Subjects
Online Tutoring
Homework Help
Homework Library
Tutors
Online Classes
More
Bookstore
Blog
Technical Tips
FAQ
Contact Us
Get Help Now
Home
Homework Library
Mathematics
Calculus
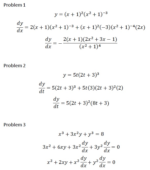
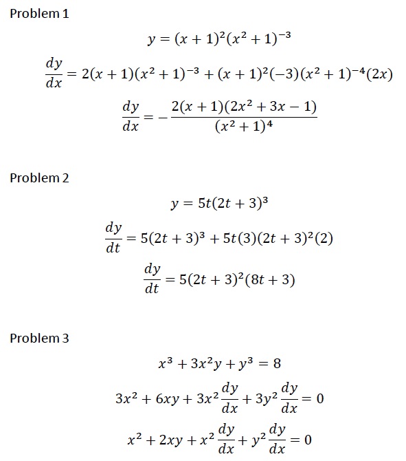
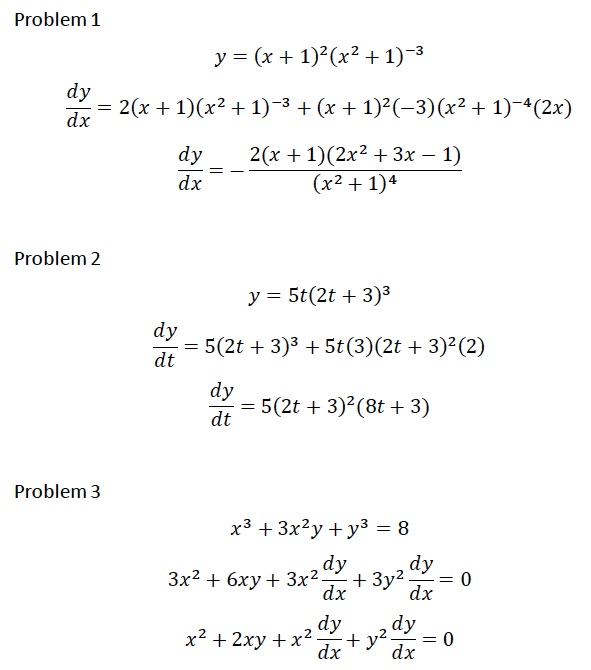
Part I: PLEASE SHOW ALL WORK! Find the derivative of the function...
Part I: PLEASE SHOW ALL WORK! Find the derivative of the function...