Subjects
Online Tutoring
Homework Help
Homework Library
Tutors
Online Classes
More
Bookstore
Blog
Technical Tips
FAQ
Contact Us
Get Help Now
Home
Homework Library
Mathematics
Calculus
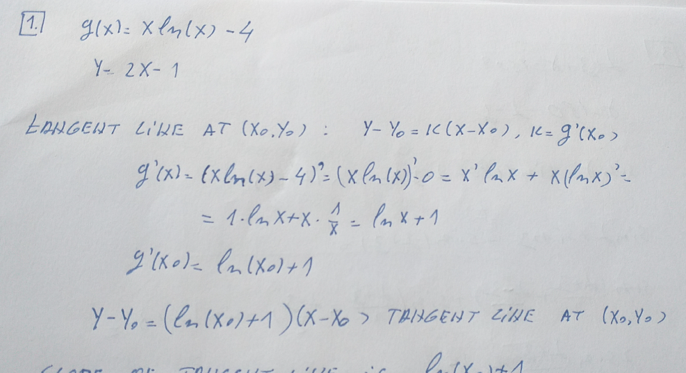
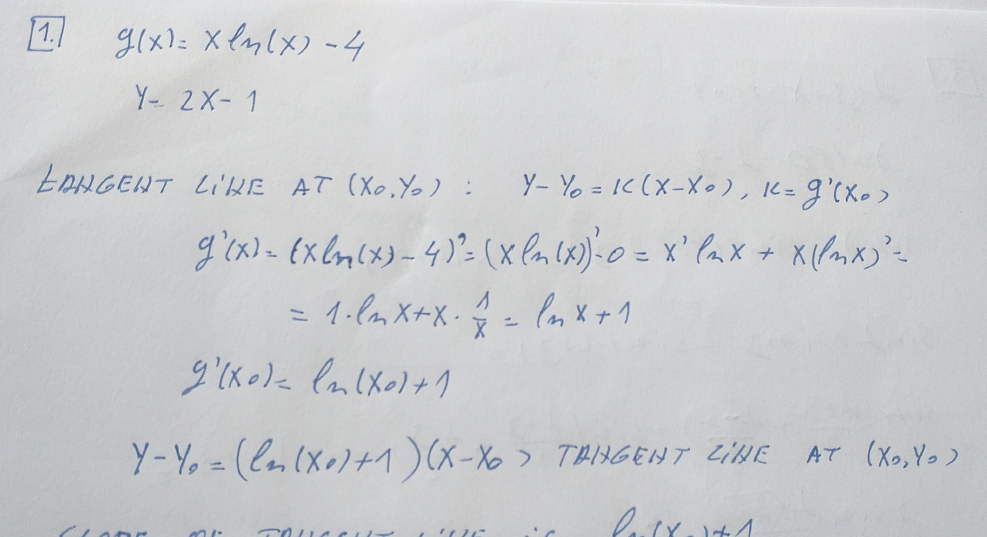
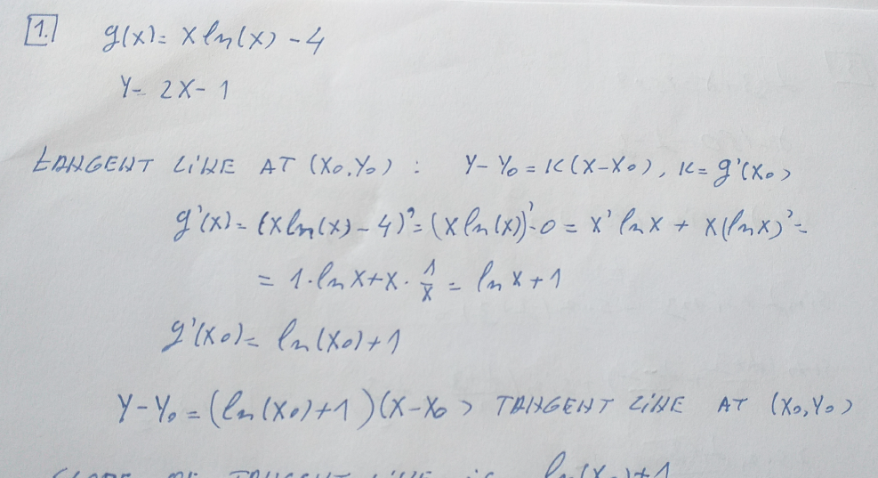
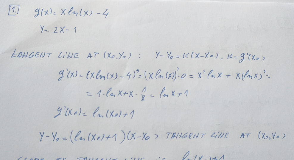
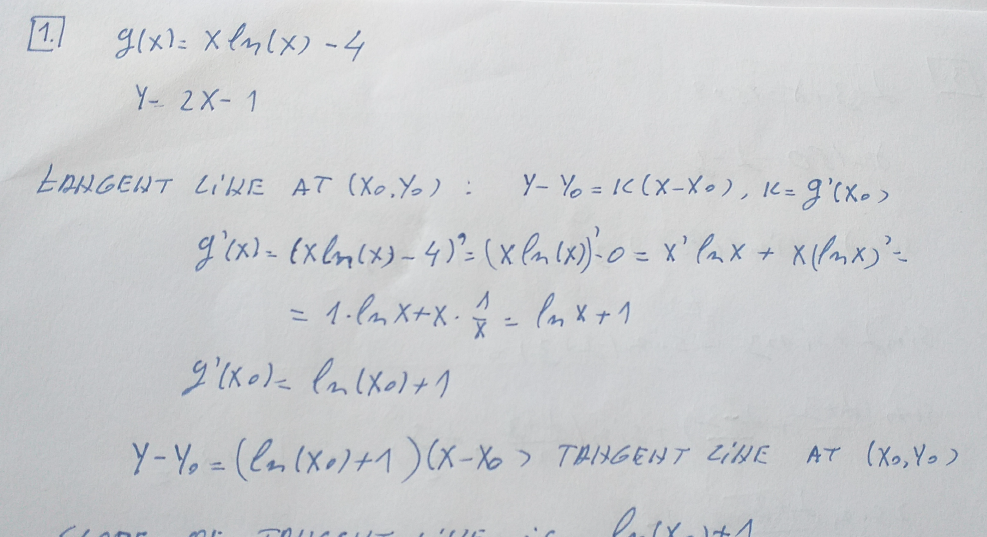
For which values ​​of x is the tangent to the curve g...
For which values ​​of x is the tangent to the curve g (x) = x l...