Subjects
Online Tutoring
Homework Help
Homework Library
Tutors
Online Classes
More
Bookstore
Blog
Technical Tips
FAQ
Contact Us
Get Help Now
Home
Homework Library
Mathematics
Calculus
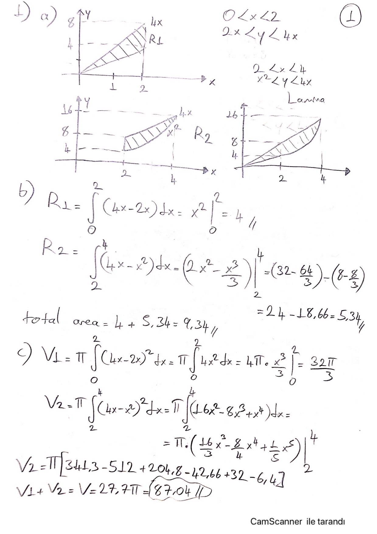
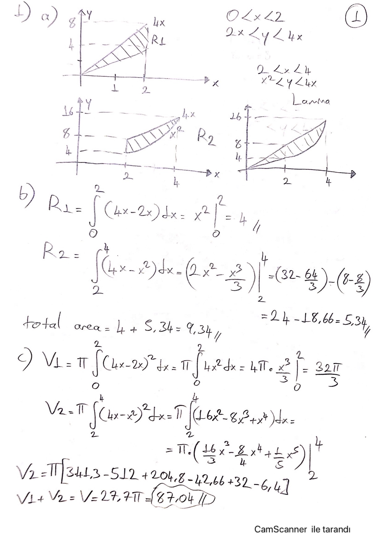
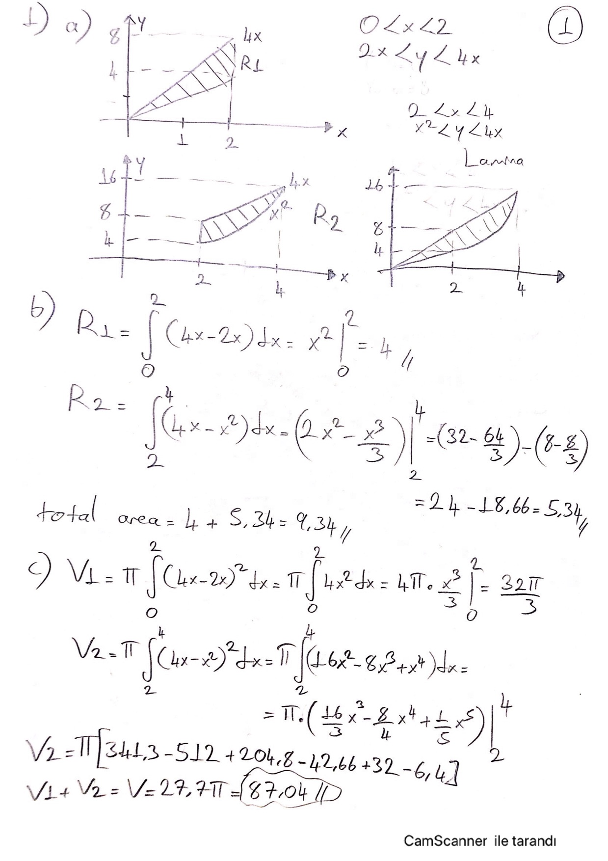
1. (a) A lamina is defined by the regions R1 and R2: Using a well ...
1. (a) A lamina is defined by the regions R1 and R2: Using a well...