Subjects
Online Tutoring
Homework Help
Homework Library
Tutors
Online Classes
More
Bookstore
Blog
Technical Tips
FAQ
Contact Us
Get Help Now
Home
Homework Library
Mathematics
Calculus
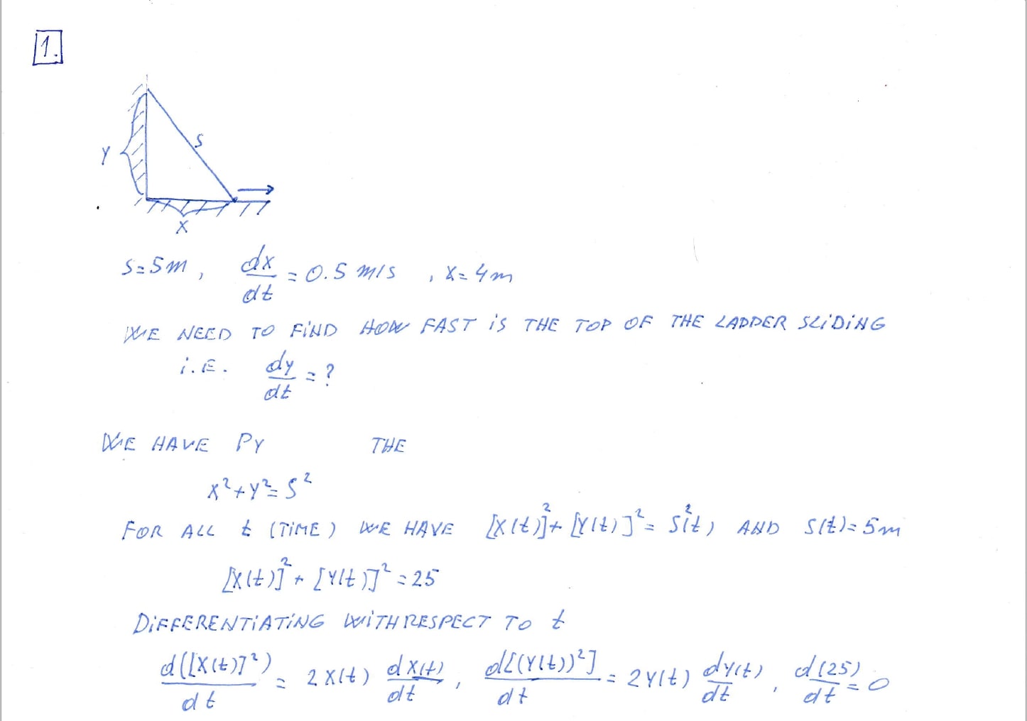
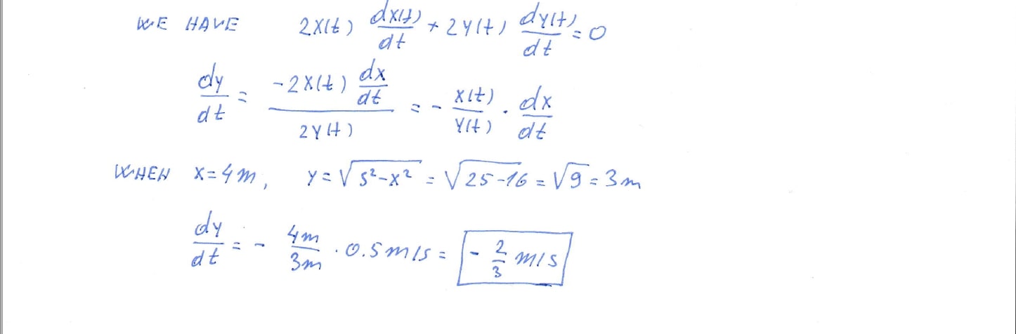
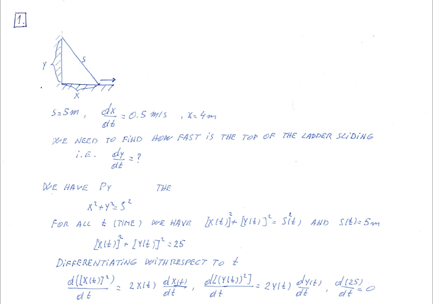
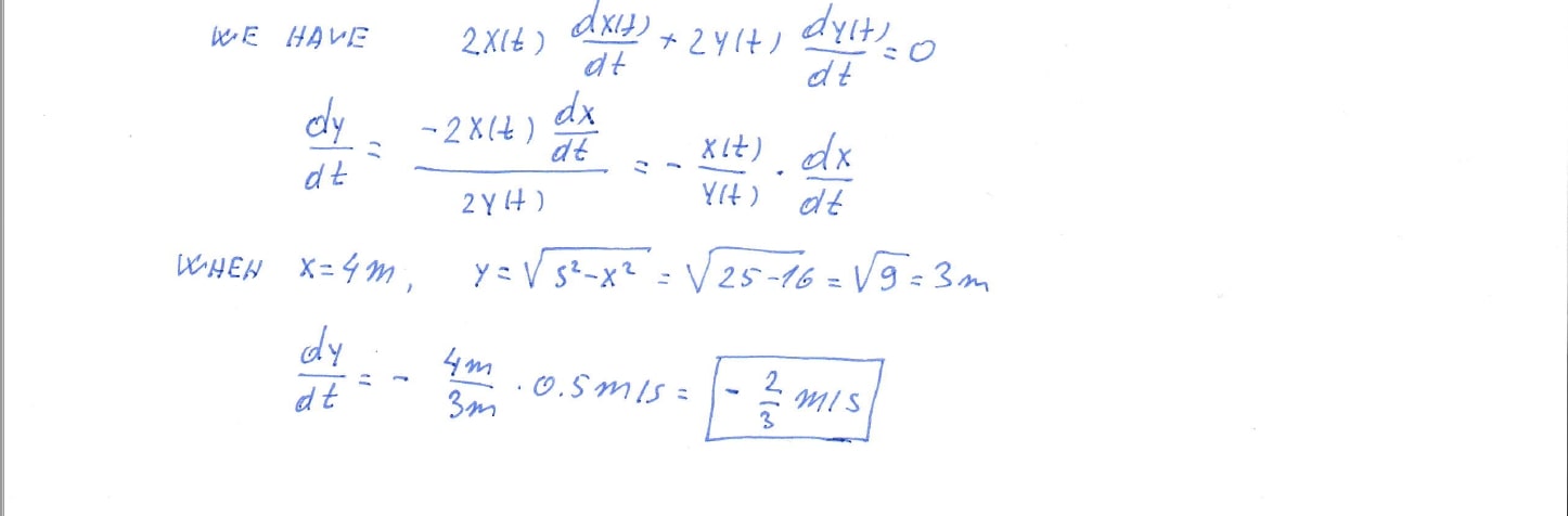
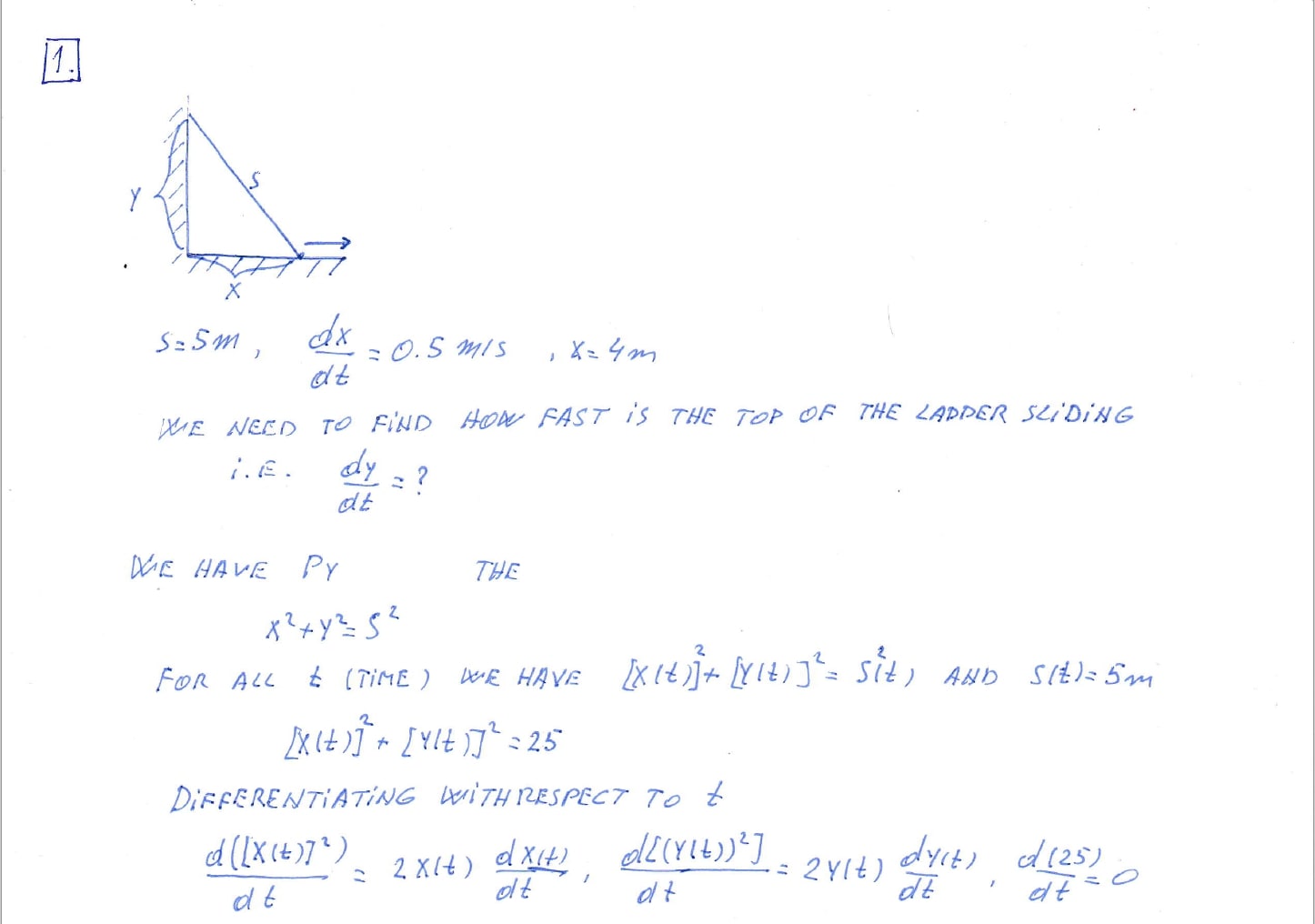
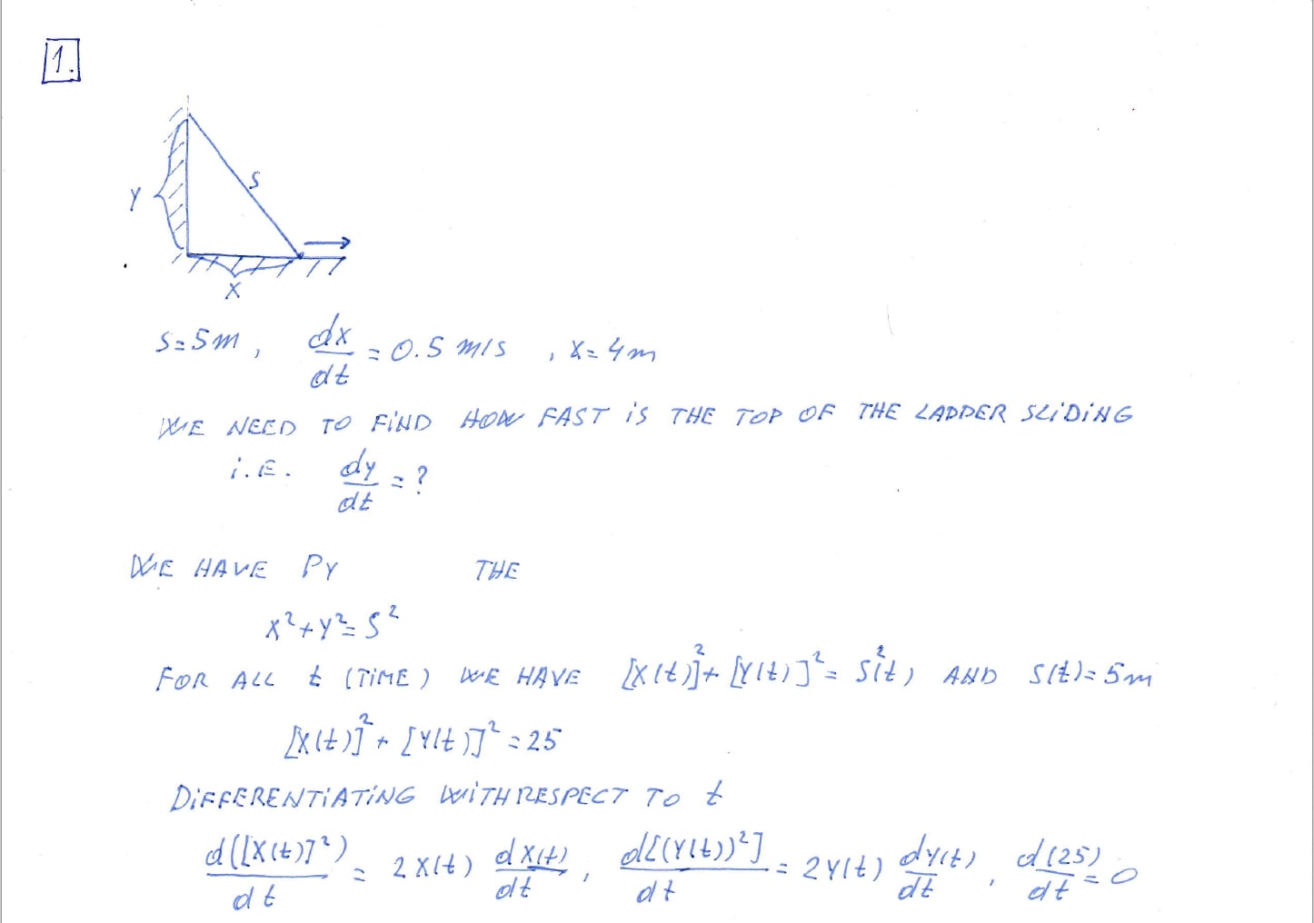
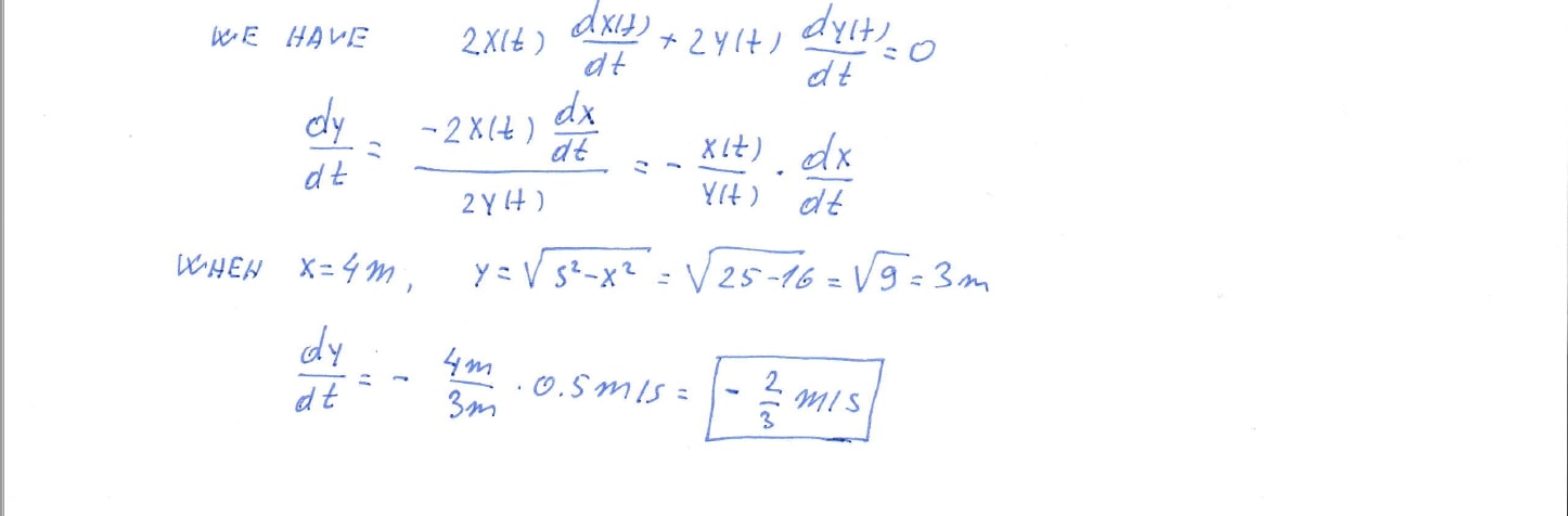
1. A ladder 5m long is leaning against a wall. If the lower end of ...
1. A ladder 5m long is leaning against a wall. If the lower end of...