Subjects
Online Tutoring
Homework Help
Homework Library
Tutors
Online Classes
More
Bookstore
Blog
Technical Tips
FAQ
Contact Us
Get Help Now
Home
Homework Library
Mathematics
Calculus
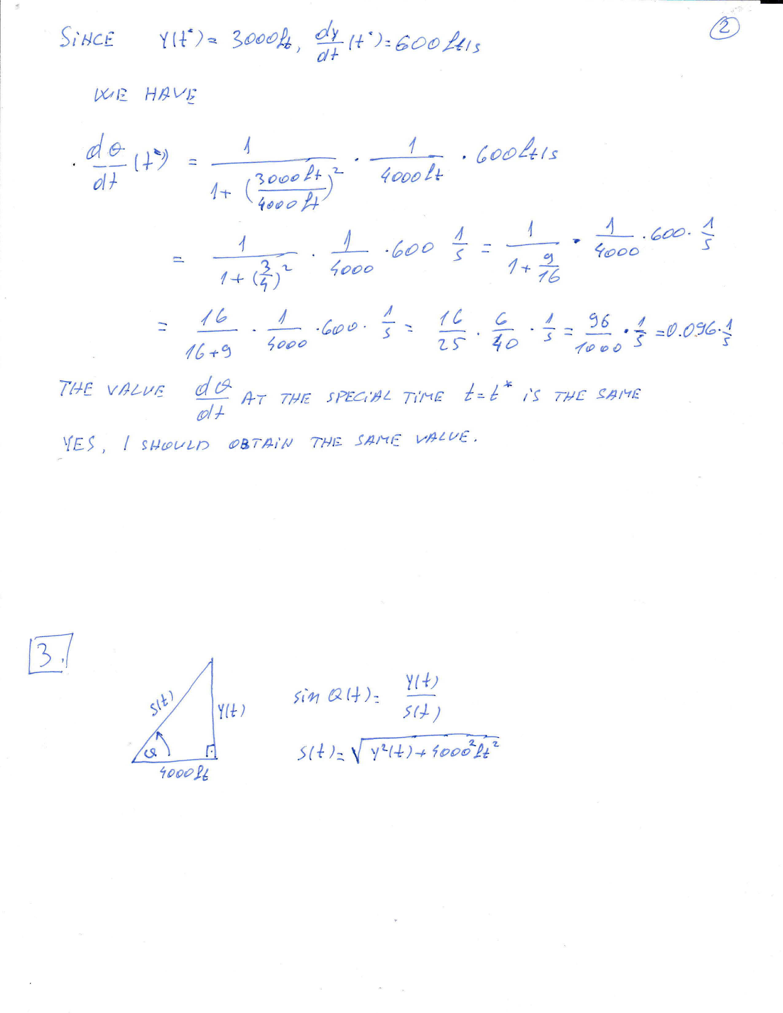
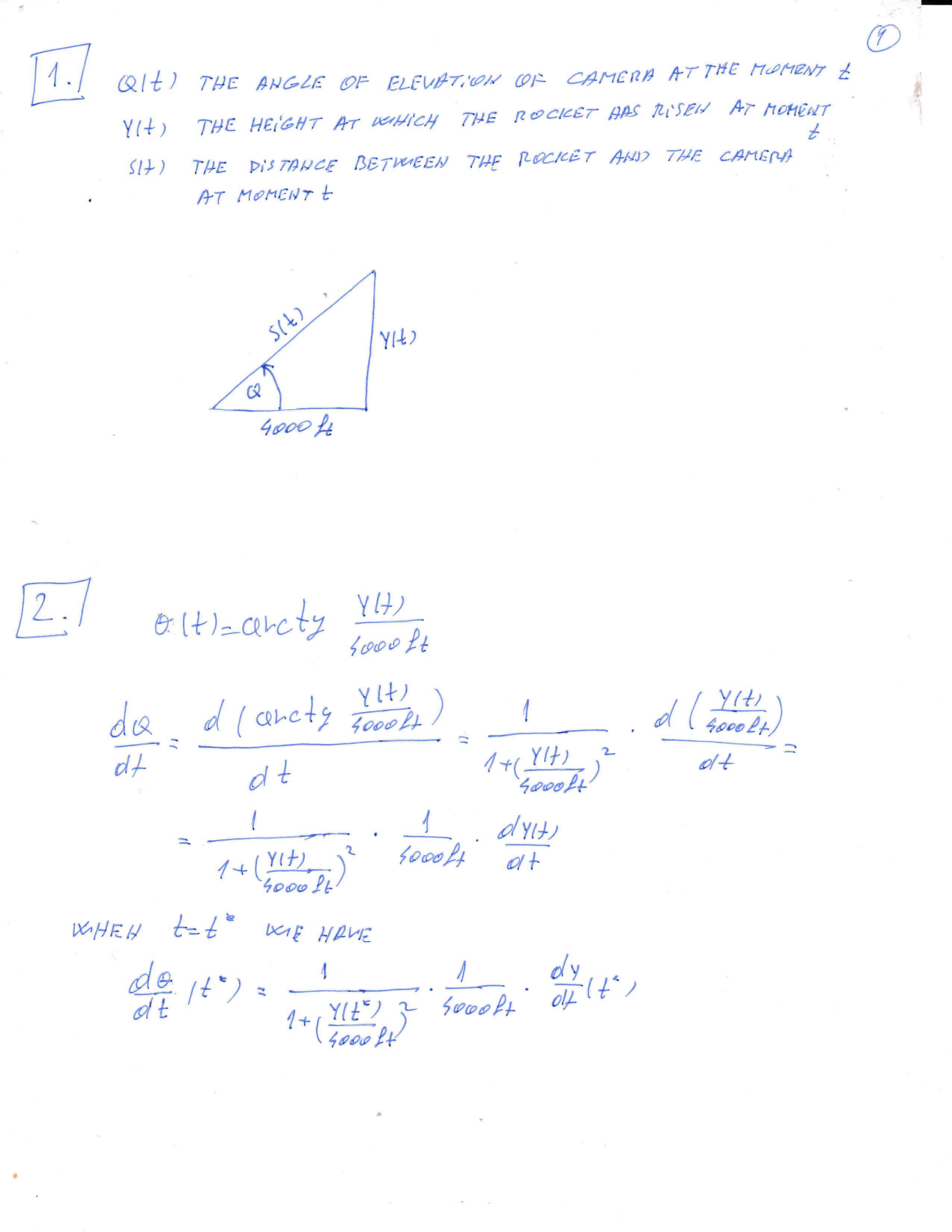
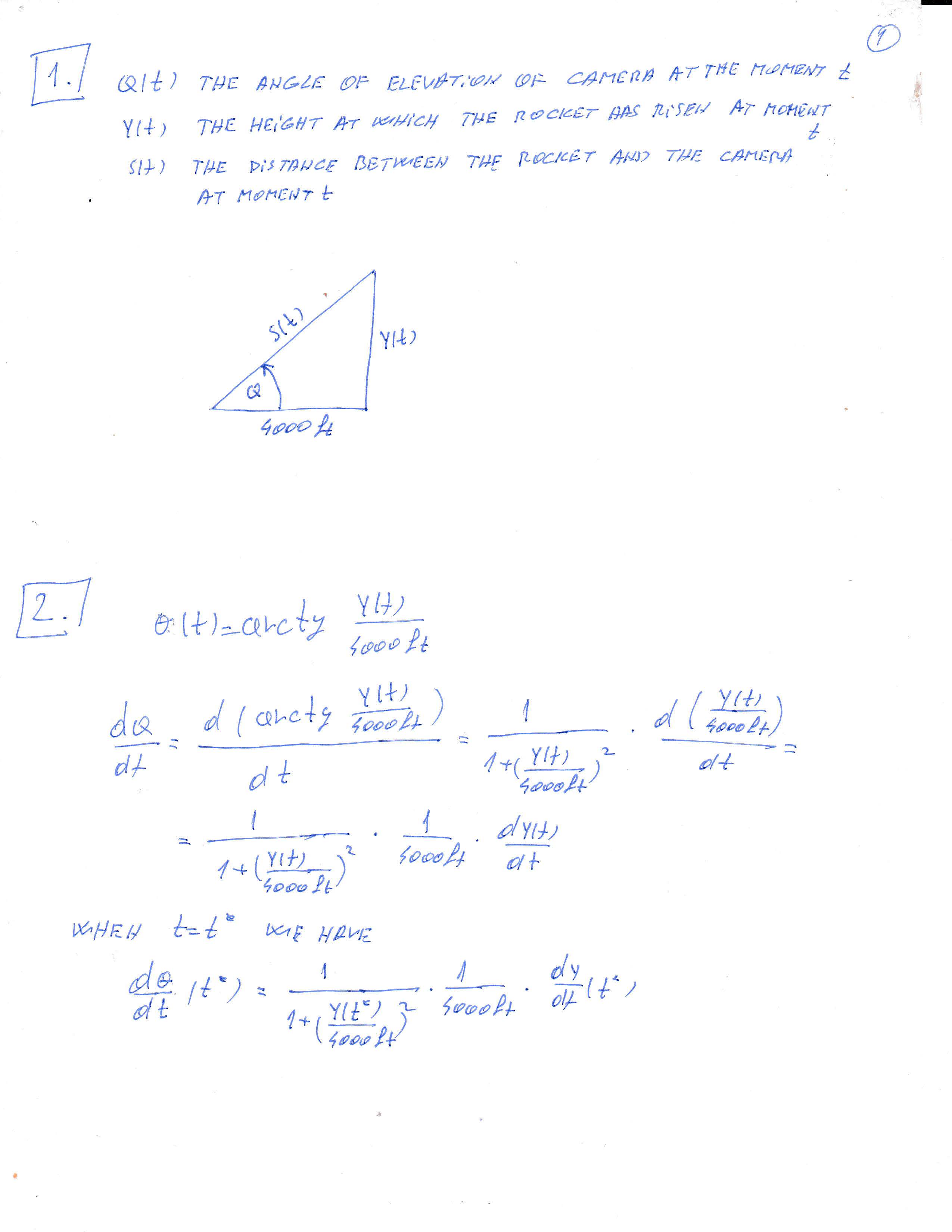
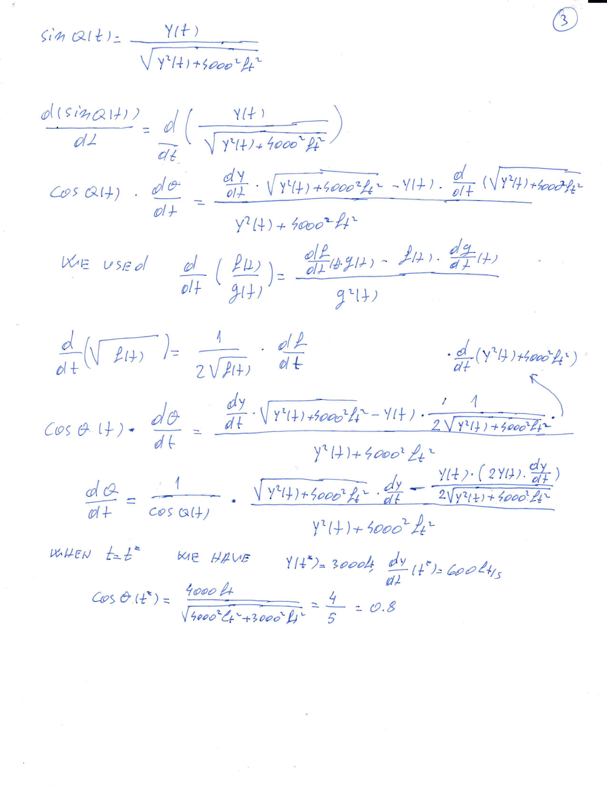
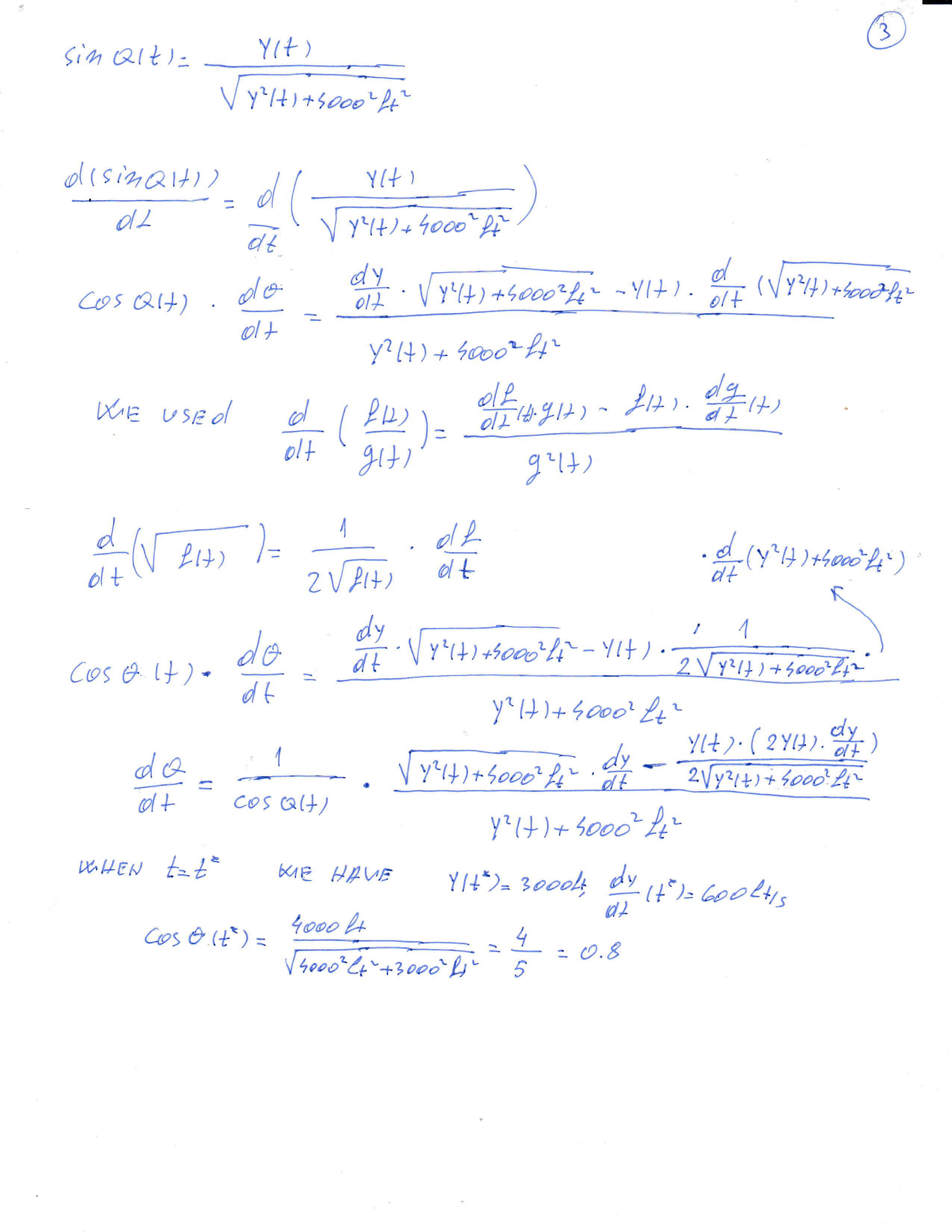
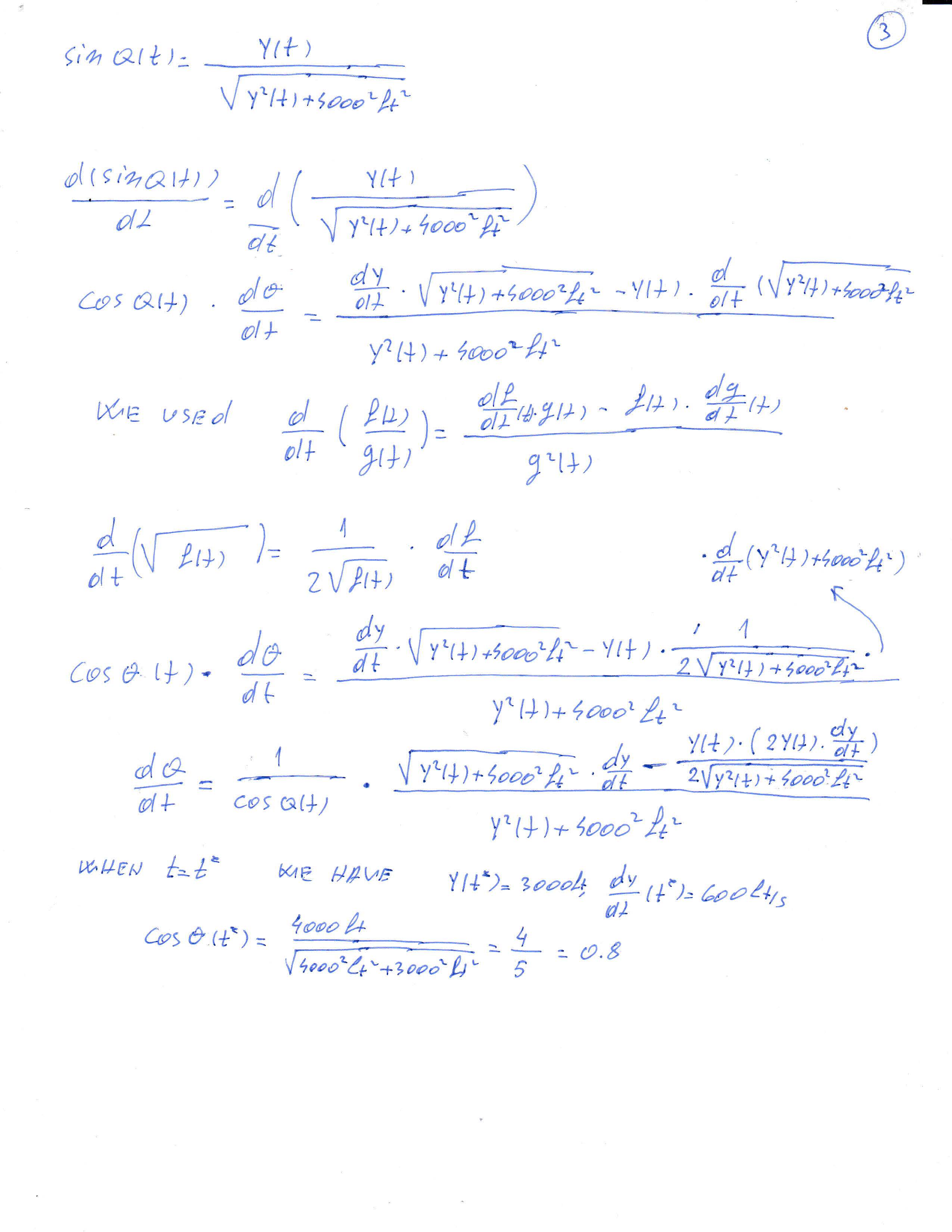
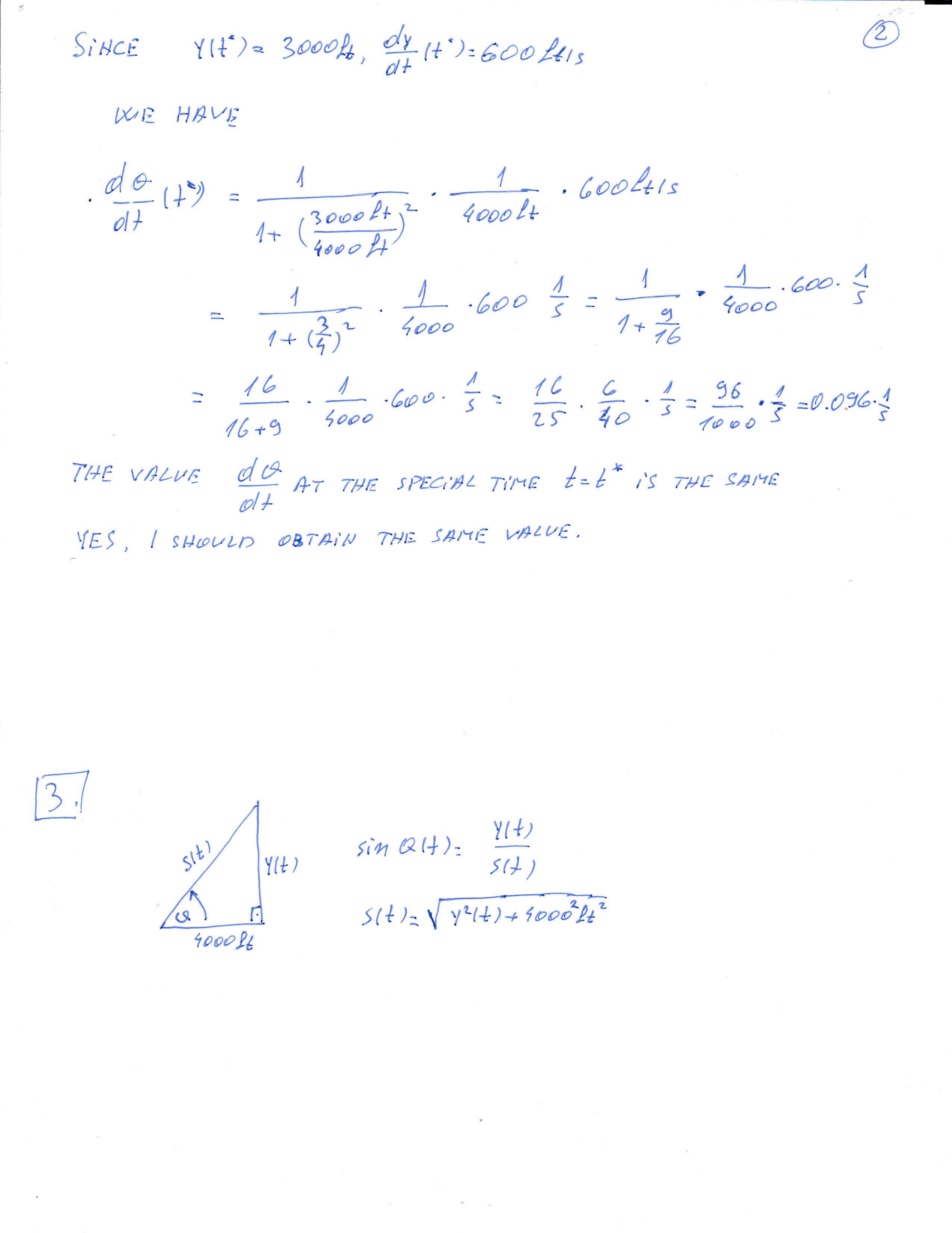
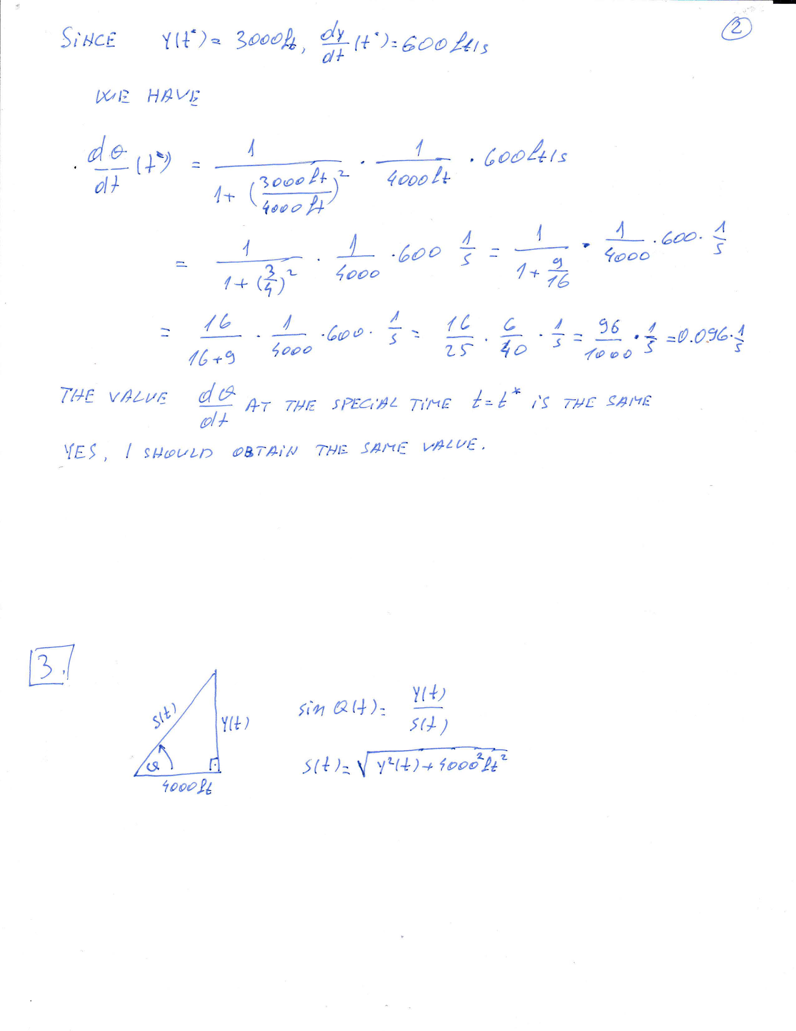
Related Rates Activity: Filming Rocket A television camera is posi...
Related Rates Activity: Filming Rocket A television camera is posi...