Subjects
Online Tutoring
Homework Help
Homework Library
Tutors
More
Bookstore
Blog
Technical Tips
FAQ
Contact Us
Get Help Now
Home
Homework Library
Mathematics
Calculus
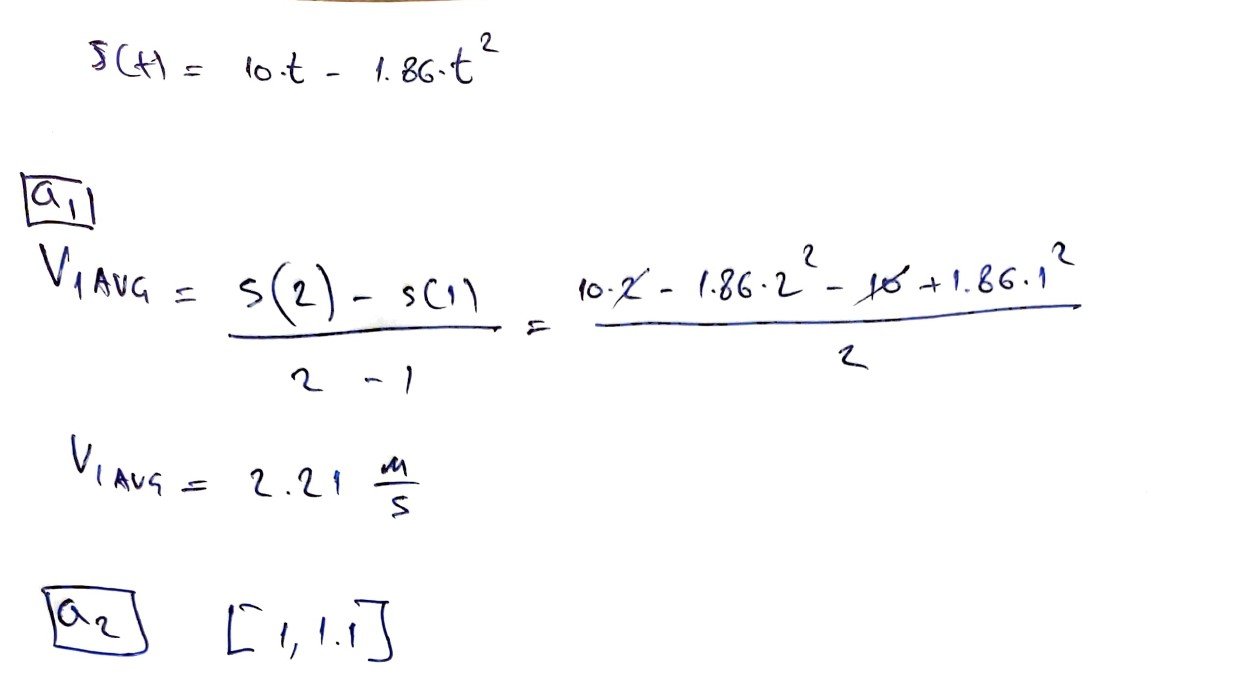
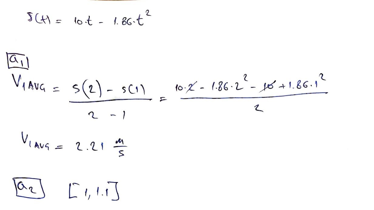
Description The displacement (in meters) of a particle moving alo...
Description The displacement (in meters) of a particle moving alo...