Subjects
Online Tutoring
Homework Help
Homework Library
Tutors
Online Classes
More
Bookstore
Blog
Technical Tips
FAQ
Contact Us
Get Help Now
Home
Homework Library
Mathematics
Calculus
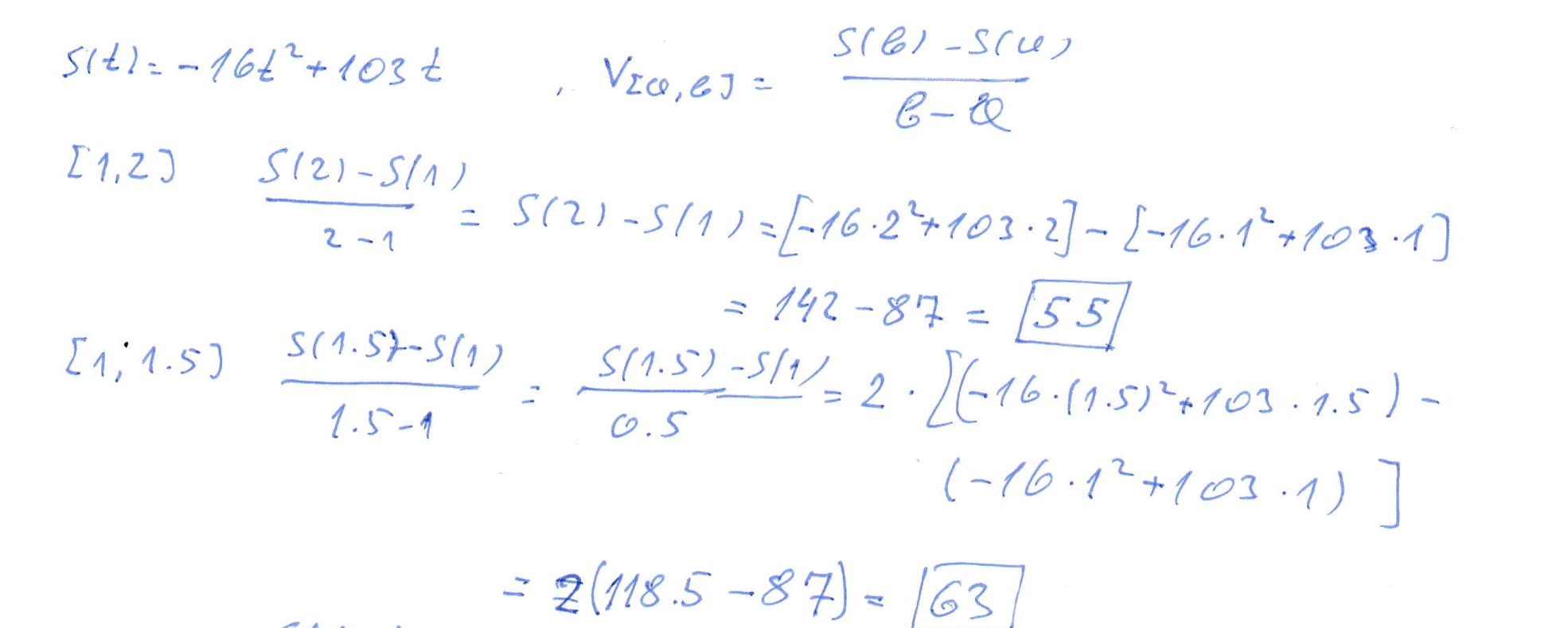
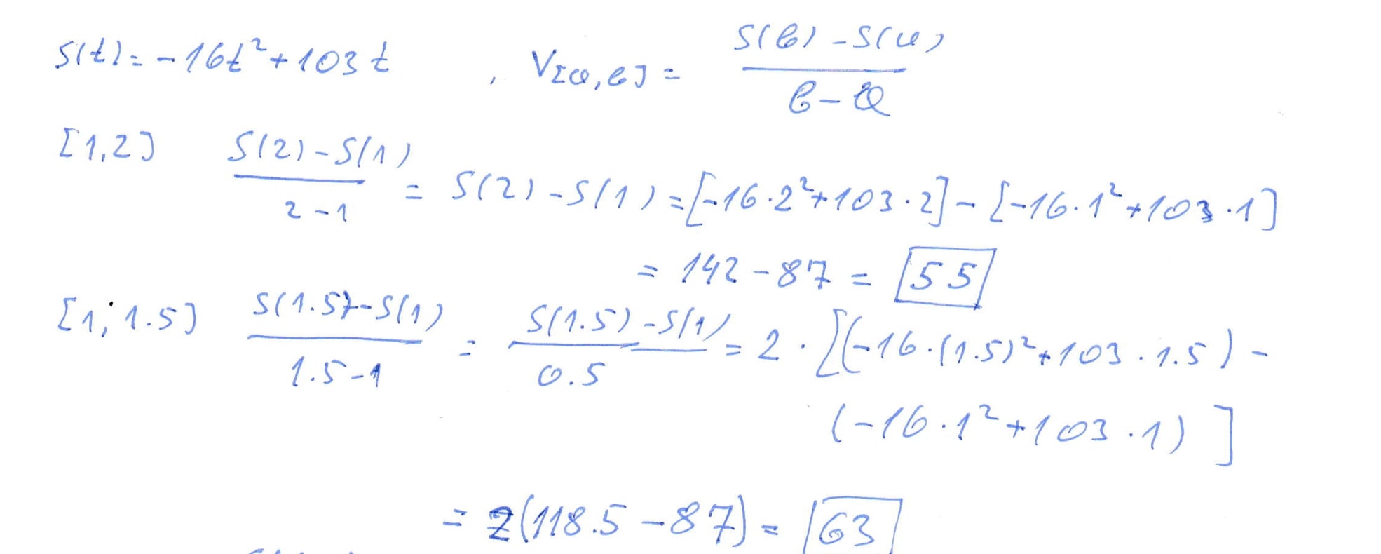
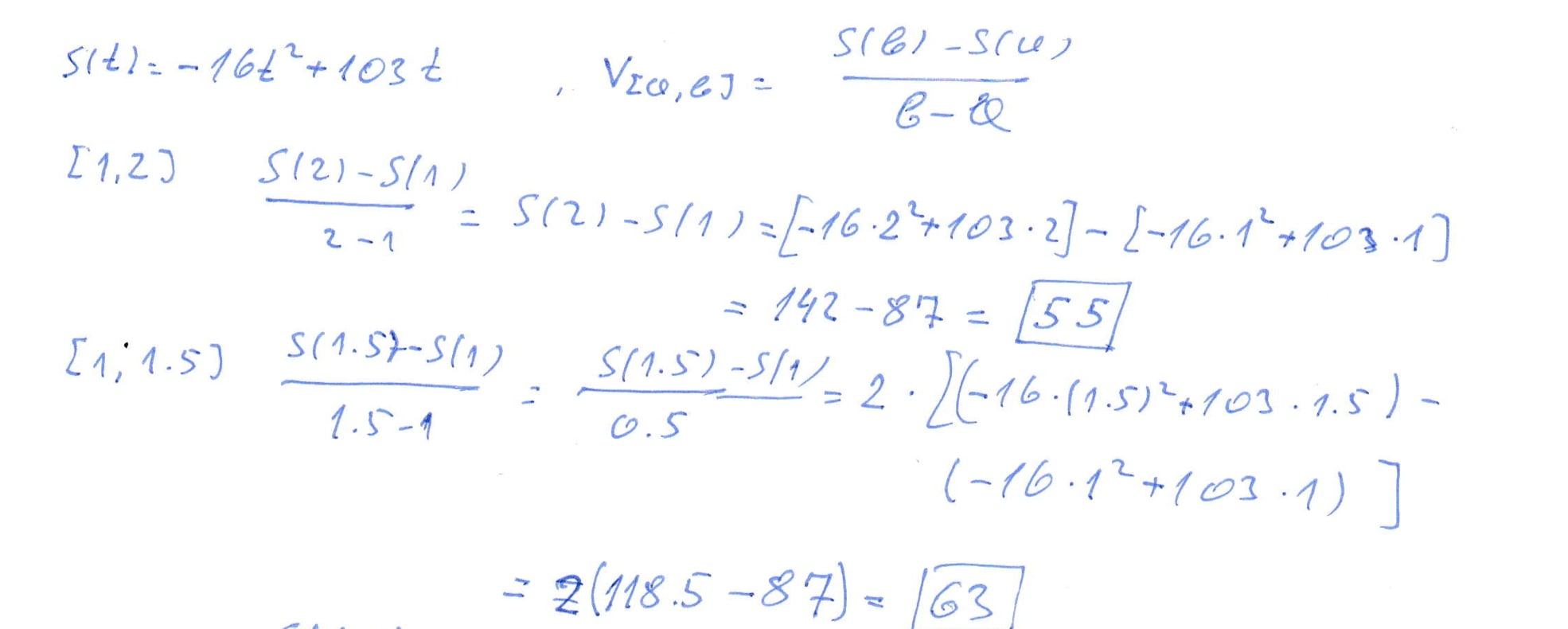
1 · Fo; the position function s(t) = - 16t2 + 103t, complete the...
1 · Fo; the position function s(t) = - 16t2 + 103t, complete the f...