Subjects
Online Tutoring
Homework Help
Homework Library
Tutors
Online Classes
More
Bookstore
Blog
Technical Tips
FAQ
Contact Us
Get Help Now
Home
Homework Library
Mathematics
Calculus
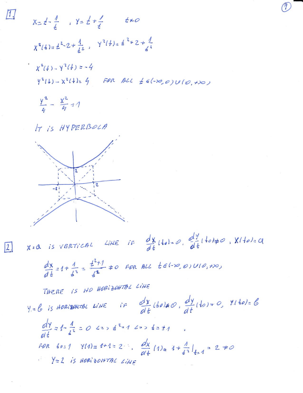
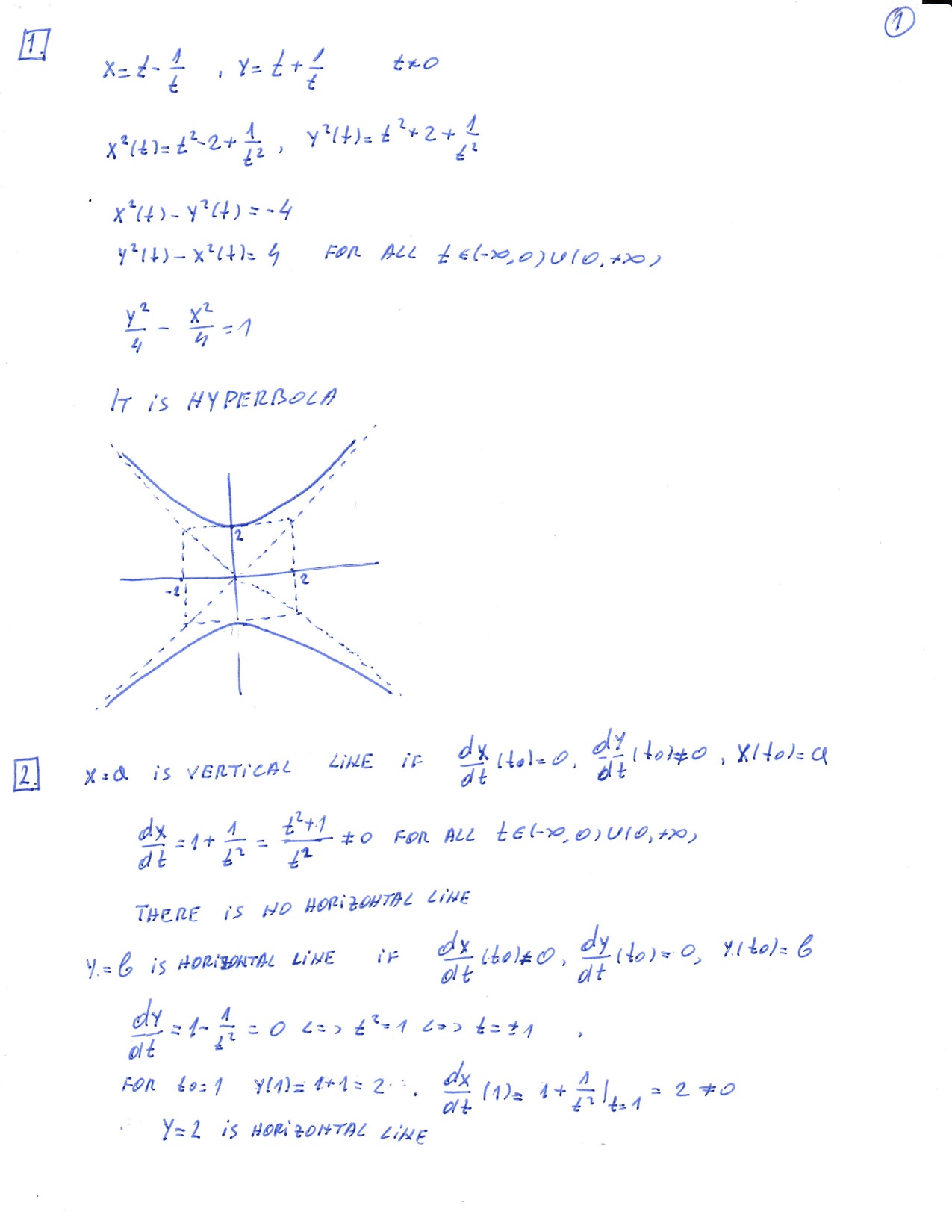
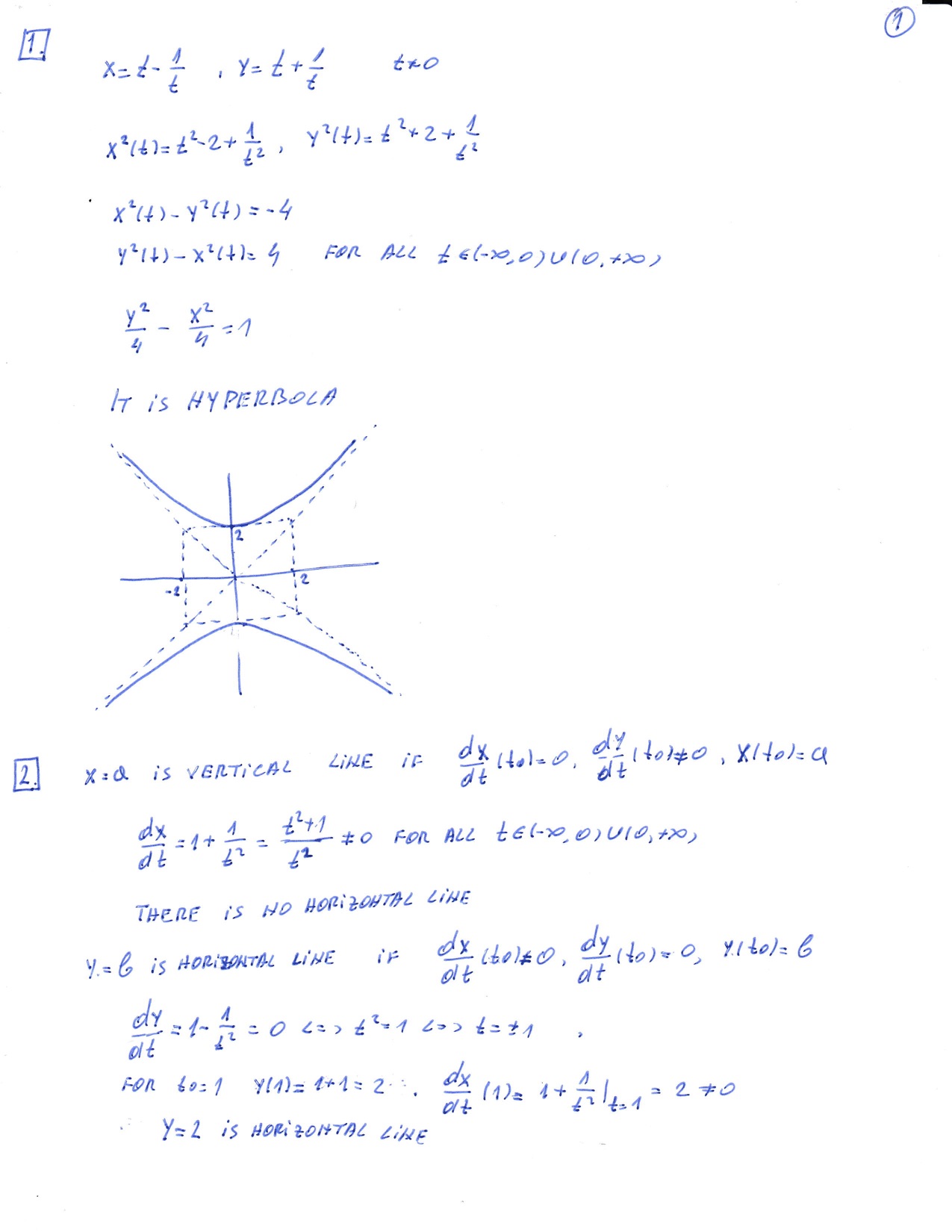
1. Graph the curve C defined by the parametric equations: X x=t-1 ...
1. Graph the curve C defined by the parametric equations: X x=t-1...