Subjects
Online Tutoring
Homework Help
Homework Library
Tutors
More
Bookstore
Blog
Technical Tips
FAQ
Contact Us
Get Help Now
Home
Homework Library
Mathematics
Calculus
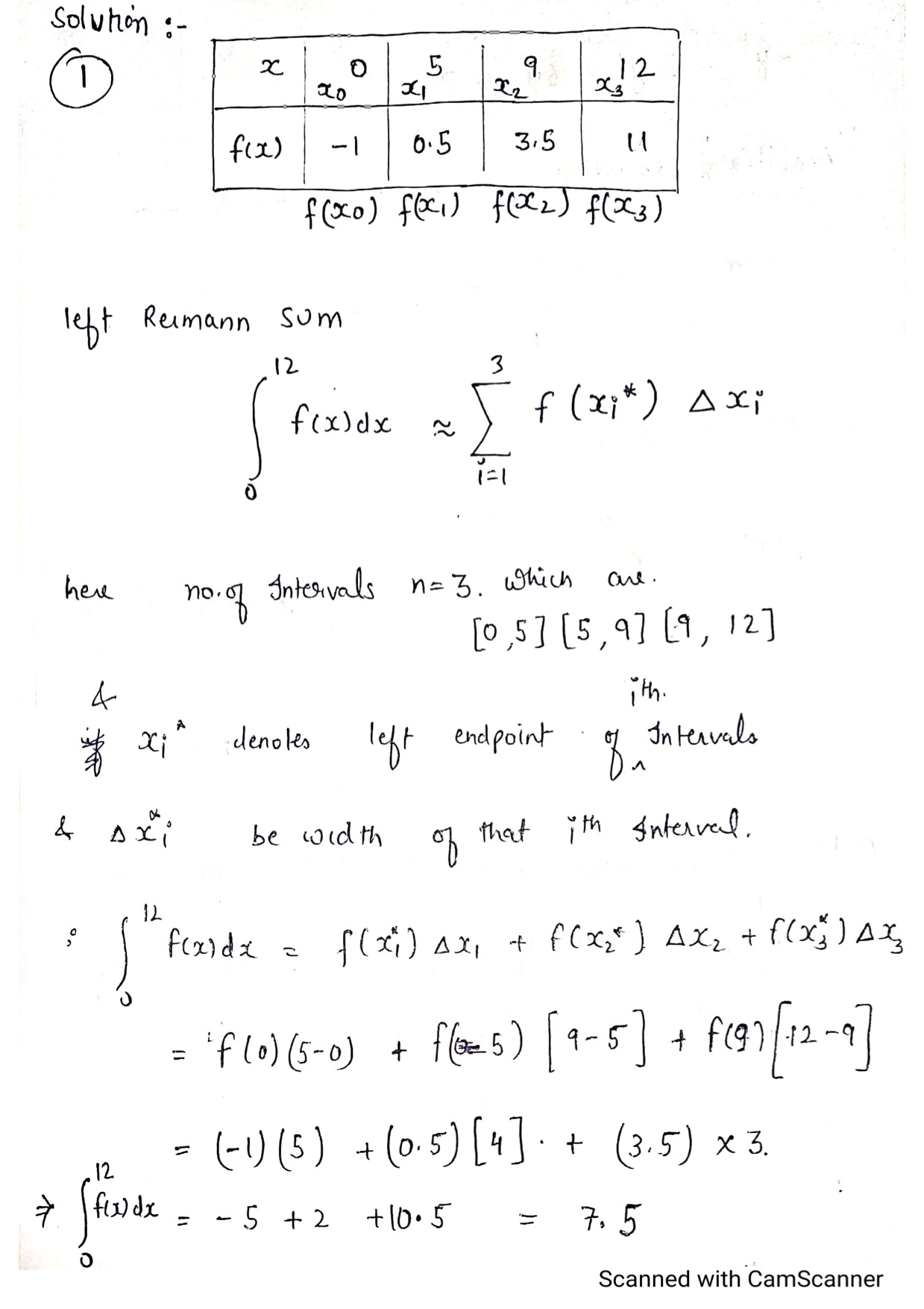
Calculus Integration Assignment The function (x)s continuous and ...
Calculus Integration Assignment The function (x)s continuous and...