Subjects
Online Tutoring
Homework Help
Homework Library
Tutors
Online Classes
More
Bookstore
Blog
Technical Tips
FAQ
Contact Us
Get Help Now
Home
Homework Library
Mathematics
Calculus
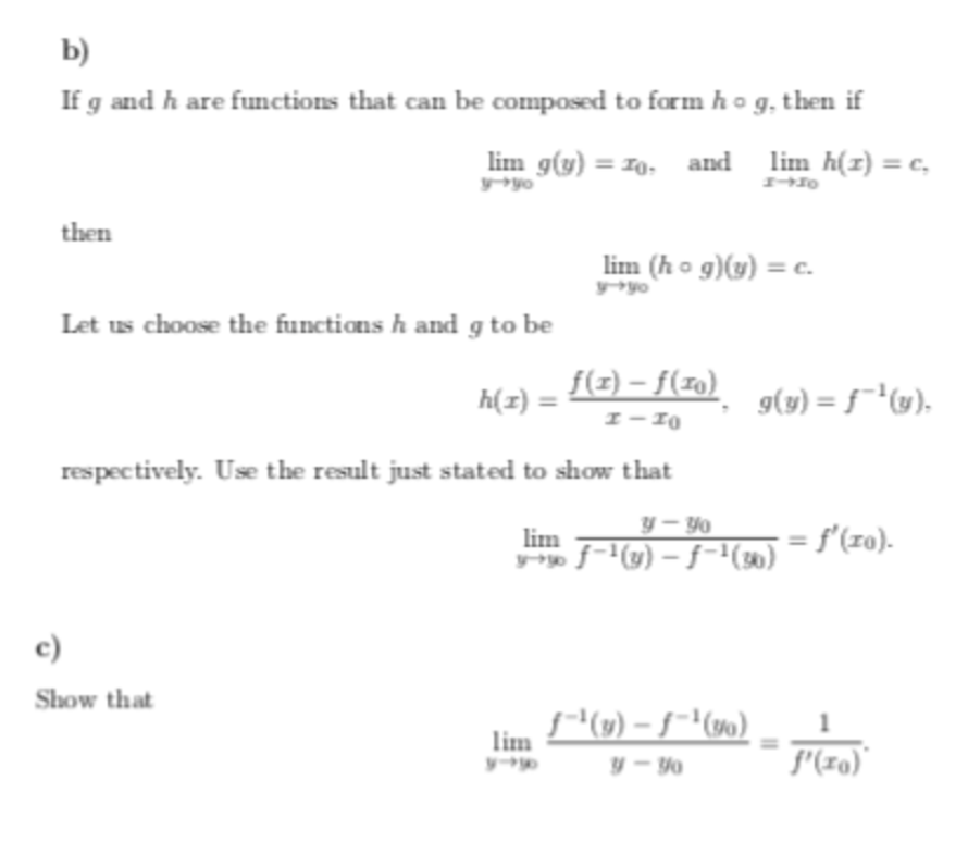
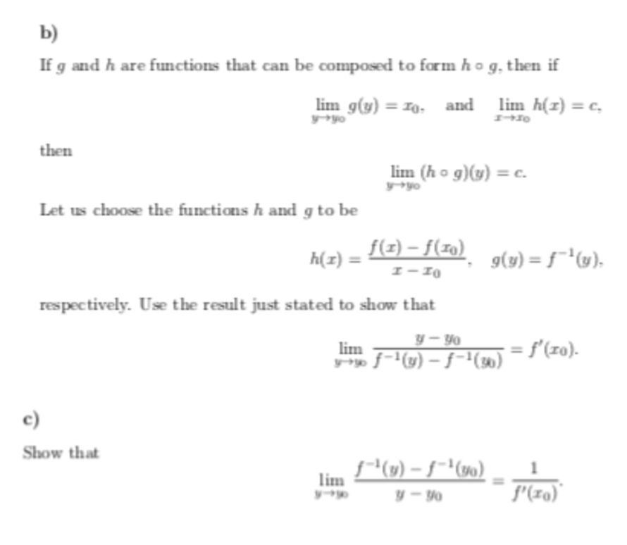
b) If g and h are functions that can be composed to form hog. then...
b) If g and h are functions that can be composed to form hog. then...