Subjects
Online Tutoring
Homework Help
Homework Library
Tutors
Online Classes
More
Bookstore
Blog
Technical Tips
FAQ
Contact Us
Get Help Now
Home
Homework Library
Mathematics
Calculus
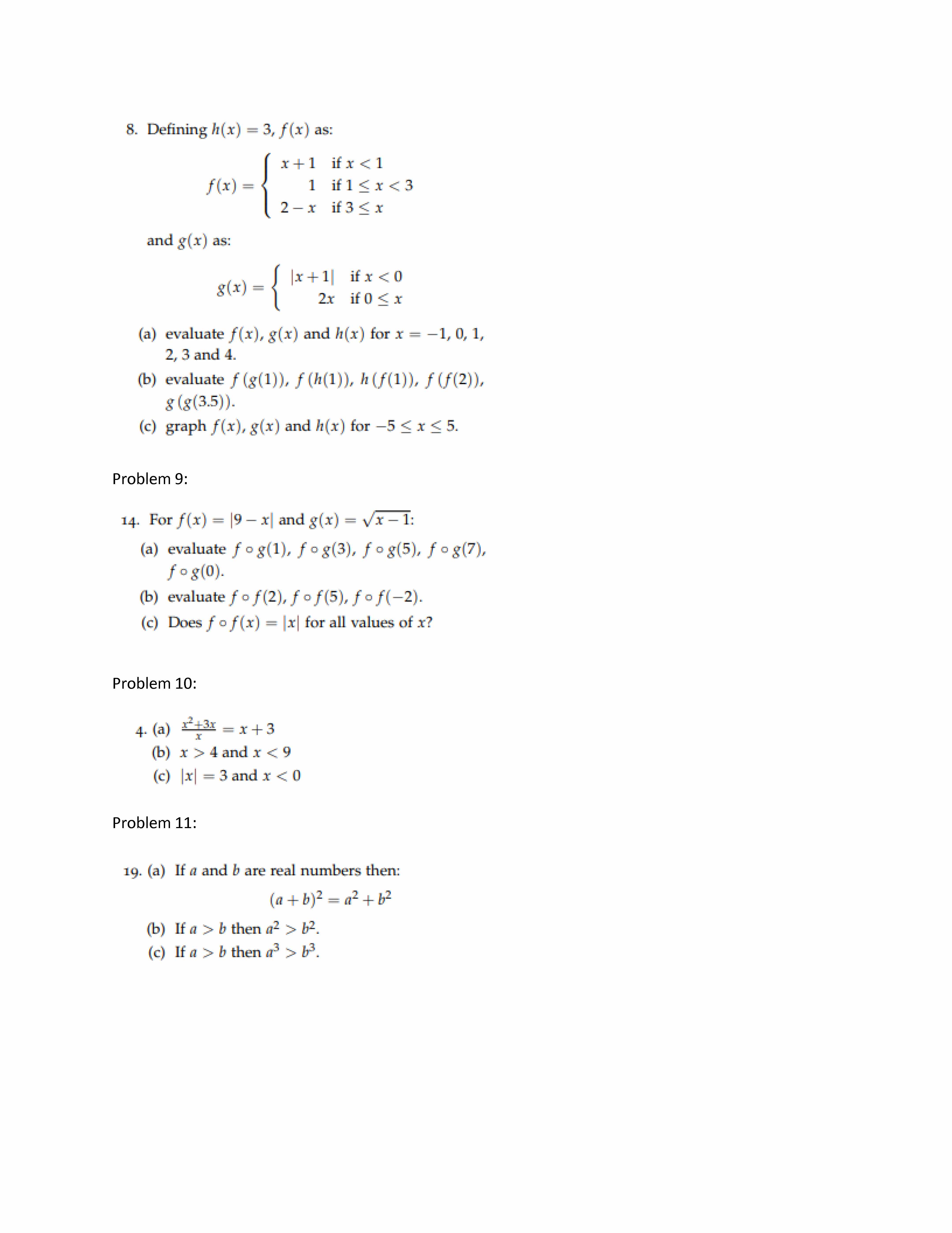
Calculus 1: Functions and Their Graphs Functions are fundamental ...
Calculus 1: Functions and Their Graphs Functions are fundamental...