Subjects
Online Tutoring
Homework Help
Homework Library
Tutors
Online Classes
More
Bookstore
Blog
Technical Tips
FAQ
Contact Us
Get Help Now
Home
Homework Library
Mathematics
Calculus
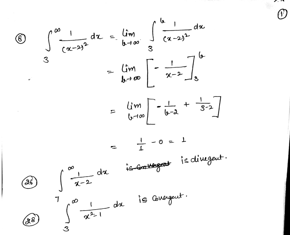
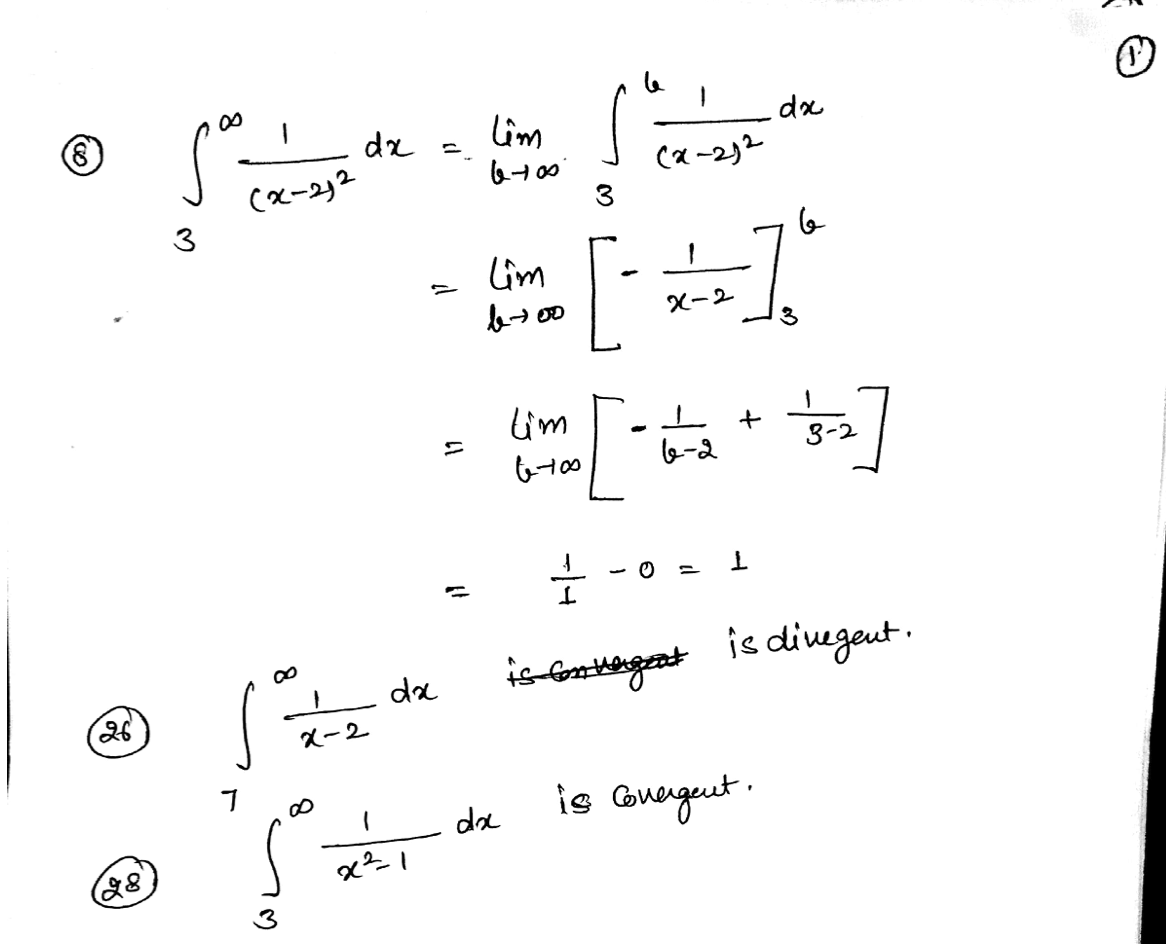
8.1 In 1-21, use the definition of an improper integral to evaluat...
8.1 In 1-21, use the definition of an improper integral to evaluat...