Subjects
Online Tutoring
Homework Help
Homework Library
Tutors
Online Classes
More
Bookstore
Blog
Technical Tips
FAQ
Contact Us
Get Help Now
Home
Homework Library
Mathematics
Calculus
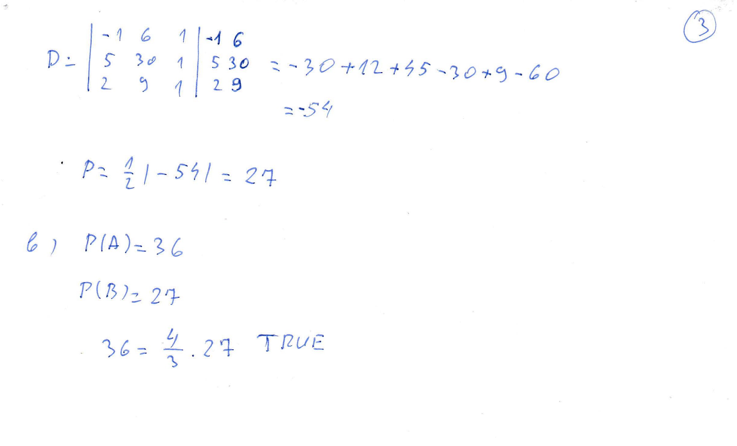
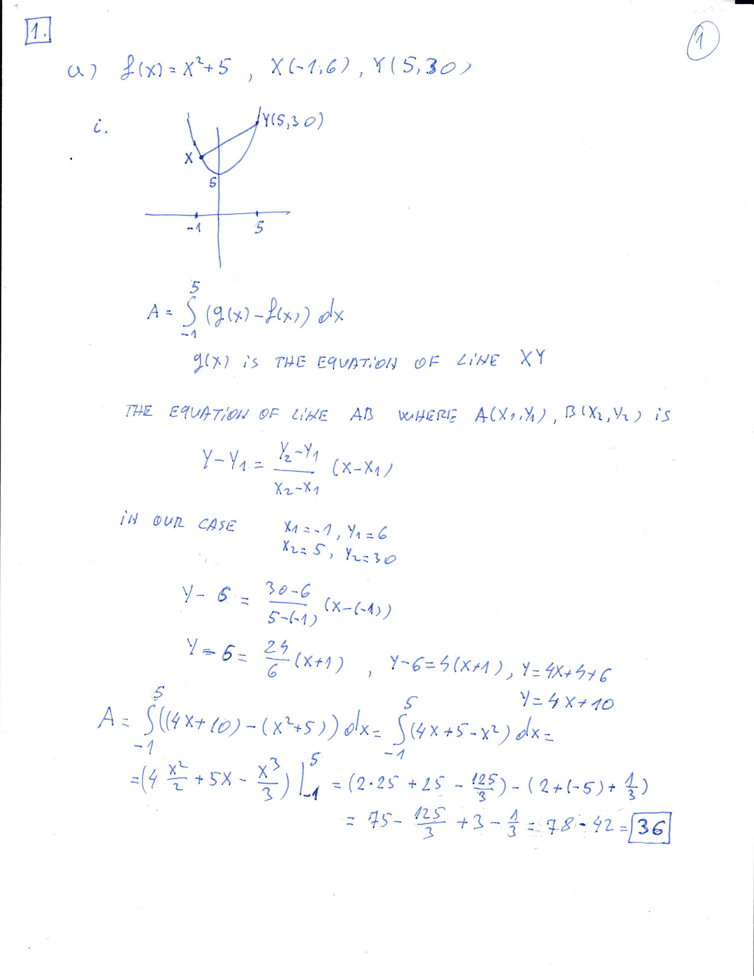
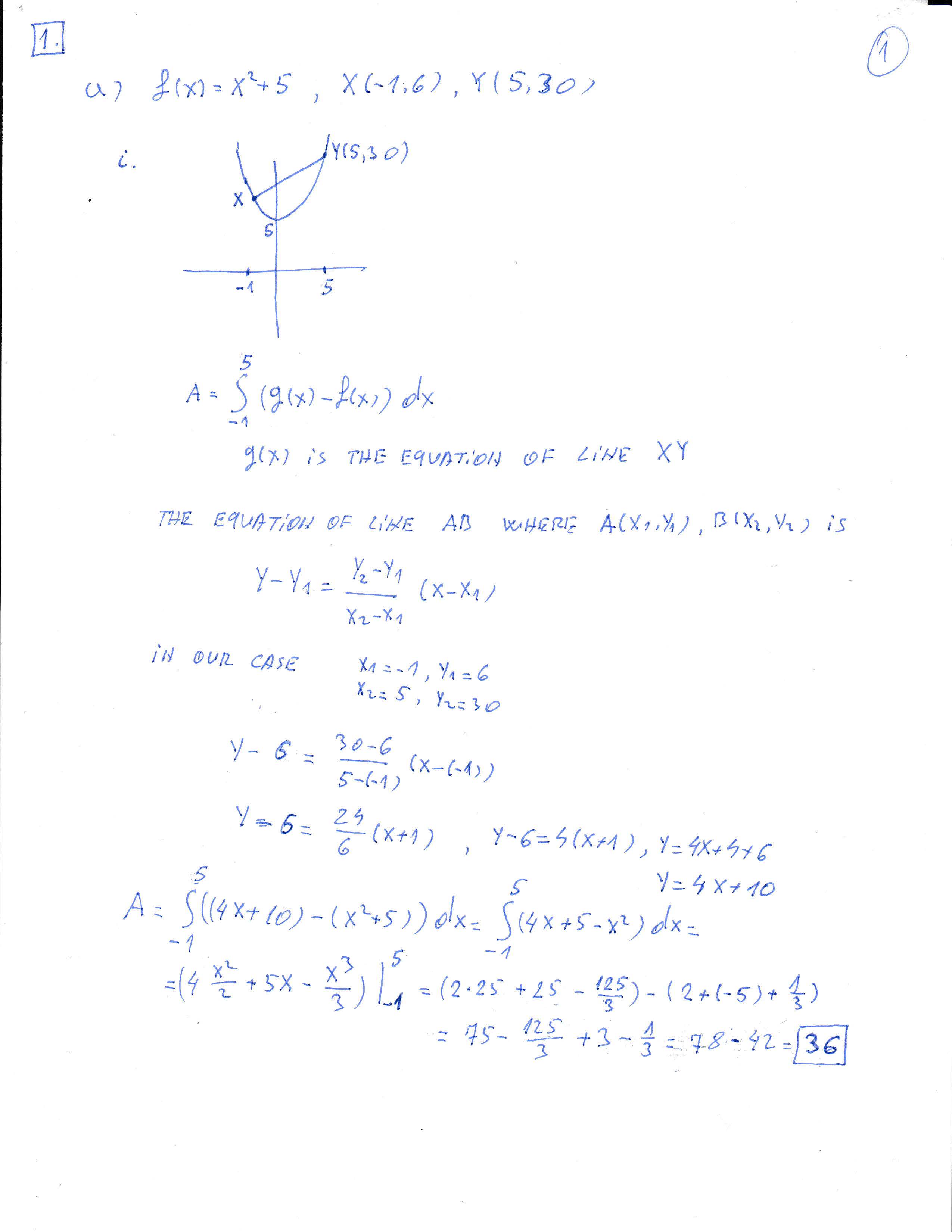
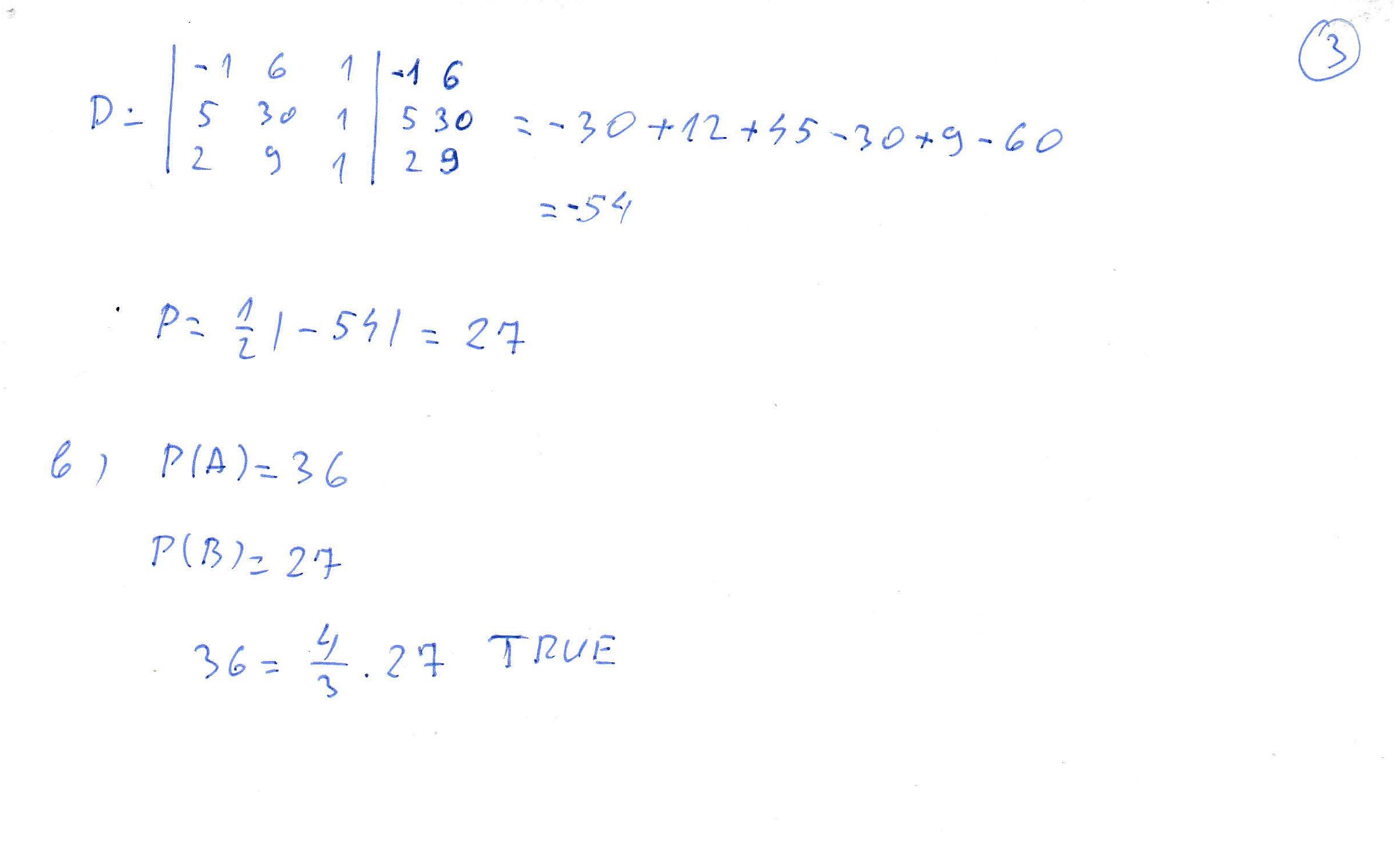
1. If a line intersects a parabola at two points X and Y, there is ...
1. If a line intersects a parabola at two points X and Y, there is...