Subjects
Online Tutoring
Homework Help
Homework Library
Tutors
Online Classes
More
Bookstore
Blog
Technical Tips
FAQ
Contact Us
Get Help Now
Home
Homework Library
Mathematics
Calculus
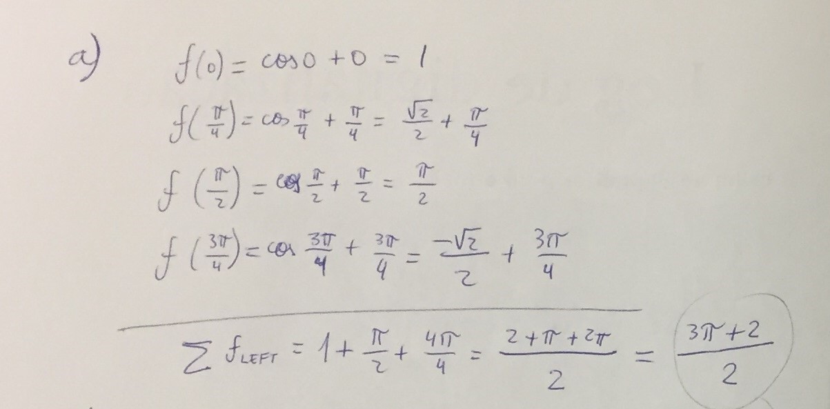
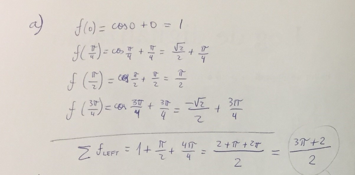
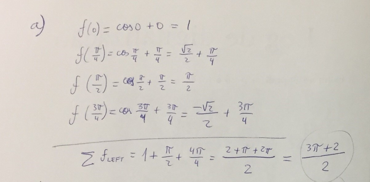
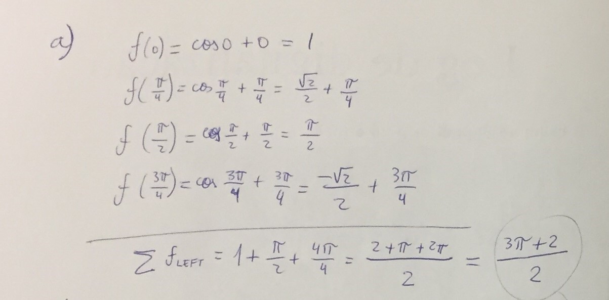
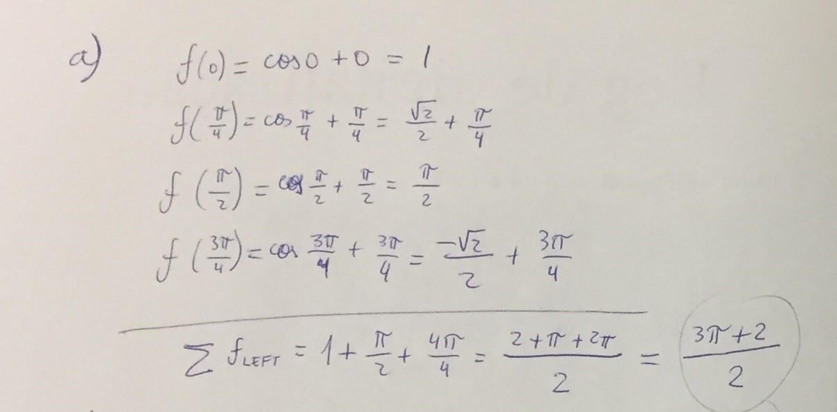
Consider the function f(x) = cos(x) + x on the interval [0, a) Usi...
Consider the function f(x) = cos(x) + x on the interval [0, a) Usi...