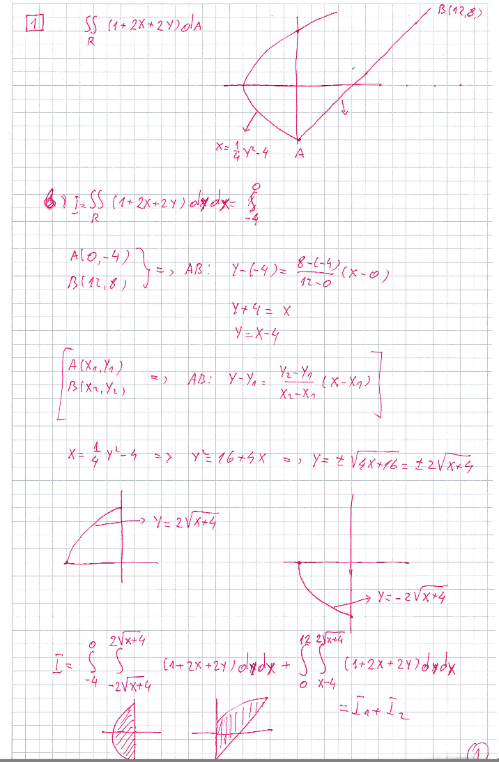
Problem 1: Evaluate dA where R is the region shown below. The cur...
Problem 1: Evaluate dA where R is the region shown below. The cur...