Subjects
Online Tutoring
Homework Help
Homework Library
Tutors
Online Classes
More
Bookstore
Blog
Technical Tips
FAQ
Contact Us
Get Help Now
Home
Homework Library
Mathematics
Calculus
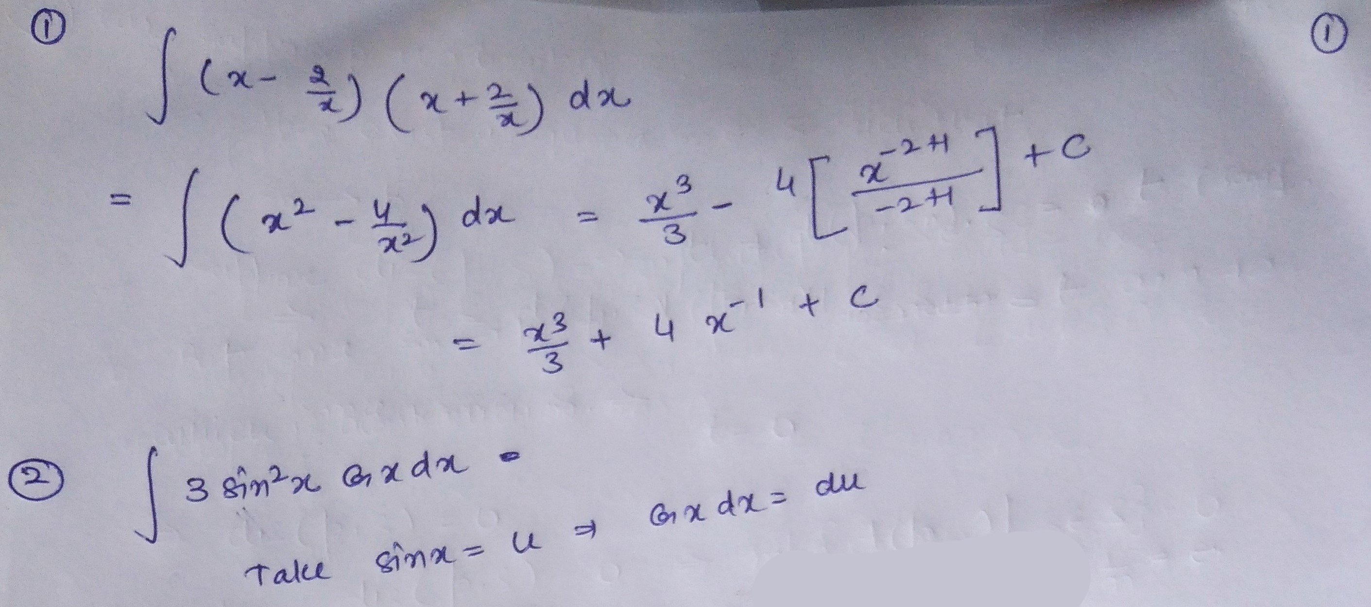
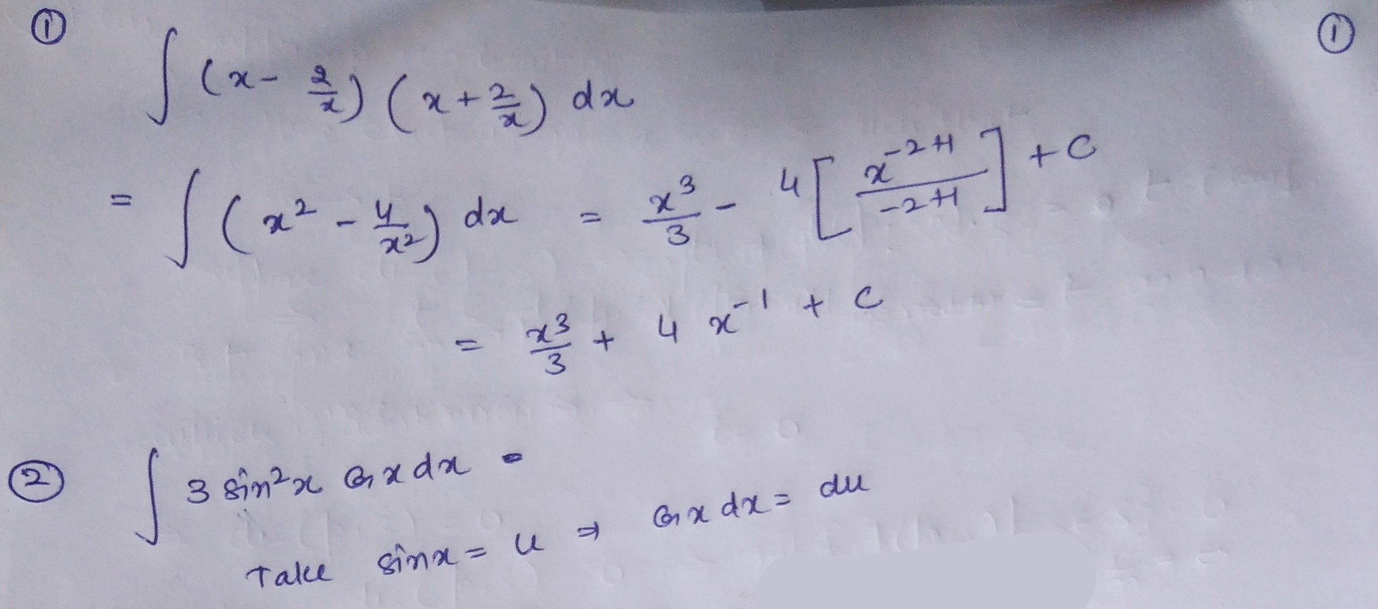
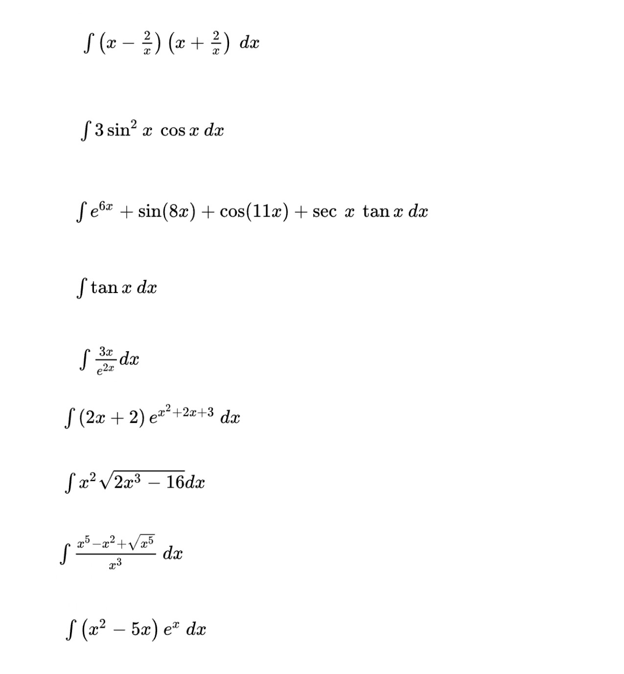
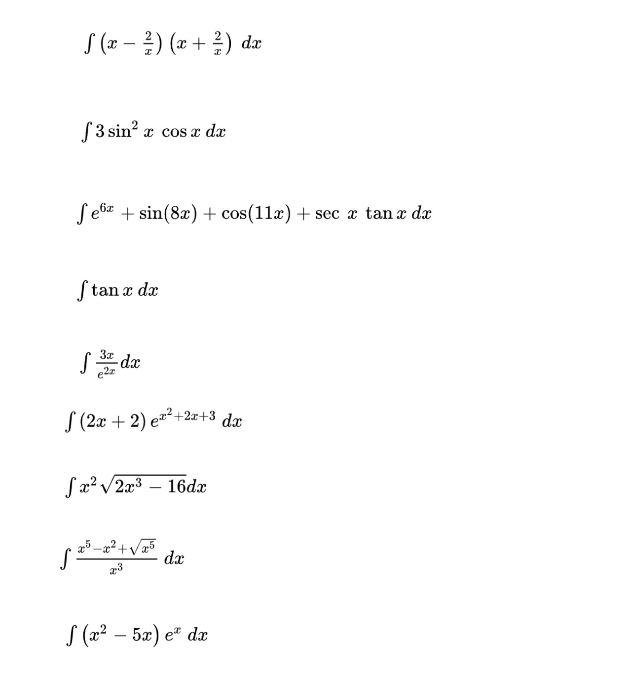
S (2-2)(2+2)dx - S 3 sin2 x cos x dx se 6x + sin (8x) + cos(11x) ...
S (2-2)(2+2)dx - S 3 sin2 x cos x dx se 6x + sin (8x) + cos(11x)...