Subjects
Online Tutoring
Homework Help
Homework Library
Tutors
Online Classes
More
Bookstore
Blog
Technical Tips
FAQ
Contact Us
Get Help Now
Home
Homework Library
Mathematics
Calculus
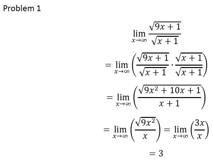
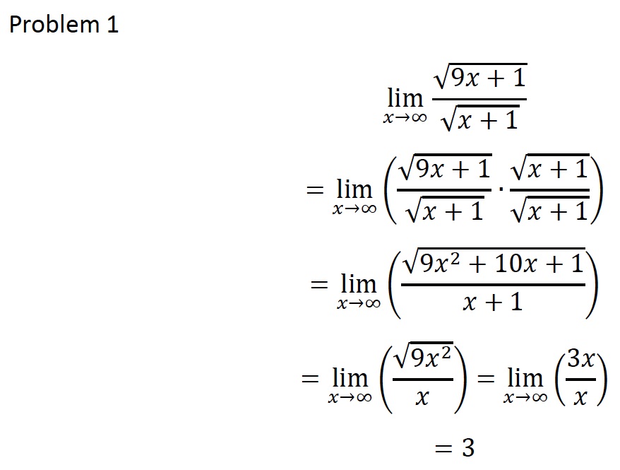
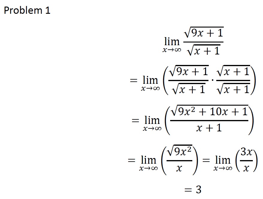
Part 1: John (Johann) Bernoulli discovered a rule using derivative...
Part 1: John (Johann) Bernoulli discovered a rule using derivative...