Subjects
Online Tutoring
Homework Help
Homework Library
Tutors
Online Classes
More
Bookstore
Blog
Technical Tips
FAQ
Contact Us
Get Help Now
Home
Homework Library
Mathematics
Calculus
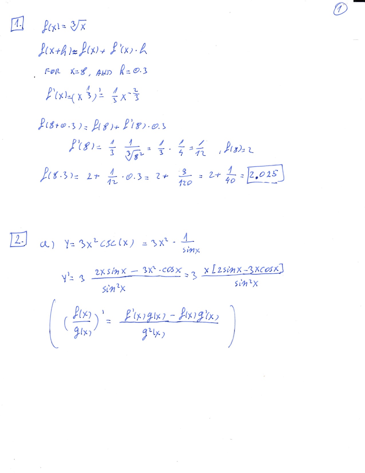
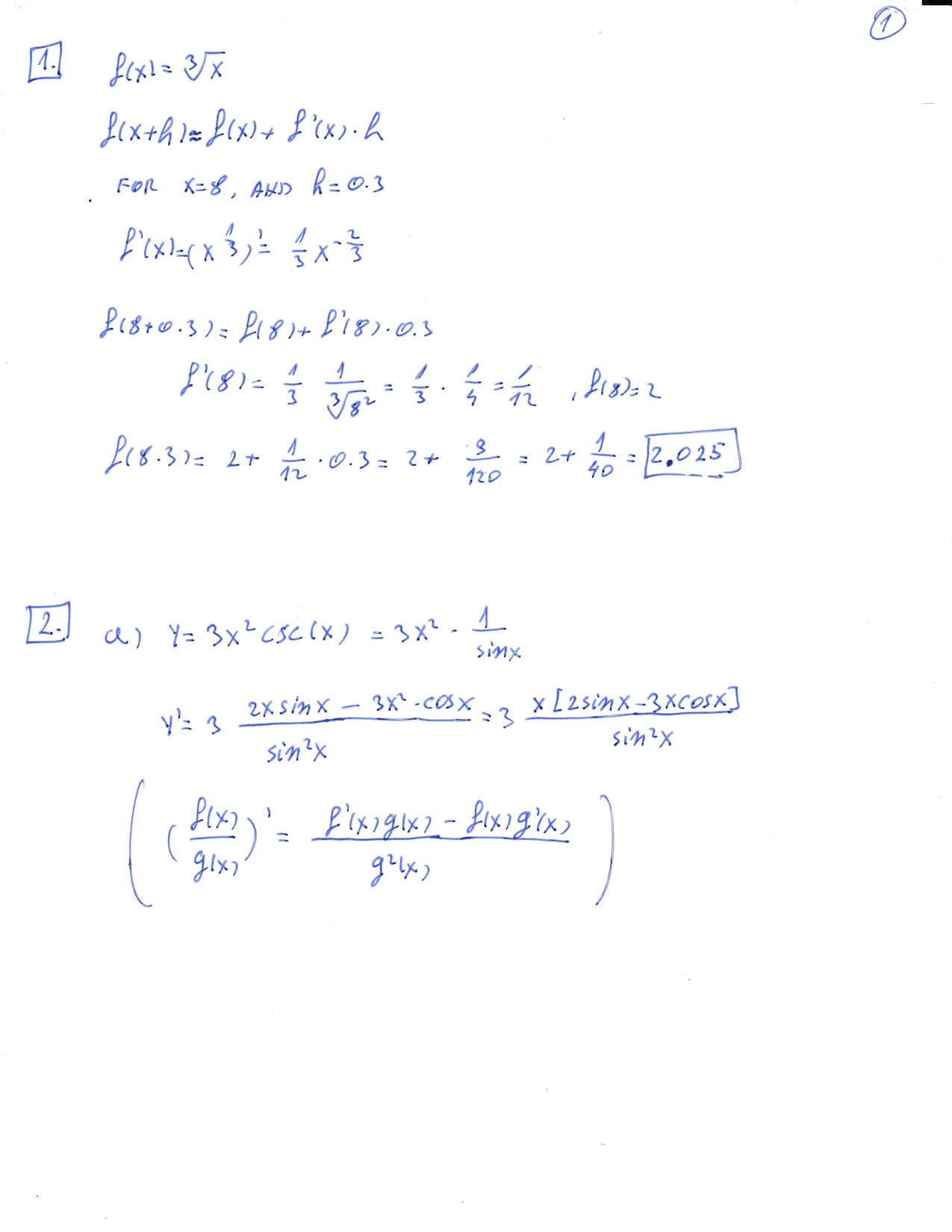
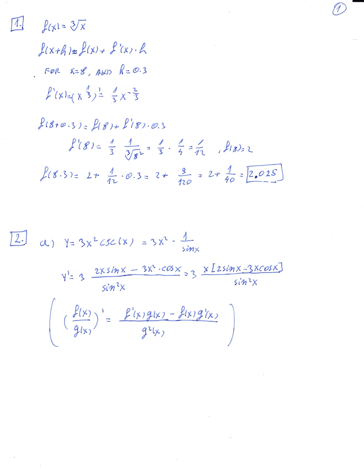
Q1 Linear Approximation 5 Points (5 points) Use linear approximat...
Q1 Linear Approximation 5 Points (5 points) Use linear approximat...