Subjects
Online Tutoring
Homework Help
Homework Library
Tutors
More
Bookstore
Blog
Technical Tips
FAQ
Contact Us
Get Help Now
Home
Homework Library
Mathematics
Calculus
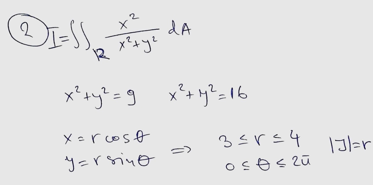
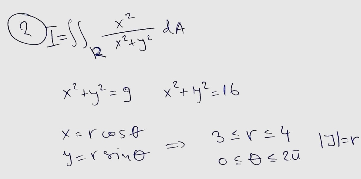
2. (10 points) Evaluate the integral 2 R x² X 2 dA + y Where...
2. (10 points) Evaluate the integral 2 R x² X 2 dA + y Where R...