Subjects
Online Tutoring
Homework Help
Homework Library
Tutors
More
Bookstore
Blog
Technical Tips
FAQ
Contact Us
Get Help Now
Home
Homework Library
Mathematics
Calculus
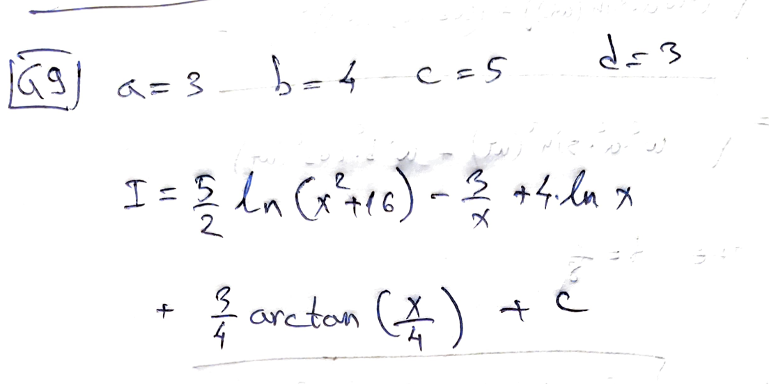
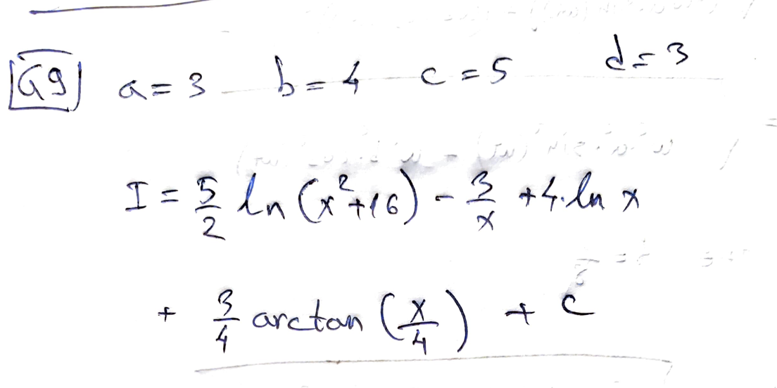
Section 8.3 Question 9 < > pass 9.³ dx + 6x² + 64x ...
Section 8.3 Question 9 < > pass 9.³ dx + 6x² + 64x + 48...