Subjects
Online Tutoring
Homework Help
Homework Library
Tutors
Online Classes
More
Bookstore
Blog
Technical Tips
FAQ
Contact Us
Get Help Now
Home
Homework Library
Mathematics
Calculus
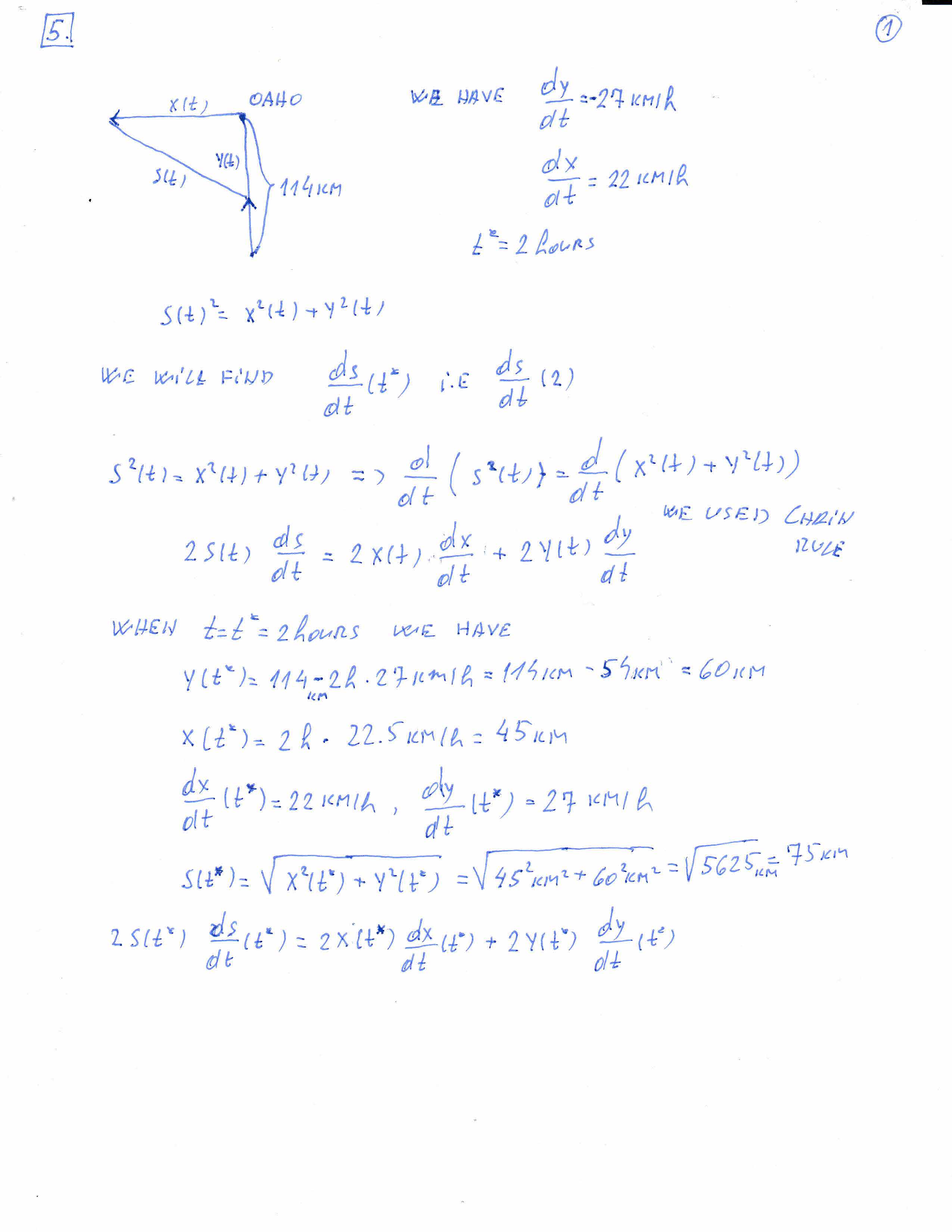
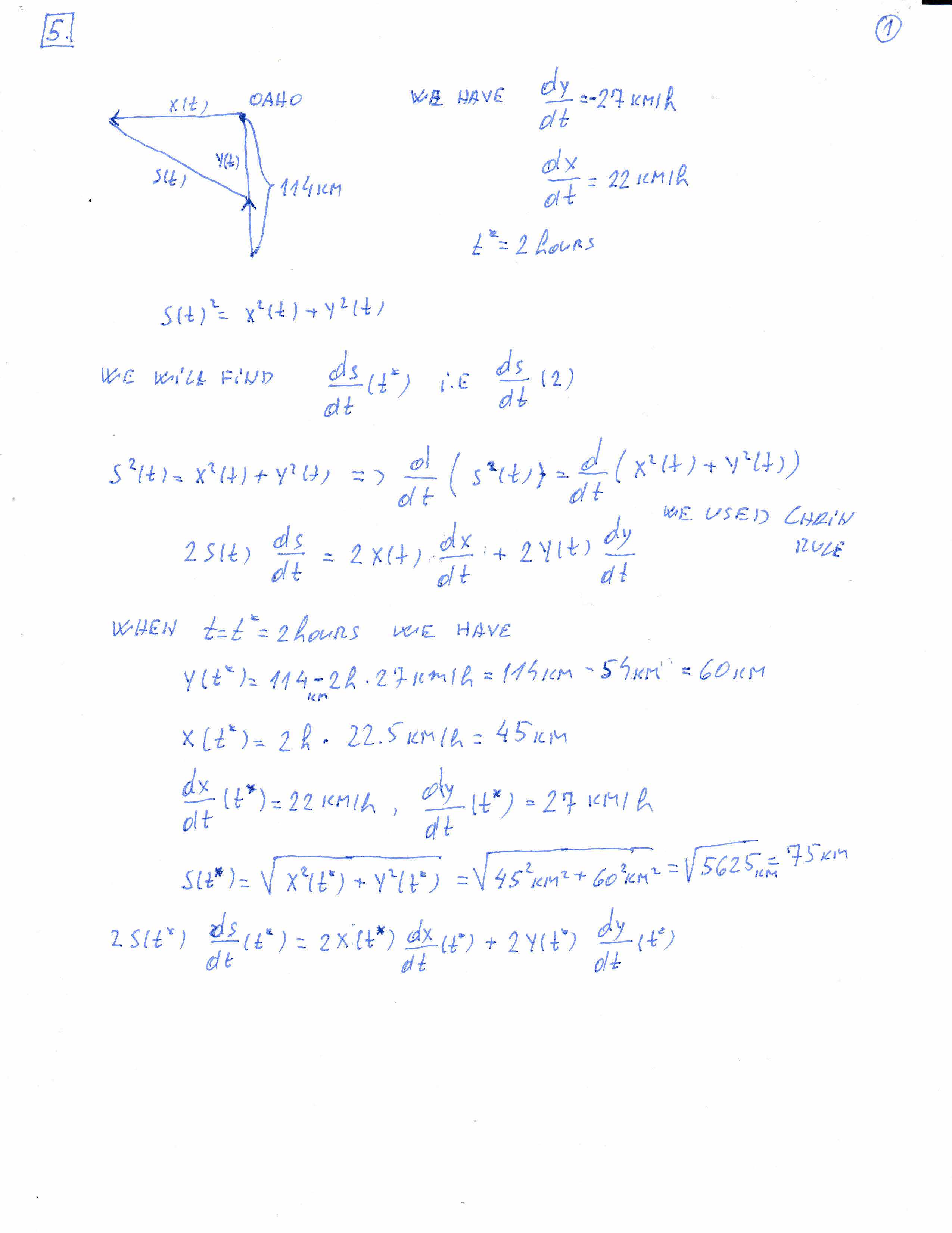
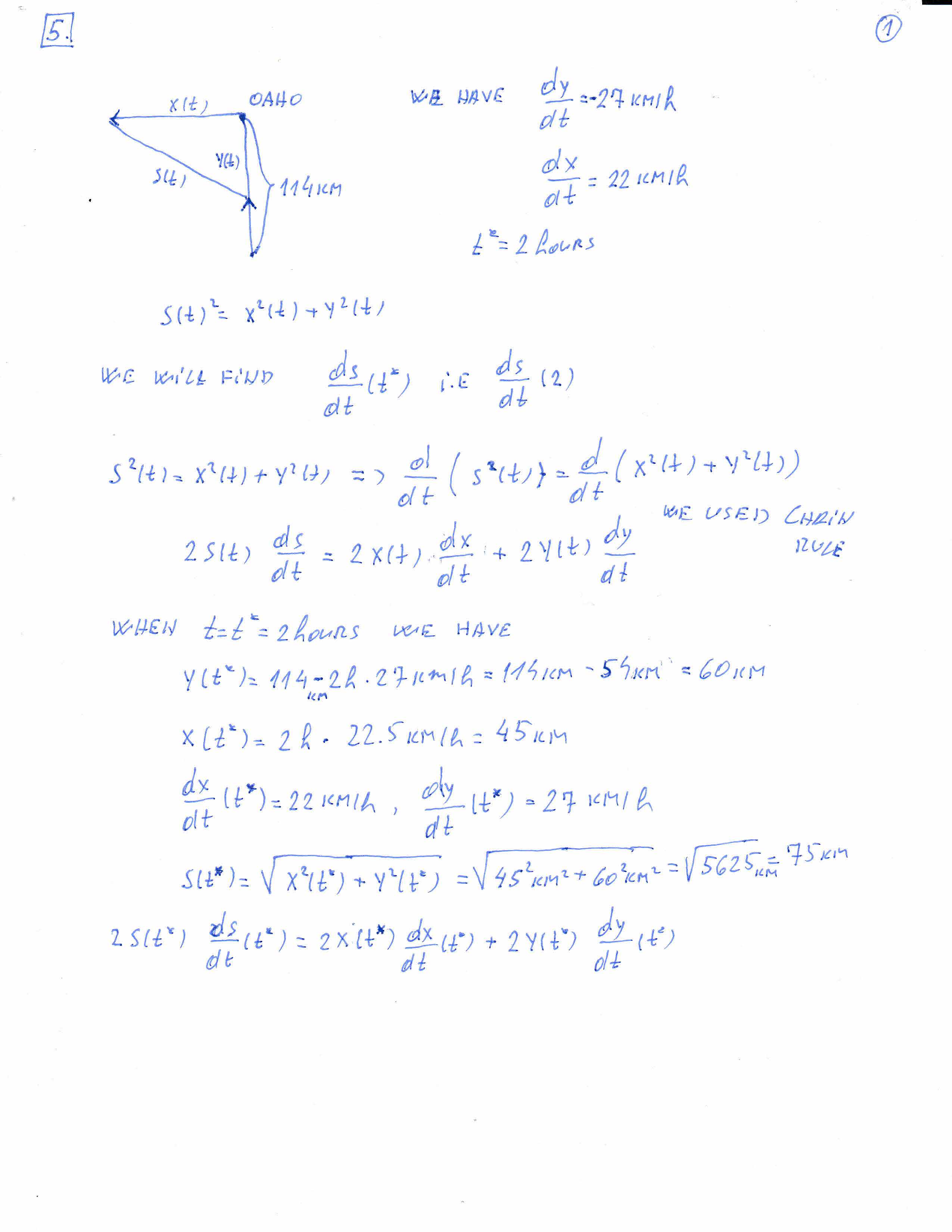
5. At noon, Ship A was 114 km due south of Oahu, heading directly t...
5. At noon, Ship A was 114 km due south of Oahu, heading directly t...