Subjects
Online Tutoring
Homework Help
Homework Library
Tutors
Online Classes
More
Bookstore
Blog
Technical Tips
FAQ
Contact Us
Get Help Now
Home
Homework Library
Mathematics
Calculus
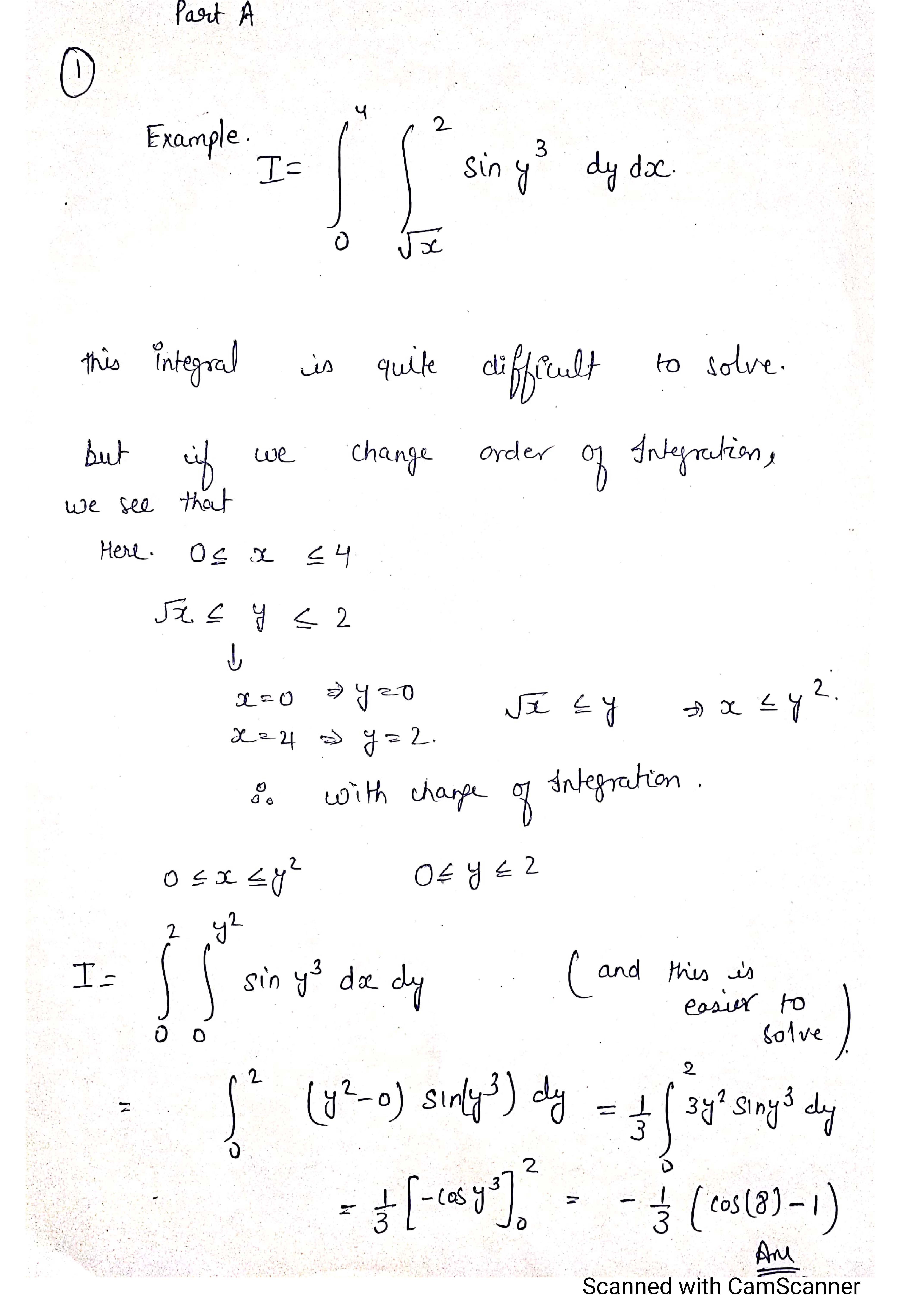
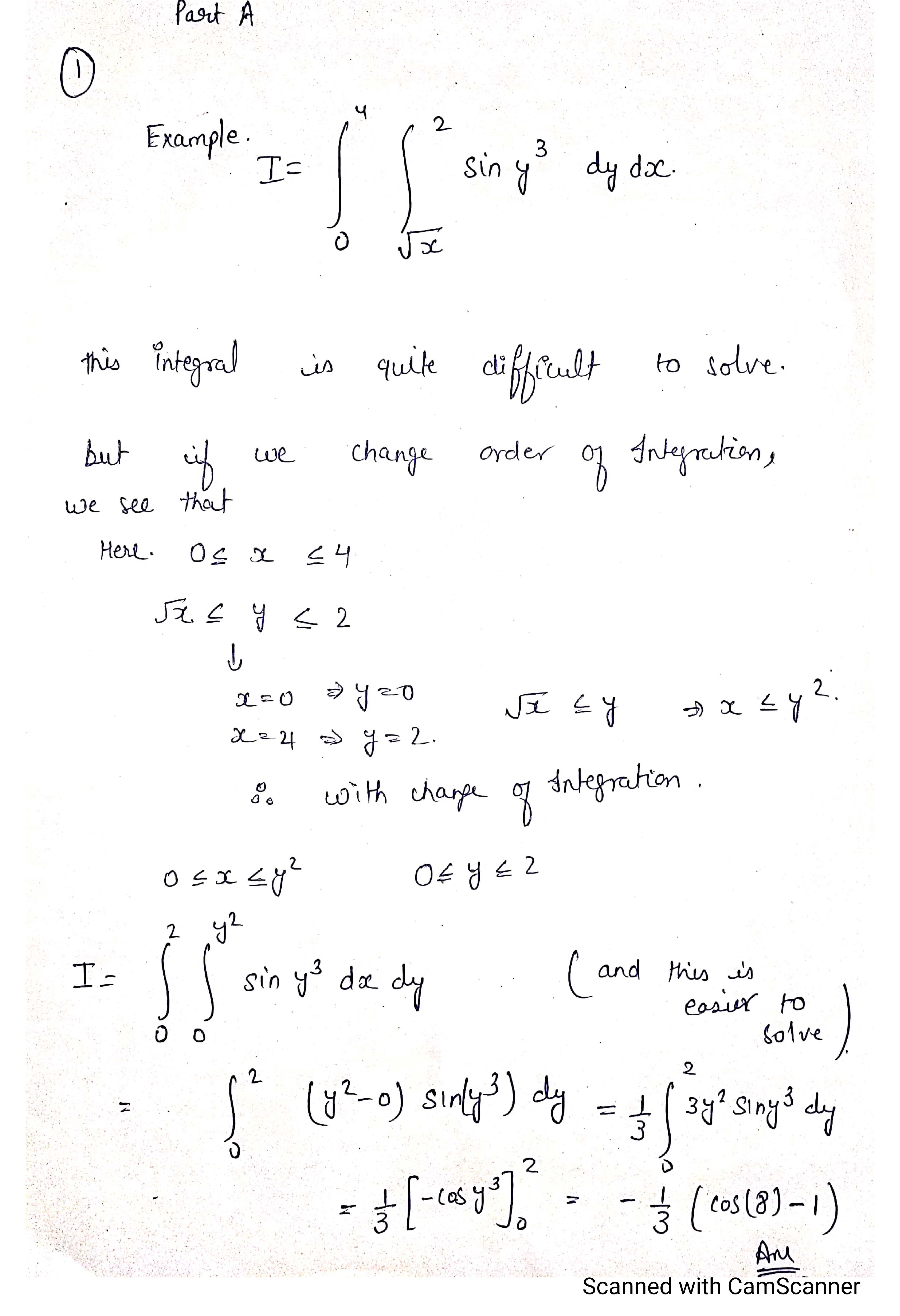
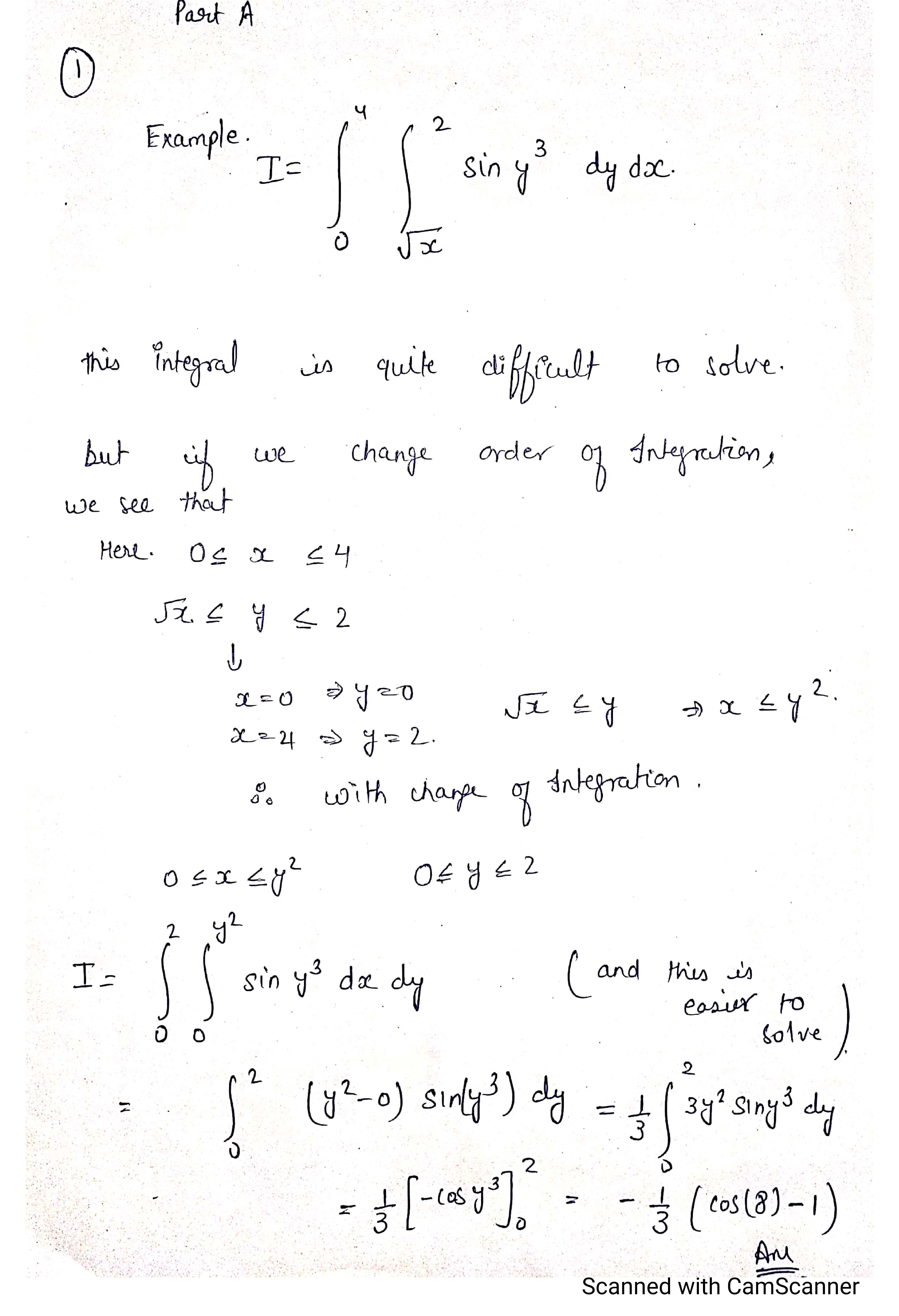
4 Part A: Understand Multiple Integrals l. Give a specific exampl...
4 Part A: Understand Multiple Integrals l. Give a specific exampl...