Subjects
Online Tutoring
Homework Help
Homework Library
Tutors
Online Classes
More
Bookstore
Blog
Technical Tips
FAQ
Contact Us
Get Help Now
Home
Homework Library
Mathematics
Calculus
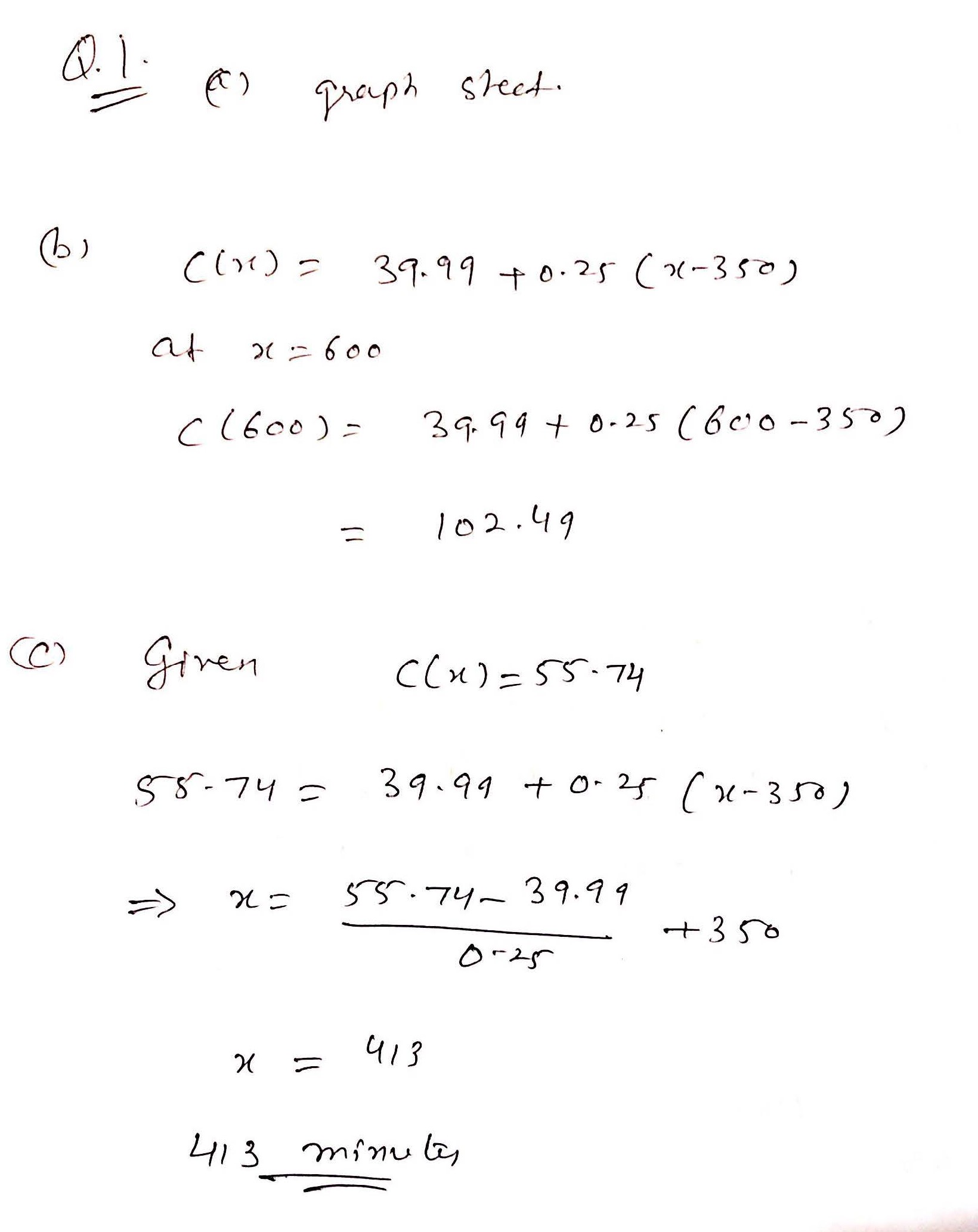
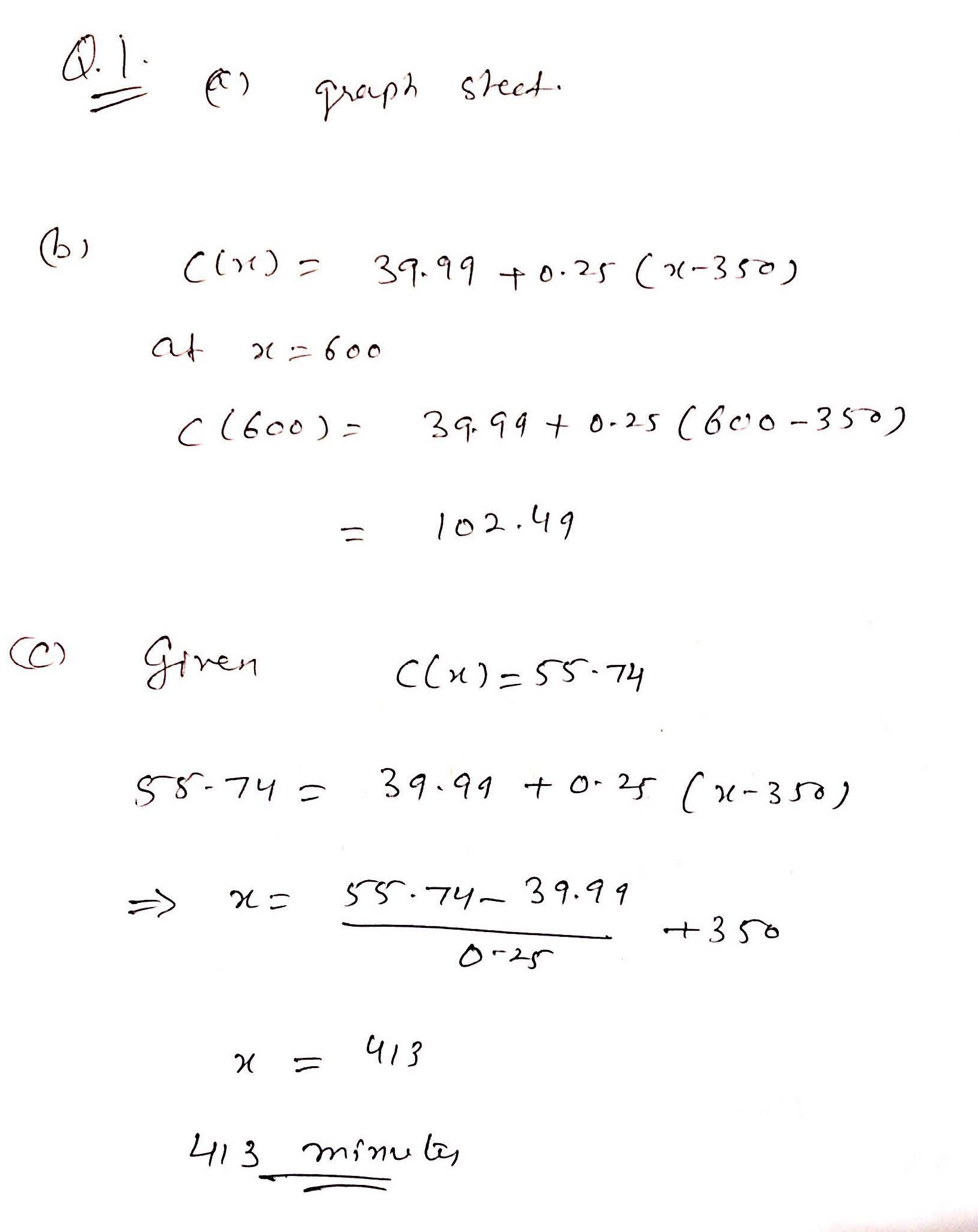
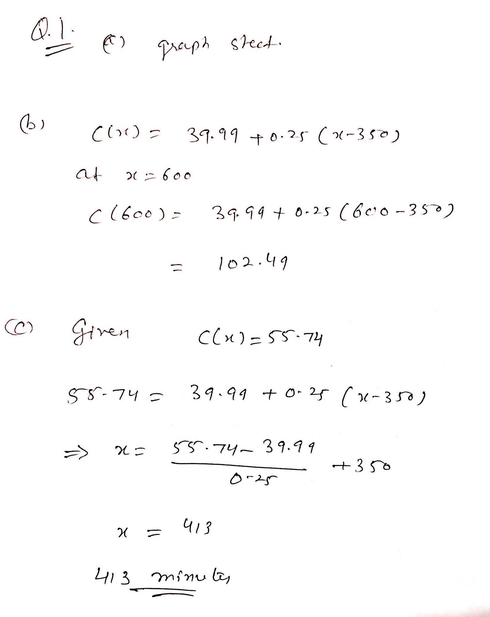
1. Sprint PSC offers a monthly cellular phone plan for $39.99, whi...
1. Sprint PSC offers a monthly cellular phone plan for $39.99, whi...