Subjects
Online Tutoring
Homework Help
Homework Library
Tutors
Online Classes
More
Bookstore
Blog
Technical Tips
FAQ
Contact Us
Get Help Now
Home
Homework Library
Mathematics
Calculus
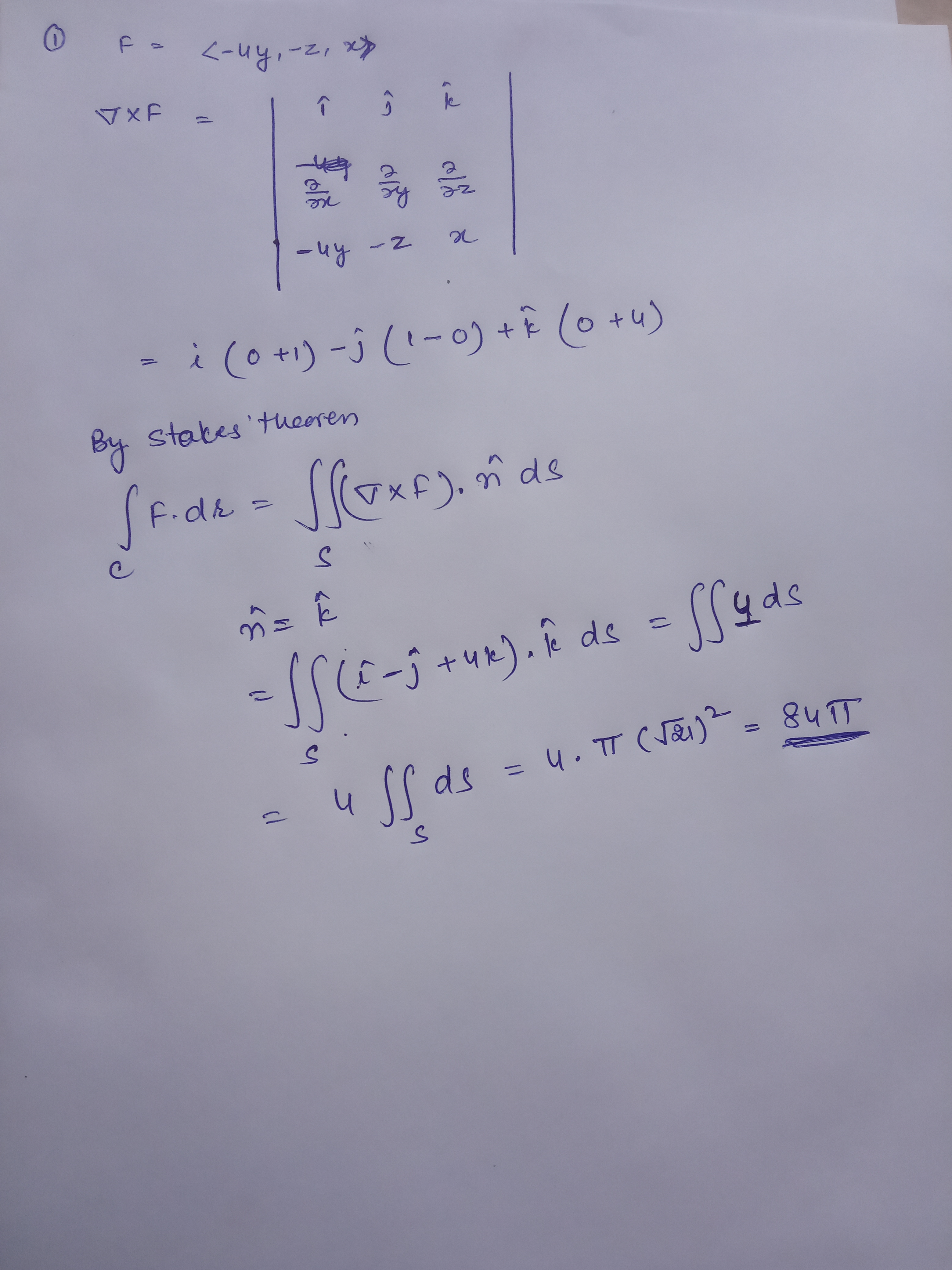
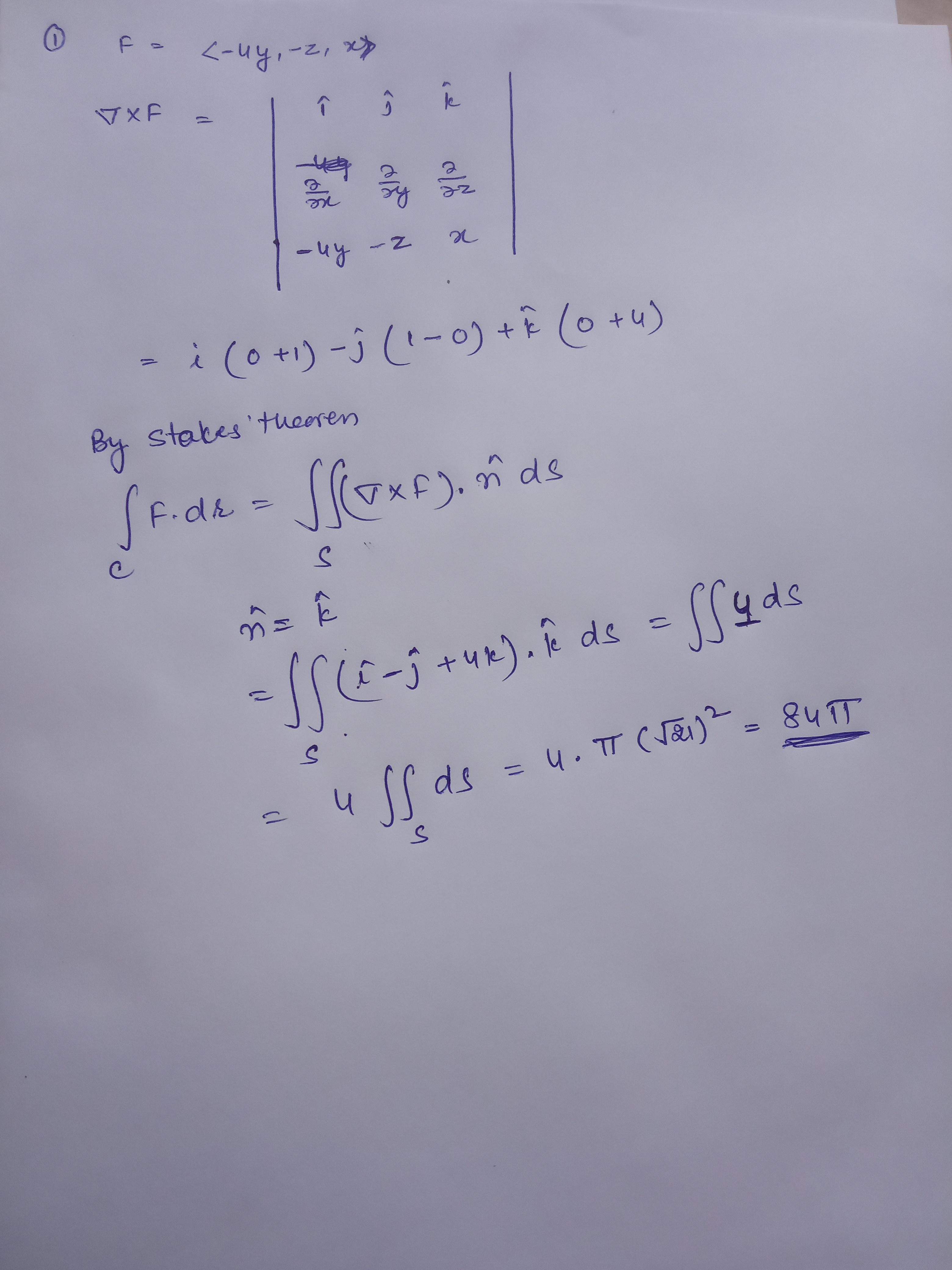
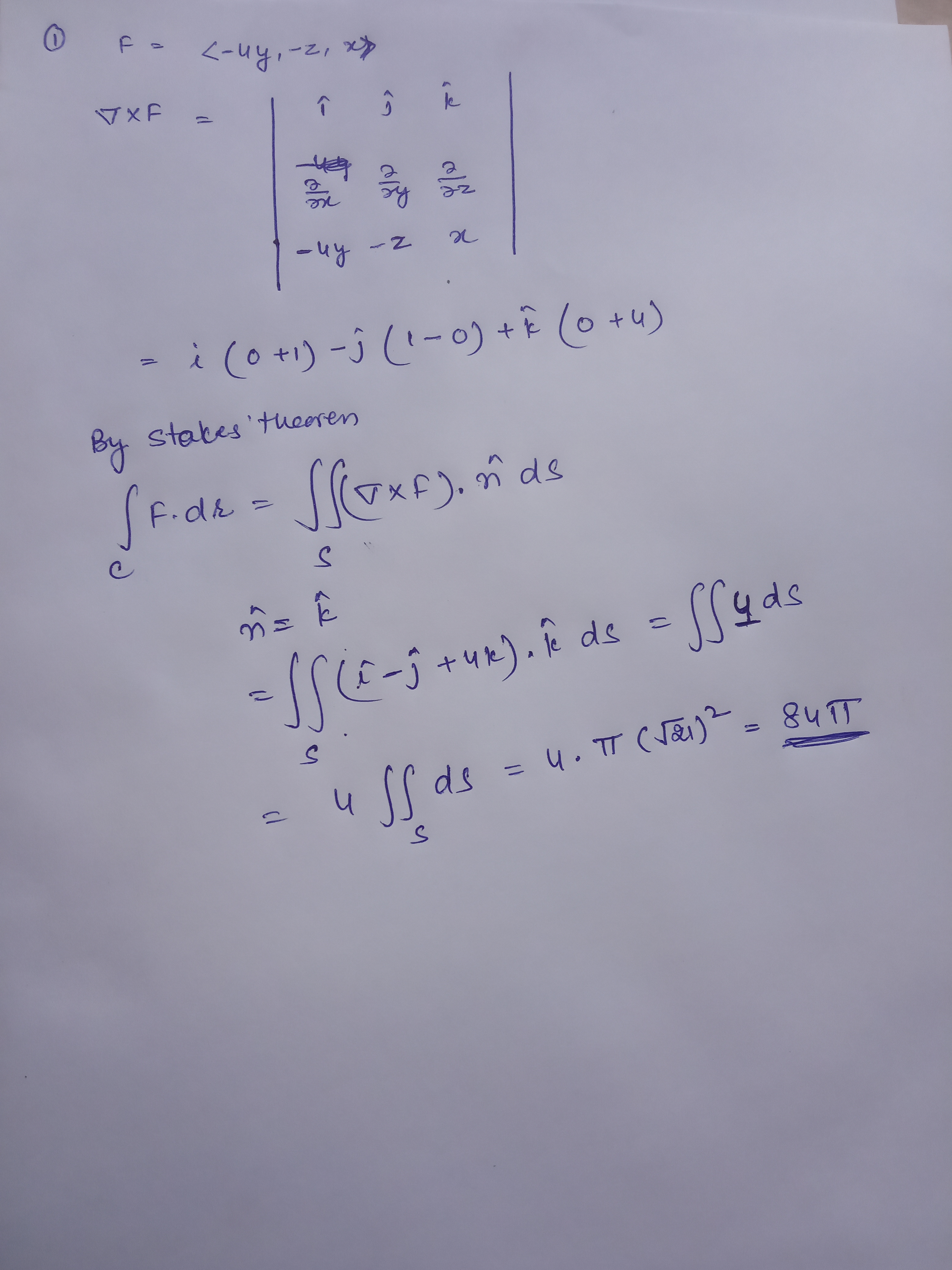
Evaluate the line integral O F.dr by evaluating the surface integ...
Evaluate the line integral O F.dr by evaluating the surface integ...