Subjects
Online Tutoring
Homework Help
Homework Library
Tutors
Online Classes
More
Bookstore
Blog
Technical Tips
FAQ
Contact Us
Get Help Now
Home
Homework Library
Mathematics
Calculus
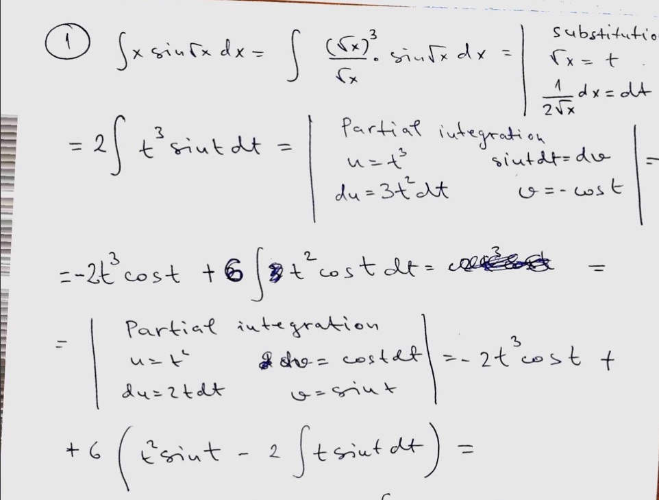
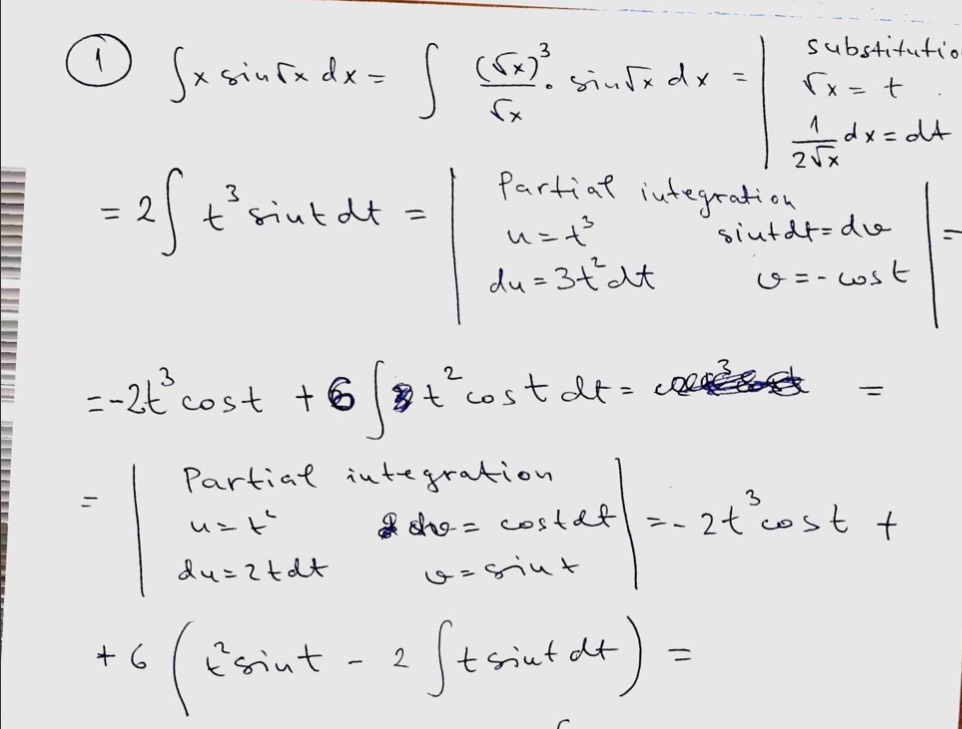
Make 3 problems that are exam level in difficulty and complexity. I...
Make 3 problems that are exam level in difficulty and complexity. I...