Subjects
Online Tutoring
Homework Help
Homework Library
Tutors
Online Classes
More
Bookstore
Blog
Technical Tips
FAQ
Contact Us
Get Help Now
Home
Homework Library
Mathematics
Calculus
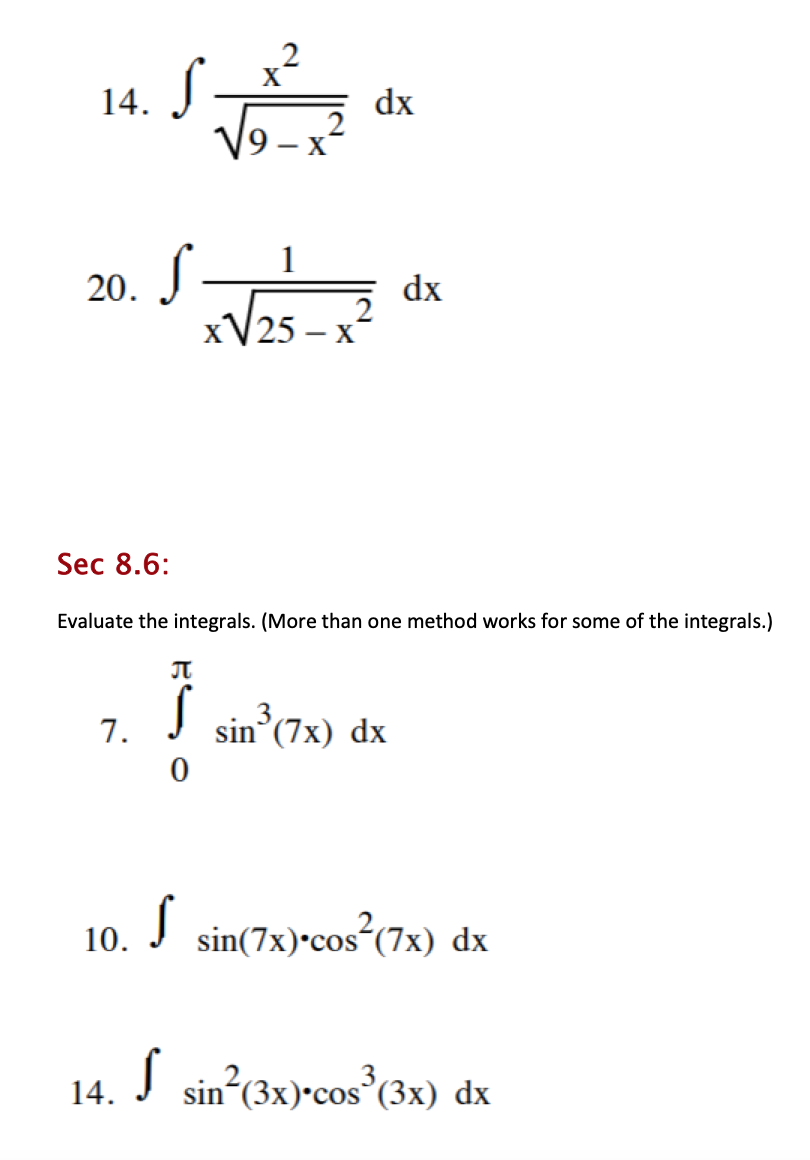
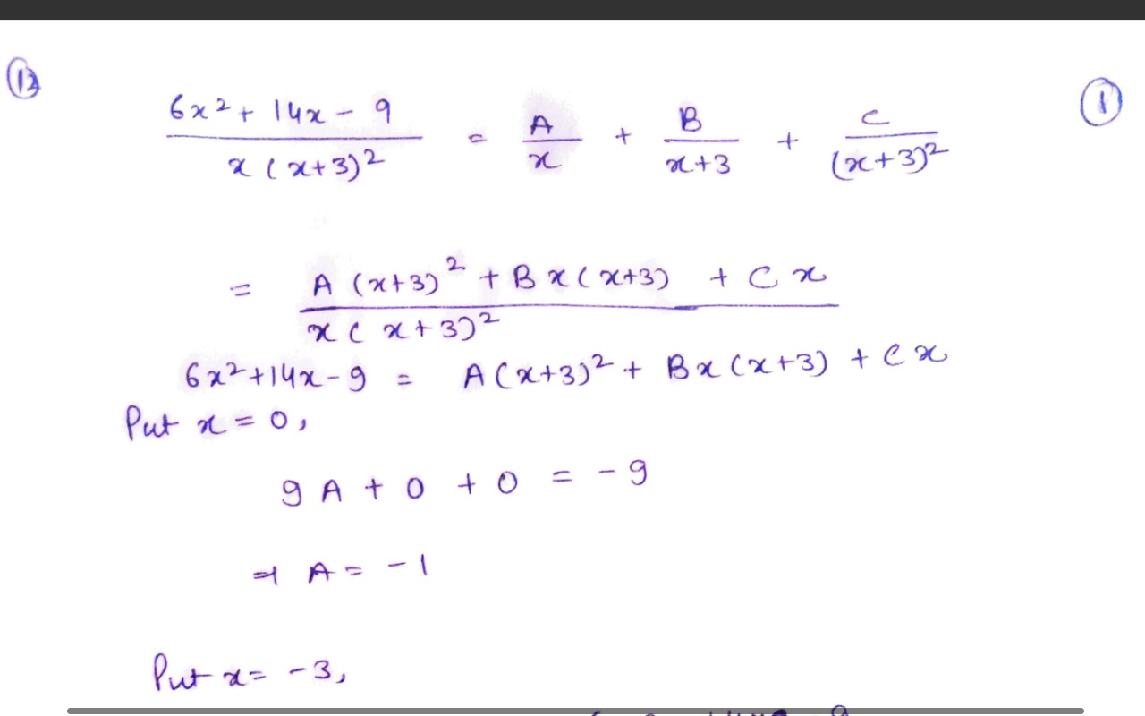
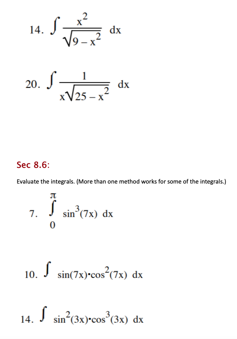
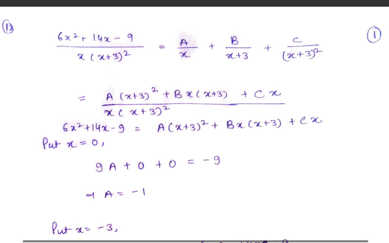
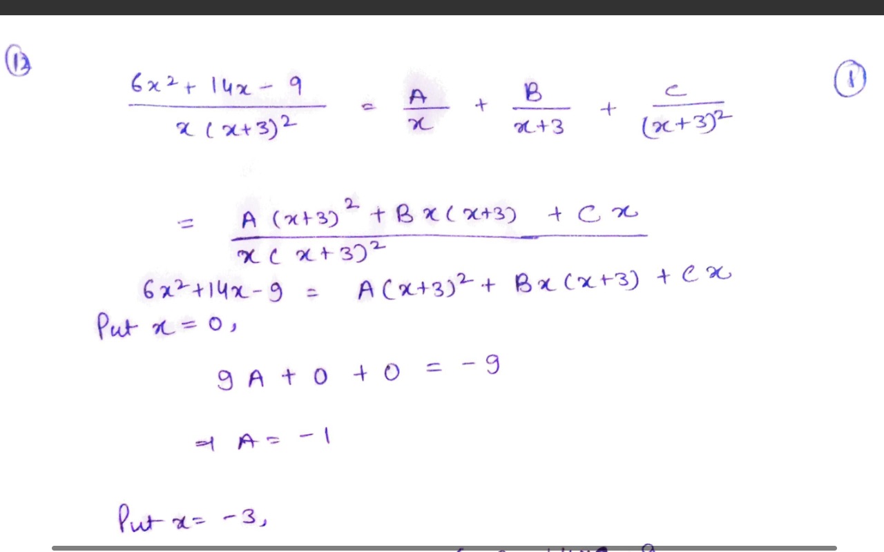
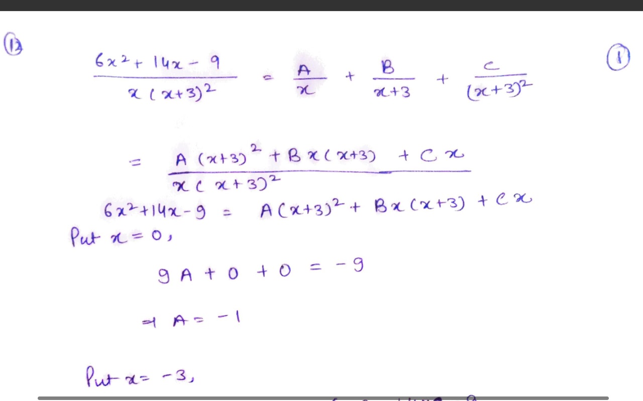
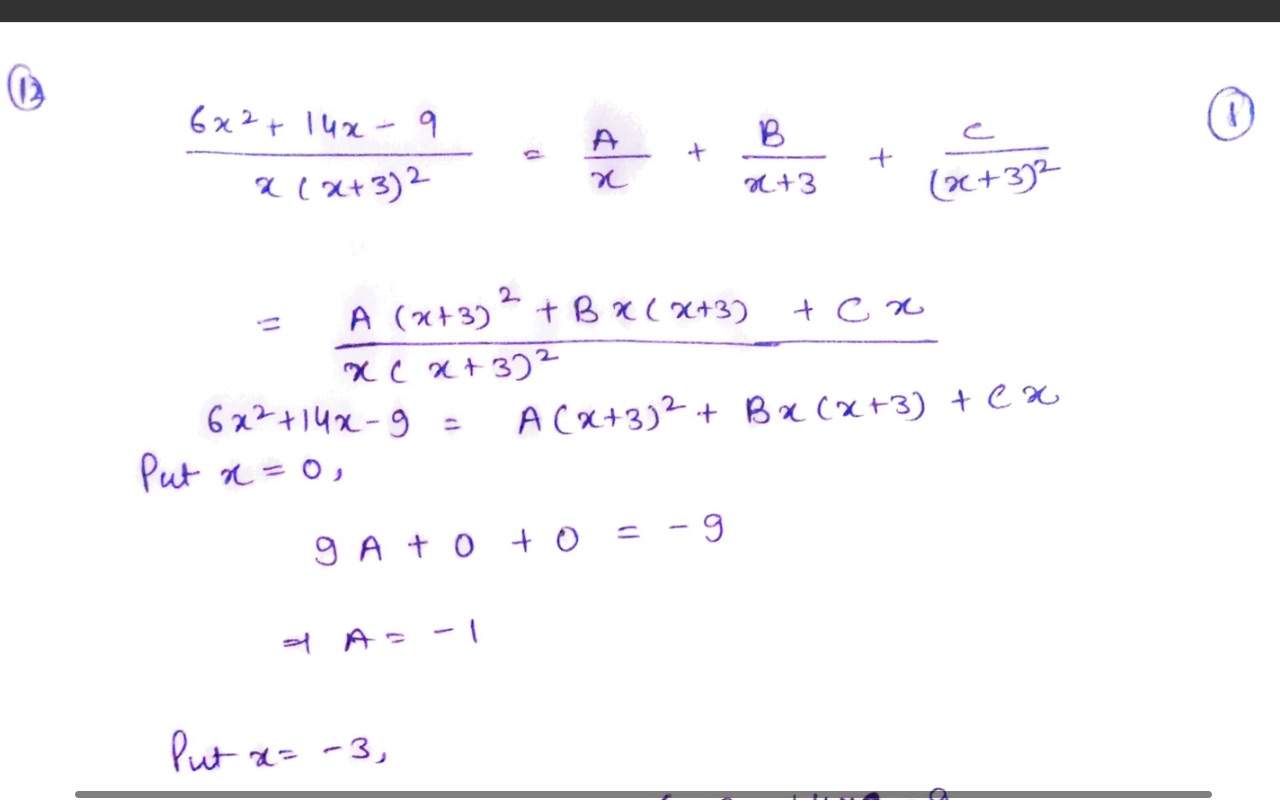
Sec 8.4: In problems 1-12, decompose the fractions 6x2 + 14x - 9 ...
Sec 8.4: In problems 1-12, decompose the fractions 6x2 + 14x - 9...