Subjects
Online Tutoring
Homework Help
Homework Library
Tutors
Online Classes
More
Bookstore
Blog
Technical Tips
FAQ
Contact Us
Get Help Now
Home
Homework Library
Mathematics
Calculus
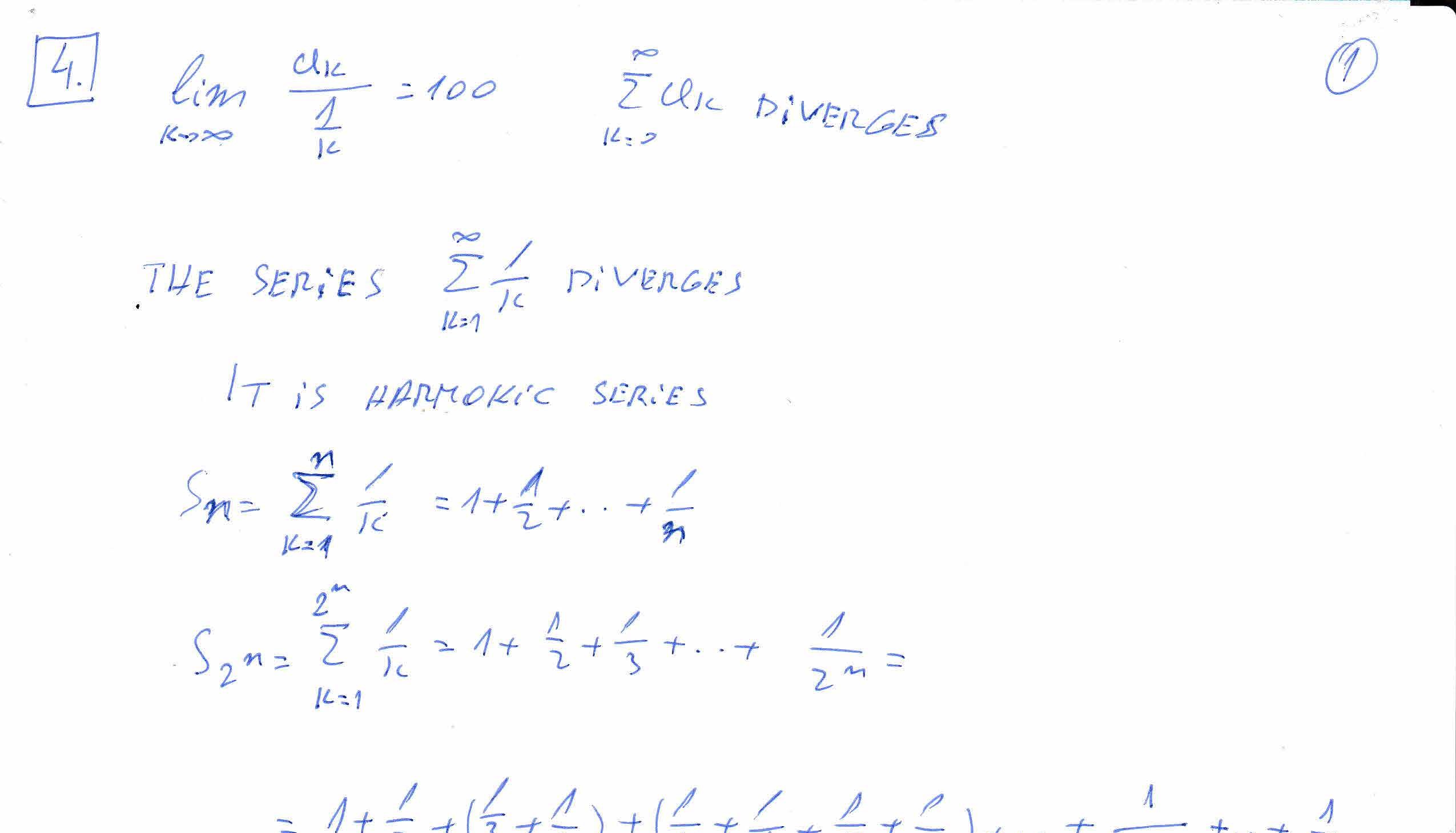
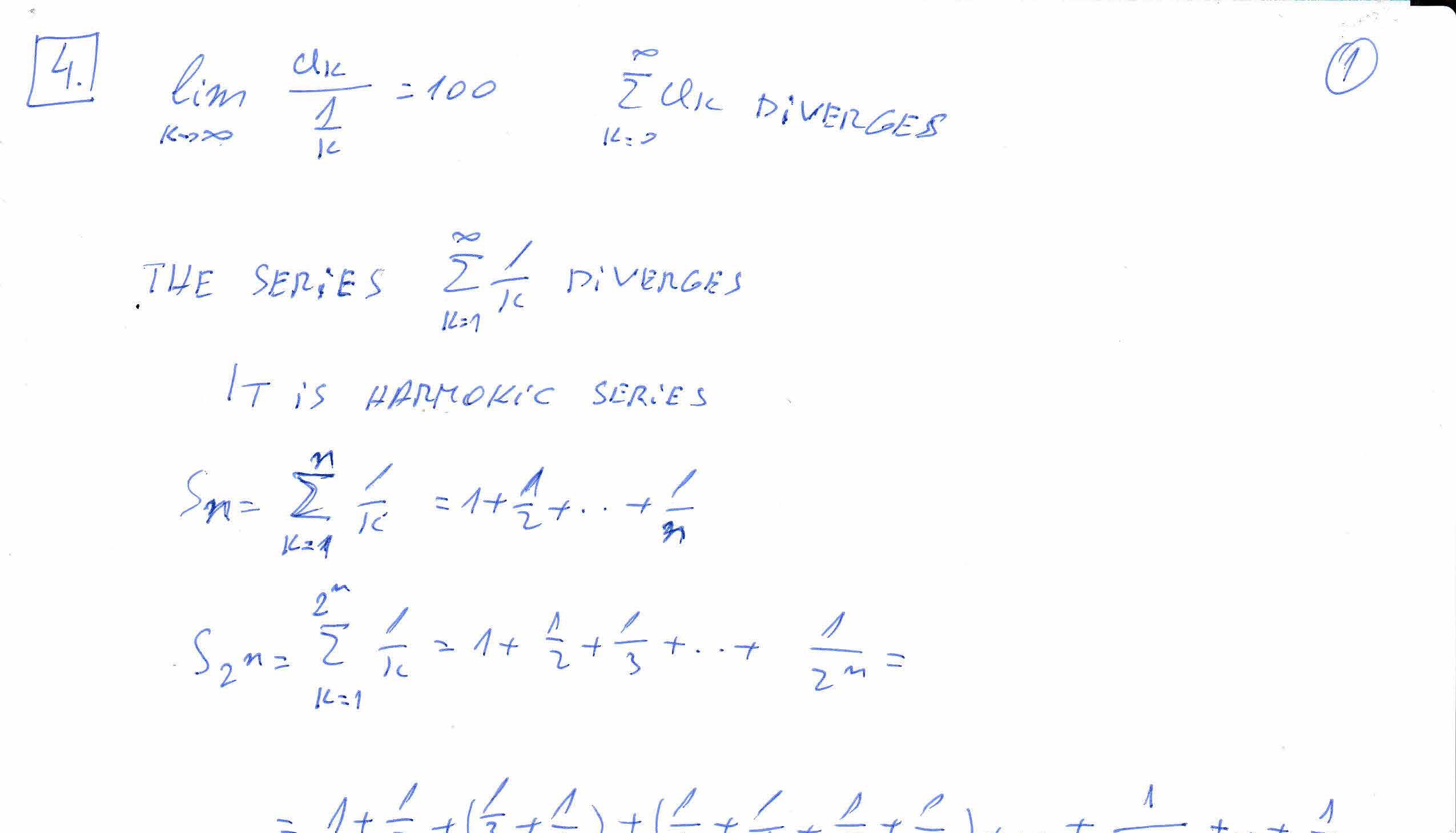
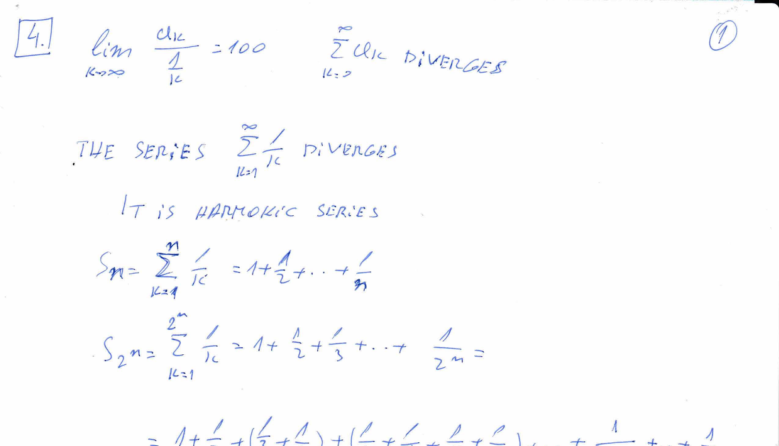
8 4. Suppose ak 0 and k->00 lim 1/k ak 100. Does > ak conv...
8 4. Suppose ak 0 and k->00 lim 1/k ak 100. Does > ak conv...